2024-08-15 2024, Volume 19 Issue 4

  • Select all
  • RESEARCH ARTICLE
    Si-Ping Zhang , Jia-Qi Dong , Hui-Yu Zhang , Yi-Xuan Lü , Jue Wang , Zi-Gang Huang

    Whether the complex game system composed of a large number of artificial intelligence (AI) agents empowered with reinforcement learning can produce extremely favorable collective behaviors just through the way of agent self-exploration is a matter of practical importance. In this paper, we address this question by combining the typical theoretical model of resource allocation system, the minority game model, with reinforcement learning. Each individual participating in the game is set to have a certain degree of intelligence based on reinforcement learning algorithm. In particular, we demonstrate that as AI agents gradually becomes familiar with the unknown environment and tries to provide optimal actions to maximize payoff, the whole system continues to approach the optimal state under certain parameter combinations, herding is effectively suppressed by an oscillating collective behavior which is a self-organizing pattern without any external interference. An interesting phenomenon is that a first-order phase transition is revealed based on some numerical results in our multi-agents system with reinforcement learning. In order to further understand the dynamic behavior of agent learning, we define and analyze the conversion path of belief mode, and find that the self-organizing condensation of belief modes appeared for the given trial and error rates in the AI system. Finally, we provide a detection method for period-two oscillation collective pattern emergence based on the Kullback−Leibler divergence and give the parameter position where the period-two appears.

  • RESEARCH ARTICLE
    V. A. Tomilin , L. V. Il’ichov

    We present a novel feedback control method for quantum systems. Feedback does not affect the controlled system itself. Instead, it controls the unravelling of the quantum channel of interaction between the system and its environment. This interaction can be represented as a history of events. If their informational content is changed, their back-action on the system is also modified. Feedback action is trigged by the events, thus granting the system the degree of control over its own state. The efficiency of the proposed scheme is demonstrated on the example of two-mode atomic Bose-Einstein condensate, with one of its modes subject to phase-contrast imaging in a Mach−Zehnder interferometer. The histories of photocounts in the output channels of the interferometer are used for feedback. Its capabilities of state engineering are studied for different settings of the feedback loop and different numbers of events in the recorded histories.

  • RESEARCH ARTICLE
    Xu-Dan Xie , Zheng-Yuan Xue , Dan-Bo Zhang

    Solving non-Hermitian quantum many-body systems on a quantum computer by minimizing the variational energy is challenging as the energy can be complex. Here, we propose a variational quantum algorithm for solving the non-Hermitian Hamiltonian by minimizing a type of energy variance, where zero variance can naturally determine the eigenvalues and the associated left and right eigenstates. Moreover, the energy is set as a parameter in the cost function and can be tuned to scan the whole spectrum efficiently by using a two-step optimization scheme. Through numerical simulations, we demonstrate the algorithm for preparing the left and right eigenstates, verifying the biorthogonal relations, as well as evaluating the observables. We also investigate the impact of quantum noise on our algorithm and show that its performance can be largely improved using error mitigation techniques. Therefore, our work suggests an avenue for solving non-Hermitian quantum many-body systems with variational quantum algorithms on near-term noisy quantum computers.

  • ERRATUM
    Bin Cheng , Xiu-Hao Deng , Xiu Gu , Yu He , Guangchong Hu , Peihao Huang , Jun Li , Ben-Chuan Lin , Dawei Lu , Yao Lu , Chudan Qiu , Hui Wang , Tao Xin , Shi Yu , Man-Hong Yung , Junkai Zeng , Song Zhang , Youpeng Zhong , Xinhua Peng , Franco Nori , Dapeng Yu
  • RESEARCH ARTICLE
    Xiuye Liu , Jianhua Zeng

    Periodic structures structured as photonic crystals and optical lattices are fascinating for nonlinear waves engineering in the optics and ultracold atoms communities. Moiré photonic and optical lattices — two-dimensional twisted patterns lie somewhere in between perfect periodic structures and aperiodic ones — are a new emerging investigative tool for studying nonlinear localized waves of diverse types. Herein, a theory of two-dimensional spatial localization in nonlinear periodic systems with fractional-order diffraction (linear nonlocality) and moiré optical lattices is investigated. Specifically, the flat-band feature is well preserved in shallow moiré optical lattices which, interact with the defocusing nonlinearity of the media, can support fundamental gap solitons, bound states composed of several fundamental solitons, and topological states (gap vortices) with vortex charge s = 1 and 2, all populated inside the finite gaps of the linear Bloch-wave spectrum. Employing the linear-stability analysis and direct perturbed simulations, the stability and instability properties of all the localized gap modes are surveyed, highlighting a wide stability region within the first gap and a limited one (to the central part) for the third gap. The findings enable insightful studies of highly localized gap modes in linear nonlocality (fractional) physical systems with shallow moiré patterns that exhibit extremely flat bands.

  • RESEARCH ARTICLE
    Zhanlei Hao , Haojie Chen , Yuhang Yin , Cheng-Wei Qiu , Shan Zhu , Huanyang Chen

    Vortex wave and plane wave, as two most fundamental forms of wave propagation, are widely applied in various research fields. However, there is currently a lack of basic mechanism to enable arbitrary conversion between them. In this paper, we propose a new paradigm of extremely anisotropic acoustic metasurface (AM) to achieve the efficient conversion from 2D vortex waves with arbitrary orbital angular momentum (OAM) to plane waves. The underlying physics of this conversion process is ensured by the symmetry shift of AM medium parameters and the directional compensation of phase. Moreover, this novel phenomenon is further verified by analytical calculations, numerical demonstrations, and acoustic experiments, and the deflection angle and direction of the converted plane waves are qualitatively and quantitatively confirmed by a simple formula. Our work provides new possibilities for arbitrary manipulation of acoustic vortex, and holds potential applications in acoustic communication and OAM-based devices.

  • RESEARCH ARTICLE
    Kaifan Zhang , Weiran Song , Zongyu Hou , Zhe Wang

    Laser-induced breakdown spectroscopy (LIBS) is regarded as the future superstar for analytical chemistry and widely applied in various fields. Improving the quality of LIBS signal is fundamental to achieving accurate quantification and large-scale commercialization of LIBS. To propose control methods that improve LIBS signal quality, it is essential to have a comprehensive understanding of the influence of key parameters, such as ambient gas pressure, temperature, and sample temperature on LIBS signals. To date, extensive research has been carried out. However, different researchers often yield significantly different experimental results for LIBS, preventing the formation of consistent conclusions. This greatly prevents the understanding of influencing laws of key parameters and the improvement of LIBS quantitative performance. Taking ambient gas pressure as an example, this paper compares the effects of ambient gas pressure under different optimization conditions, reveals the influence of spatiotemporal window caused by inherent characteristics of LIBS signal sources, i.e., intense temporal changes and spatial non-uniformity of laser-induced plasmas, on the impact patterns of key parameters. From the perspective of plasma spatiotemporal evolution, the paper elucidates the influence patterns of ambient gas pressure on LIBS signals, clarifying seemingly contradictory research results in the literature.

  • ERRATUM
    Kaifan Zhang , Weiran Song , Zongyu Hou , Zhe Wang
  • RESEARCH ARTICLE
    Chengyuan Wang , Yun Chen , Jinwen Wang , Xin Yang , Hong Gao , Fuli Li

    We experimentally demonstrate the generation of customized Laguerre−Gaussian (LG) beams whose intensity maxima are localized around any desired curves. The principle is to act with appropriate algebraic functions on the angular spectra of LG beams. We characterize the propagation properties of these beams and compare them with non-diffraction caustic beams possessing the same intensity profiles. The results manifest that the customized-LG beams can maintain their profiles during propagation and suffer less energy loss than the non-diffraction caustic beams, and hence are able to propagate a longer distance. Moreover, the customized-LG beam exhibits self-healing ability when parts of their bodies are blocked. This new structure beam has potential applications in areas such as optical communication, soliton routing and steering, and optical tweezing.

  • TOPICAL REVIEW
    Aiguo Xu , Dejia Zhang , Yanbiao Gan

    The study of macro continuous flow has a long history. Simultaneously, the exploration of heat and mass transfer in small systems with a particle number of several hundred or less has gained significant interest in the fields of statistical physics and nonlinear science. However, due to absence of suitable methods, the understanding of mesoscale behavior situated between the aforementioned two scenarios, which challenges the physical function of traditional continuous fluid theory and exceeds the simulation capability of microscopic molecular dynamics method, remains considerably deficient. This greatly restricts the evaluation of effects of mesoscale behavior and impedes the development of corresponding regulation techniques. To access the mesoscale behaviors, there are two ways: from large to small and from small to large. Given the necessity to interface with the prevailing macroscopic continuous modeling currently used in the mechanical engineering community, our study of mesoscale behavior begins from the side closer to the macroscopic continuum, that is from large to small. Focusing on some fundamental challenges encountered in modeling and analysis of near-continuous flows, we review the research progress of discrete Boltzmann method (DBM). The ideas and schemes of DBM in coarse-grained modeling and complex physical field analysis are introduced. The relationships, particularly the differences, between DBM and traditional fluid modeling as well as other kinetic methods are discussed. After verification and validation of the method, some applied researches including the development of various physical functions associated with discrete and non-equilibrium effects are illustrated. Future directions of DBM related studies are indicated.

  • TOPICAL REVIEW
    Siwei Li , Ke Wei , Qirui Liu , Yuxiang Tang , Tian Jiang

    Heterostructures composed of two-dimensional van der Waals (vdW) materials allow highly controllable stacking, where interlayer twist angles introduce a continuous degree of freedom to alter the electronic band structures and excitonic physics. Motivated by the discovery of Mott insulating states and superconductivity in magic-angle bilayer graphene, the emerging research fields of “twistronics” and moiré physics have aroused great academic interests in the engineering of optoelectronic properties and the exploration of new quantum phenomena, in which moiré superlattice provides a pathway for the realization of artificial excitonic crystals. Here we systematically summarize the current achievements in twistronics and moiré excitonic physics, with emphasis on the roles of lattice rotational mismatches and atomic registries. Firstly, we review the effects of the interlayer twist on electronic and photonic physics, particularly on exciton properties such as dipole moment and spin-valley polarization, through interlayer interactions and electronic band structures. We also discuss the exciton dynamics in vdW heterostructures with different twist angles, like formation, transport and relaxation processes, whose mechanisms are complicated and still need further investigations. Subsequently, we review the theoretical analysis and experimental observations of moiré superlattice and moiré modulated excitons. Various exotic moiré effects are also shown, including periodic potential, moiré miniband, and varying wave function symmetry, which result in exciton localization, emergent exciton peaks and spatially alternating optical selection rule. We further introduce the expanded properties of moiré systems with external modulation factors such as electric field, doping and strain, showing that moiré lattice is a promising platform with high tunability for optoelectronic applications and in-depth study on frontier physics. Lastly, we focus on the rapidly developing field of correlated electron physics based on the moiré system, which is potentially related to the emerging quantum phenomena.

  • RESEARCH ARTICLE
    Bocheng Lei , Aolin Li , Wenzhe Zhou , Yunpeng Wang , Wei Xiong , Yu Chen , Fangping Ouyang

    Two-dimensional materials with high-temperature ferromagnetism and half-metallicity have the latest applications in spintronic devices. Based on first-principles calculations, we have investigated a novel two-dimensional CrS2 phase with an orthorhombic lattice. Our results suggest that it is stable in dynamics, thermodynamics, and mechanics. The ground state of monolayer orthorhombic CrS2 is both ferromagnetic and half-metallic, with a high Curie temperature of 895 K and a large spin-flipping gap on values of 0.804 eV. This room-temperature ferromagnetism and half-metallicity can maintain stability against a strong biaxial strain ranging from −5% to 5%. Meanwhile, increasing strain can significantly maintain the out-of-plane magnetic anisotropy. A density of states analysis, together with the orbital-resolved magnetic anisotropy energy, has revealed that the strain-enhanced MAE is highly related to the 3d-orbital splitting of Cr atoms. Our results suggest the monolayer orthorhombic CrS2 is an ideal candidate for future spintronics.

  • RESEARCH ARTICLE
    Bin Liu , Xiaolin Zhang , Jingxian Xiong , Xiuyang Pang , Sheng Liu , Zixin Yang , Qiang Yu , Honggen Li , Sicong Zhu , Jian Wu

    Currently, magnetic storage devices are encountering the problem of achieving lightweight and high integration in mobile computing devices during the information age. As a result, there is a growing urgency for two-dimensional half-metallic materials with a high Curie temperature (TC). This study presents a theoretical investigation of the fundamental electromagnetic properties of the monolayer hexagonal lattice of Mn2X3 (X = S, Se, Te). Additionally, the potential application of Mn2X3 as magneto-resistive components is explored. All three of them fall into the category of ferromagnetic half-metals. In particular, the Monte Carlo simulations indicate that the TC of Mn2S3 reachs 381 K, noticeably greater than room temperature. These findings present notable advantages for the application of Mn2S3 in spintronic devices. Hence, a prominent spin filtering effect is apparent when employing non-equilibrium Green’s function simulations to examine the transport parameters. The resulting current magnitude is approximately 2 × 104 nA, while the peak gigantic magnetoresistance exhibits a substantial value of 8.36 × 1016 %. It is noteworthy that the device demonstrates a substantial spin Seebeck effect when the temperature differential between the electrodes is modified. In brief, Mn2X3 exhibits outstanding features as a high TC half-metal, exhibiting exceptional capabilities in electrical and thermal drives spin transport. Therefore, it holds great potential for usage in spintronics applications.

  • RESEARCH ARTICLE
    Chaowei He , Jiantian Zhang , Li Gong , Peng Yu

    Two-dimensional (2D) ferroelectric materials, which possess electrically switchable spontaneous polarization and can be easily integrated with semiconductor technologies, is of utmost importance in the advancement of high-integration low-power nanoelectronics. Despite the experimental discovery of certain 2D ferroelectric materials such as CuInP2S6 and In2Se3, achieving stable ferroelectricity at room temperature in these materials continues to present a significant challenge. Herein, stable ferroelectric order at room temperature in the 2D limit is demonstrated in van der Waals SnP2S6 atom layers, which can be fabricated via mechanical exfoliation of bulk SnP2S6 crystals. Switchable polarization is observed in thin SnP2S6 of ~7 nm. Importantly, a van der Waals ferroelectric field-effect transistor (Fe-FET) with ferroelectric SnP2S6 as top-gate insulator and p-type WTe0.6Se1.4 as the channel was designed and fabricated successfully, which exhibits a clear clockwise hysteresis loop in transfer characteristics, demonstrating ferroelectric properties of SnP2S6 atomic layers. In addition, a multilayer graphene/SnP2S6/multilayer graphene van der Waals vertical heterostructure phototransistor was also fabricated successfully, exhibiting improved optoelectronic performances with a responsivity (R) of 2.9 A/W and a detectivity (D) of 1.4 × 1012 Jones. Our results show that SnP2S6 is a promising 2D ferroelectric material for ferroelectric-integrated low-power 2D devices.

  • RESEARCH ARTICLE
    Junrong Zhang , Cheng Chen , Yanming Wang , Yang Lu , Honghong Li , Xingang Hou , Yaning Liang , Long Fang , Du Xiang , Kai Zhang , Junyong Wang

    The low-dimensional light source shows promise in photonic integrated circuits. Stable layered van der Waals material that exhibits luminescence in the near-infrared optical communication waveband is an essential component in on-chip light sources. Herein, the tunable near-infrared photoluminescence (PL) of the air-stable layered titanium trisulfide (TiS3) is reported. Compared with iodine particles as a transport agent, TiS3 grown by chemical vapor transport using sulfur powder as a transport agent has fewer sulfur vacancies, which increases the luminescence intensity by an order of magnitude. The PL emission wavelength can be regulated in the near-infrared regime by thickness control. In addition, we observed an interesting anisotropic strain response of PL in layered TiS3 nanoribbon: a blue shift of PL was achieved when the uniaxial tensile strain was applied along the b-axis, while a negligible shift was observed when the strain was applied along the a-axis. Our work reveals the tunable near-infrared luminescent properties of TiS3 nanoribbons, suggesting their potential applications as near-infrared light sources in photonic integrated circuits.

  • RESEARCH ARTICLE
    Ran Ma , Qiuhong Tan , Peizhi Yang , Yingkai Liu , Qianjin Wang

    Two-dimensional (2D) transition metal dichalcogenides have been extensively studied due to their fascinating physical properties for constructing high-performance photodetectors. However, their relatively low responsivities, current on/off ratios and response speeds have hindered their widespread application. Herein, we fabricated a high-performance photodetector based on few-layer MoTe2 and CdS0.42Se0.58 flake heterojunctions. The photodetector exhibited a high responsivity of 7221 A/W, a large current on/off ratio of 1.73×104, a fast response speed of 90/120 μs, external quantum efficiency (EQE) reaching up to 1.52×106 % and detectivity (D*) reaching up to 1.67×1015 Jones. The excellent performance of the heterojunction photodetector was analyzed by a photocurrent mapping test and first-principle calculations. Notably, the visible light imaging function was successfully attained on the MoTe2/CdS0.42Se0.58 photodetectors, indicating that the device had practical imaging application prospects. Our findings provide a reference for the design of ultrahigh-performance MoTe2-based photodetectors.

  • RESEARCH ARTICLE
    P. M. Marychev , A. A. Shanenko , A. V. Vagov

    Nonmagnetic impurity scattering is known to shift up the Ginzburg−Landau parameter κ of a superconductor. In this case, when the system is initially in type I, it can change its magnetic response, crossing the intertype domain with κ1 between the two standard superconductivity types and arriving at type II. In the present work we demonstrate that the impact of disorder can be much more profound in the presence of the multiband structure of the charge carrier states. In particular, when the band diffusivities differ from each other, the intertype domain tends to expand significantly, including points with κ1 that belong to deep type-II in conventional single-band superconductors. Our finding sheds light on the nontrivial disorder effect and significantly complements earlier results on the enlargement of the intertype domain in clean multiband superconductors.

  • RESEARCH ARTICLE
    Zhexi He , Yifan Zhao , Yujing Du , Meng Zhao , Yuxuan Jiang , Ming Liu , Ziyao Zhou

    Flexible electronics/spintronics attracts researchers’ attention for their application potential abroad in wearable devices, healthcare, and other areas. Those devices’ performance (speed, energy consumption) is highly dependent on manipulating information bits (spin-orientation in flexible spintronics). In this work, we established an organic photovoltaic (OPV)/ZnO/Pt/Co/Pt heterostructure on flexible PET substrates with perpendicular magnetic anisotropy (PMA). Under sunlight illumination, the photoelectrons generated from the OPV layer transfer into the PMA heterostructure, then they reduce the PMA strength by enhancing the interfacial Rashba field accordingly. The coercive field (Hc) reduces from 800 Oe to 500 Oe at its maximum, and the magnetization can be switched up and down reversibly. The stability of sunlight control of magnetization reversal under various bending conditions is also tested for flexible spintronic applications. Lastly, the voltage output of sunlight-driven PMA is achieved in our prototype device, exhibiting an excellent angular dependence and opening a door towards solar-driven flexible spintronics with much lower energy consumption.

  • RESEARCH ARTICLE
    Jie Chen , Chun Chen , Xiaoqun Wang

    Many-body localization (MBL) of a disordered interacting boson system in one dimension is studied numerically at the filling faction one-half. The von Neumann entanglement entropy SvN is commonly used to detect the MBL phase transition but remains challenging to be directly measured. Based on the U(1) symmetry from the particle number conservation, SvN can be decomposed into the particle number entropy SN and the configuration entropy SC. In light of the tendency that the eigenstate’s SC nears zero in the localized phase, we introduce a quantity describing the deviation of SN from the ideal thermalization distribution; finite-size scaling analysis illustrates that it shares the same phase transition point with SvN but displays the better critical exponents. This observation hints that the phase transition to MBL might largely be determined by SN and its fluctuations. Notably, the recent experiments [A. Lukin, et al., Science 364, 256 (2019); J. Léonard, et al., Nat. Phys. 19, 481 (2023)] demonstrated that this deviation can potentially be measured through the SN measurement. Furthermore, our investigations reveal that the thermalized states primarily occupy the low-energy section of the spectrum, as indicated by measures of localization length, gap ratio, and energy density distribution. This low-energy spectrum of the Bose model closely resembles the entire spectrum of the Fermi (or spin XX Z) model, accommodating a transition from the thermalized to the localized states. While, owing to the bosonic statistics, the high-energy spectrum of the model allows the formation of distinct clusters of bosons in the random potential background. We analyze the resulting eigenstate properties and briefly summarize the associated dynamics. To distinguish between the phase regions at the low and high energies, a probing quantity based on the structure of SvN is also devised. Our work highlights the importance of symmetry combined with entanglement in the study of MBL. In this regard, for the disordered Heisenberg XXZ chain, the recent pure eigenvalue analyses in [J. Šuntajs, et al., Phys. Rev. E 102, 062144 (2020)] would appear inadequate, while methods used in [A. Morningstar, et al., Phys. Rev. B 105, 174205 (2022)] that spoil the U(1) symmetry could be misleading.

  • RESEARCH ARTICLE
    Lin Ju , Junxian Liu , Minghui Wang , Shenbo Yang , Shuli Liu

    Developing advanced hydrogen storage materials with high capacity and efficient reversibility is a crucial aspect for utilizing hydrogen source as a promising alternate to fossil fuels. In this paper, we have systematically investigated the hydrogen storage properties of neutral and negatively charged C9N4 monolayer based on density functional theory (DFT). Our foundings indicate that injecting additional electrons into the adsorbent significantly boosts the adsorption capacity of C9N4 monolayer to H2 molecules. The gravimetric density of negatively charged C9N4 monolayer can reach up to 10.80 wt% when fully covered with hydrogen. Unlike other hydrogen storage methods, the storage and release processes happen automatically upon introducing or removing extra electrons. Moreover, these operations can be easily adjusted through activating or deactivating the charging voltage. As a result, the method is easily reversible and has tunable kinetics without requiring particular activators. Significantly, C9N4 is proved to be a suitable candidate for efficient electron injection/release due to its well electrical conductivity. Our work can serve as a valuable guide in the quest for a novel category of materials for hydrogen storage with high capacity.

  • RESEARCH ARTICLE
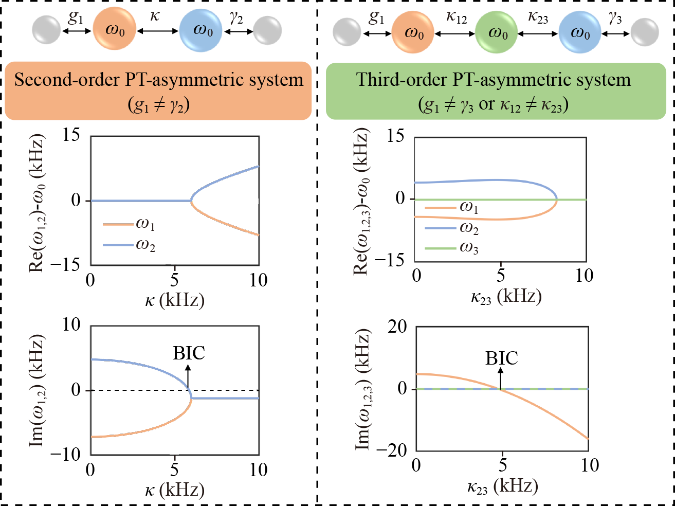
    Haiyan Zhang , Zhiwei Guo , Yunhui Li , Yaping Yang , Yuguang Chen , Hong Chen

    Non-Hermitian systems with parity−time (PT)-symmetry have been extensively studied and rapidly developed in resonance wireless power transfer (WPT). The WPT system that satisfies PT-symmetry always has real eigenvalues, which promote efficient energy transfer. However, meeting the condition of PT-symmetry is one of the most puzzling issues. Stable power transfer under different transmission conditions is also a great challenge. Bound state in the continuum (BIC) supporting extreme quality-factor mode provides an opportunity for efficient WPT. Here, we propose theoretically and demonstrate experimentally that BIC widely exists in resonance-coupled systems without PT-symmetry, and it can even realize more stable and efficient power transfer than PT-symmetric systems. Importantly, BIC for efficient WPT is universal and suitable in standard second-order and even high-order WPT systems. Our results not only extend non-Hermitian physics beyond PT-symmetry, but also bridge the gap between BIC and practical application engineering, such as high-performance WPT, wireless sensing and communications.

  • RESEARCH ARTICLE
    Jianju Tang , Songlei Wang , Hongyi Yu

    We theoretically studied the exciton geometric structure in layered semiconducting transition metal dichalcogenides. Based on a three-orbital tight-binding model for Bloch electrons which incorporates their geometric structures, an effective exciton Hamiltonian is constructed and solved perturbatively to reveal the relation between the exciton and its electron/hole constituent. We show that the electron−hole Coulomb interaction gives rise to a non-trivial inheritance of the exciton geometric structure from Bloch electrons, which manifests as a valley-dependent center-of-mass anomalous Hall velocity of the exciton when two external fields are applied on the electron and hole constituents, respectively. The obtained center-of-mass anomalous velocity is found to exhibit a non-trivial dependence on the fields, as well as the wave function and valley index of the exciton. These findings can serve as a general guide for the field-control of the valley-dependent exciton transport, enabling the design of novel quantum optoelectronic and valleytronic devices.

  • RESEARCH ARTICLE
    Bing-Bing Li , Xin-Hua Ma , Shu-Wang Cui , Hao-Kun Chen , Tian-Lu Chen , Danzengluobu , Wei Gao , Hai-Bing Hu , Denis Kuleshov , Kirill Kurinov , Hu Liu , Mao-Yuan Liu , Ye Liu , Da-Yu Peng , Yao-Hui Qi , Oleg Shchegolev , Yuri Stenkin , Li-Qiao Yin , Heng-Yu Zhang , Liang-Wei Zhang

    By accurately measuring composition and energy spectrum of cosmic ray, the origin problem of so called “knee” region (energy > one PeV) can be solved. However, up to the present, the results of the spectrum in the knee region obtained by several previous experiments have shown obvious differences, so they cannot give effective evidence for judging the theoretical models on the origin of the knee. Recently, the Large High Altitude Air Shower Observatory (LHAASO) has reported several major breakthroughs and important results in astro-particle physics field. Relying on its advantages of wide-sky survey, high altitude location and large area detector arrays, the research content of LHAASO experiment mainly includes ultra high-energy gamma-ray astronomy, measurement of cosmic ray spectra in the knee region, searching for dark matter and new phenomena of particle physics at higher energy. The electron and thermal neutron detector (EN-Detector) is a new scintillator detector which applies thermal neutron detection technology to measure cosmic ray extensive air shower (EAS). This technology is an extension of LHAASO. The EN-Detector Array (ENDA) can highly efficiently measure thermal neutrons generated by secondary hadrons so called “skeleton” of EAS. In this paper, we perform the optimization of ENDA configuration, and obtain expectations on the ENDA results, including thermal neutron distribution, trigger efficiency and capability of cosmic ray composition separation. The obtained real data results are consistent with those by the Monte Carlo simulation.

  • RESEARCH ARTICLE
    B. Li , D. Vretenar , T. Nikšić , J. Zhao , P. W. Zhao , J. Meng

    The generalized time-dependent generator coordinate method (TD-GCM) is extended to include pairing correlations. The correlated GCM nuclear wave function is expressed in terms of time-dependent generator states and weight functions. The particle−hole channel of the effective interaction is determined by a Hamiltonian derived from an energy density functional, while pairing is treated dynamically in the standard BCS approximation with time-dependent pairing tensor and single-particle occupation probabilities. With the inclusion of pairing correlations, various time-dependent phenomena in open-shell nuclei can be described more realistically. The model is applied to the description of saddle-to-scission dynamics of induced fission. The generalized TD-GCM charge yields and total kinetic energy distribution for the fission of 240Pu, are compared to those obtained using the standard time-dependent density functional theory (TD-DFT) approach, and with available data.

Publishing model
2

{"submissionFirstDecision":"30","jcrJfStr":"5.3 (2024)","editorEmail":"wangyy@hep.com.cn"}

Downloads

{"submissionFirstDecision":"30","jcrJfStr":"5.3 (2024)","editorEmail":"wangyy@hep.com.cn"}
1

ISSN 2095-0462 (Print)
ISSN 2095-0470 (Online)
CN 11-5994/O4