2022-08-15 2022, Volume 17 Issue 4
  • Cover illustration

    Transition metal dichalcogenides (TMDCs) have attracted extensive attention due to their favorable electronic, mechanical, optical properties and the interesting semiconducting electrical properties. However, the requirements of optoelectric devices for suitable band gap, ultrahigh responsivity and carrier mobility pose new challenges for TMDCs optoelectric devices. The emergence of TMDCs heterostructures perfectly solved this problem. The complementary properties of different heterostructure materials make them attractive materials for optoelectric devices. Here [Detail] ...

    Download cover

  • Select all
  • RESEARCH ARTICLE
    Ze-Guo Wang , Shi-Jie Wei , Gui-Lu Long

    Advanced Encryption Standard (AES) is one of the most widely used block ciphers nowadays, and has been established as an encryption standard in 2001. Here we design AES-128 and the sample-AES (S-AES) quantum circuits for deciphering. In the quantum circuit of AES-128, we perform an affine transformation for the SubBytes part to solve the problem that the initial state of the output qubits in SubBytes is not the |0>⊗8 state. After that, we are able to encode the new round sub-key on the qubits encoding the previous round sub-key, and this improvement reduces the number of qubits used by 224 compared with Langenberg et al.’s implementation. For S-AES, a complete quantum circuit is presented with only 48 qubits, which is already within the reach of existing noisy intermediate-scale quantum computers.

  • TOPICAL REVIEW
    Kai Wang , Yong-Pan Gao , Rongzhen Jiao , Chuan Wang

    Recently, the photon–magnon coherent interaction based on the collective spins excitation in ferromagnetic materials has been achieved experimentally. Under the prospect, the magnons are proposed to store and process quantum information. Meanwhile, cavity-optomagnonics which describes the interaction between photons and magnons has been developing rapidly as an interesting topic of the cavity quantum electrodynamics. Here in this short review, we mainly introduce the recent theoretical and experimental progress in the field of optomagnetic coupling and optical manipulation based on cavity-optomagnonics. According to the frequency range of the electromagnetic field, cavity optomagnonics can be divided into microwave cavity optomagnonics and optical cavity optomagnonics, due to the different dynamics of the photon–magnon interaction. As the interaction between the electromagnetic field and the magnetic materials is enhanced in the cavity-optomagnonic system, it provides great significance to explore the nonlinear characteristics and quantum properties for different magnetic systems. More importantly, the electromagnetic response of optomagnonics covers the frequency range from gigahertz to terahertz which provides a broad frequency platform for the multi-mode controlling in quantum systems.

  • RESEARCH ARTICLE
    Peng-Hong Lu , Xiao-Fei Zhang , Chao-Qing Dai

    We consider the dynamics and formation of vortices from ring dark solitons in a two-dimensional Bose–Einstein condensate with the Rashba spin–orbit coupling based on the time-dependent coupled Gross–Pitaevskii equation. Compared with previous results, the system exhibits complex dynamical behaviors in the presence of the spin–orbit coupling. With the modulation of the spin–orbit coupling, not only the lifetime of ring dark solitons is greatly prolonged, but also their attenuation kinetics is significantly affected. For two shallow ring dark solitons with the equal strength of the spin–orbit coupling, the radius of ring dark solitons increases to a maximum value over time and then shrinks into a minimum value. Due to the effect of the snake instability, ring dark solitons split into a series of ring-like clusters of vortex pairs, which perform complex oscillations. This indicates that the system is strongly dependent on the presence of the spin–orbit coupling. Furthermore, the effect of different initial modulation depths on the dynamics of ring dark solitons is investigated.

  • RESEARCH ARTICLE
    Kang Yan , RuoXi Gu , Di Wu , Jin Wei , Yong Xia , Jianping Yin

    Here we propose a scheme to slow MgF molecules by using EOM-based frequency-chirped radiation pressure slowing. The scheme well addresses the need for a rapid chirp rate while light molecules are being laser slowed, whose scattering rate and recoil velocity are large. Two EOMs are used to compensate the rapidly changing Doppler shifts arised from the movement of molecules, and to cover the hyperfine energy structure of MgF, respectively. Based the scattering rate maps calculated from an optical Bloch equation model, individual molecule trajectories are simulated by using a semi-classical three-dimensional Monte Carlo approach. We show how the modulation configuration of EOM and the magnetic field influence the slowing results. The study shows that a cryogenic buffer gas-cooled MgF beam source is possible to be slowed down with a number of ~ 1.4 × 106–107, and the final forward speed peaks at ~ 10 m/s near the capture velocity of a molecular MOT.

  • RESEARCH ARTICLE
    Yi-Piao Wu , Guo-Qing Zhang , Cai-Xia Zhang , Jian Xu , Dan-Wei Zhang

    We investigate the mean-field energy spectrum and dynamics in a Bose–Einstein condensate in a double-well potential with non-Hermiticity from the nonreciprocal hopping, and show that the interplay of nonreciprocity and nonlinearity leads to exotic properties. Under the two-mode and mean-field approximations, the nonreciprocal generalization of the nonlinear Schrödinger equation and Bloch equations of motion for this system are obtained. We analyze the P T phase diagram and the dynamical stability of fixed points. The reentrance of P T -symmetric phase and the reformation of stable fixed points with increasing the nonreciprocity parameter are found. Besides, we uncover a linear selftrapping effect induced by the nonreciprocity. In the nonlinear case, the self-trapping oscillation is enhanced by the nonreciprocity and then collapses in the P T -broken phase, and can finally be recovered in the reentrant P T -symmetric phase.

  • RESEARCH ARTICLE
    Tian-Tian Huan , Rigui Zhou , Hou Ian

    The generation of GHZ states calls for simultaneous excitation of multiple qubits. The peculiarity of such states is reflected in their nonzero distributed entanglement which is not contained in other entangled states. We study the optimal way to excite three superconducting qubits through a common cavity resonator in a circuit such that the generation of distributed entanglement among them could be obtained at the highest degree in a time-controllable way. A non-negative measure quantifying this entanglement is derived as a time function of the quadripartite system evolution. We find that this measure does not stay static but obtains the same maximum periodically. When the qubit-resonator couplings are allowed to vary, its peak value is enhanced monotonically by increasing the greatest coupling strength to one of the qubits. The period of its peak to peak revival maximizes when the couplings become inhomogeneous, thus qubit excitation becoming asynchronous, at a relative ratio of 0.35. The study demonstrates the role of asynchronous excitations for time-controlling multi-qubit systems, in particular in extending entanglement time.

  • RESEARCH ARTICLE
    Xun-Wei Xu , Hai-Quan Shi , Ai-Xi Chen

    We propose a theoretical scheme to realize nonreciprocal transition between two energy levels that can not coupled directly. Suppose they are coupled indirectly by two auxiliary levels with a cyclic four-level configuration, and the four transitions in the cyclic configuration are controlled by external fields. The indirectly transition become nonreciprocal when the time reversal symmetry of the system is broken by the synthetic magnetic flux, i.e., the total phase of the external driving fields through the cyclic four-level configuration. The nonreciprocal transition can be identified by the elimination of a spectral line in the spontaneous emission spectrum. Our work introduces a feasible way to observe nonreciprocal transition in a wide range of multi-level systems, including natural atoms or ions with parity symmetry.

  • RESEARCH ARTICLE
    Wei Zhao , Yan Zhang , Zhihai Wang

    The nonlocal emitter-waveguide coupling, which gives birth to the so called giant atom, represents a new paradigm in the field of quantum optics and waveguide QED. We investigate the single-photon scattering in a one-dimensional waveguide on a two-level or three-level giant atom. Thanks to the natural interference induced by the back and forth photon transmitted/reflected between the atom-waveguide coupling points, the photon transmission can be dynamically controlled by the periodic phase modulation via adjusting the size of the giant atom. For the two-level giant-atom setup, we demonstrate the energy shift which is dependent on the atomic size. For the driven three-level giant-atom setup, it is of great interest that, the Autler–Townes splitting is dramatically modulated by the giant atom, in which the width of the transmission valleys (reflection range) is tunable in terms of the atomic size. Our investigation will be beneficial to the photon or phonon control in quantum network based on mesoscopical or even macroscopical quantum nodes involving the giant atom.

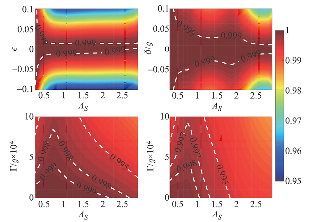
  • RESEARCH ARTICLE
    Yi-Xuan Wu , Zi-Yan Guan , Sai Li , Zheng-Yuan Xue

    Quantum state transfer (QST) and entangled state generation (ESG) are important building blocks for modern quantum information processing. To achieve these tasks, convention wisdom is to consult the quantum adiabatic evolution, which is time-consuming, and thus is of low fidelity. Here, using the shortcut to adiabaticity technique, we propose a general method to realize high-fidelity fast QST and ESG in a cavity-coupled many qubits system via its dark pathways, which can be further designed for high-fidelity quantum tasks with different optimization purpose. Specifically, with a proper dark pathway, QST and ESG between any two qubits can be achieved without decoupling the others, which simplifies experimental demonstrations. Meanwhile, ESG among all qubits can also be realized in a single step. In addition, our scheme can be implemented in many quantum systems, and we illustrate its implementation on superconducting quantum circuits. Therefore, we propose a powerful strategy for selective quantum manipulation, which is promising in cavity coupled quantum systems and could find many convenient applications in quantum information processing.

  • RESEARCH ARTICLE
    Zhiming Chen , Xiuye Liu , Jianhua Zeng

    Electromagnetically induced optical (or photonic) lattices via atomic coherence in atomic ensembles have recently received great theoretical and experimental interest. We here conceive a way to generate electromagnetically induced moiré optical lattices — a twisted periodic pattern when two identical periodic patterns (lattices) are overlapped in a twisted angle (θ) — in a three-level coherent atomic gas working under electromagnetically induced transparency. We show that, changing the twisted angle and relative strength between the two constitutive sublattices, the moiré Bloch bands that are extremely flattened can always appear, resembling the typical flat-band and moiré physics found in other contexts. Dynamics of light propagation in the induced periodic structures demonstrating the unique linear localization and delocalization properties are also revealed. Our scheme can be implemented in a Rubidium atomic medium, where the predicted moiré optical lattices and flattened bands are naturally observable.

  • TOPICAL REVIEW
    Pengfei Zhang

    Entanglement is one of the most important concepts in quantum physics. We review recent progress in understanding the quantum entanglement in many-body systems using large-N solvable models: the Sachdev–Ye–Kitaev (SYK) model and its generalizations. We present the study of entanglement entropy in the original SYK model using three different approaches: the exact diagonalization, the eigenstate thermalization hypothesis, and the pathintegral representation. For coupled SYK models, the entanglement entropy shows linear growth and saturation at the thermal value. The saturation is related to replica wormholes in gravity. Finally, we consider the steady-state entanglement entropy of quantum many-body systems under repeated measurements. The traditional symmetry breaking in the enlarged replica space leads to the measurement-induced entanglement phase transition.

  • TOPICAL REVIEW
    Rui Yang , Jianuo Fan , Mengtao Sun

    Transition metal dichalcogenides (TMDCs) have suitable and adjustable band gaps, high carrier mobility and yield. Layered TMDCs have attracted great attention due to the structure diversity, stable existence in normal temperature environment and the band gap corresponding to wavelength between infrared and visible region. The ultra-thin, flat, almost defect-free surface, excellent mechanical flexibility and chemical stability provide convenient conditions for the construction of different types of TMDCs heterojunctions. The optoelectric properties of heterojunctions based on TMDCs materials are summarized in this review. Special electronic band structures of TMDCs heterojunctions lead to excellent optoelectric properties. The emitter, p-n diodes, photodetectors and photosensitive devices based on TMDCs heterojunction materials show excellent performance. These devices provide a prototype for the design and development of future high-performance optoelectric devices.

  • RESEARCH ARTICLE
    Kai-Tong Wang , Fuming Xu , Bin Wang , Yunjin Yu , Yadong Wei

    Higher-order topological phase in 2-dimensional (2D) systems is characterized by in-gap corner states, which are hard to detect and utilize. We numerically investigate transport properties of topological corner states in 2D honeycomb lattice, where the second-order topological phase is induced by an in-plane Zeeman field in the conventional Kane–Mele model. Through engineering multihollow structures with appropriate boundaries in honeycomb lattice, multiple corner states emerge, which greatly increases the probability to observe them. A typical two-probe setup is built to study the transport features of a diamond-shaped system with multihollow structures. Numerical results reveal the existence of global resonant states in bulk insulator, which corresponds to the resonant tunneling of multiple corner states and occupies the entire scattering region. Furthermore, based on the well separated energy levels of multiple corner states, a single-electron source is constructed.

  • RESEARCH ARTICLE
    Zhen-Bing Dai , Gui Cen , Zhibin Zhang , Xinyu Lv , Kaihui Liu , Zhiqiang Li

    The electronic properties of graphene are very sensitive to its dielectric environment. The coupling to a metal substrate can give rise to many novel quantum effects in graphene, such as band renormalization and plasmons with unusual properties, which are of high technological interest. Infrared nanoimaging are very suitable for exploring these effects considering their energy and length scales. Here, we report near-field infrared nanoimaging studies of graphene on copper synthesized by chemical vapor deposition. Remarkably, our measurements reveal three different types of near-field optical responses of graphene, which are very distinct from the near-field edge fringes observed in the substrate. These results can be understood from the modification of optical conductivity of graphene due to its coupling with the substrate. Our work provides a framework for identifying the near-field response of graphene in graphene/metal systems and paves the way for studying their novel physics and potential applications.

  • RESEARCH ARTICLE
    Lu Wen , Yijun Liu , Guoyu Luo , Xinyu Lv , Kaiyuan Wang , Wang Zhu , Lei Wang , Zhiqiang Li

    We theoretically study the broadband near-field optical spectrum of twisted bilayer graphene (TBG) at various twist angles near the magic angle using two different models. The spectrum at low Fermi energy is characterized by a series of peaks that are almost at the same energies as the peaks in the far-field optical conductivity of TBG. When the Fermi energy is near a van Hove singularity, an additional strong peak appears at finite energy in the near-field spectrum, which has no counterpart in the optical conductivity. Based on a detailed calculation of the plasmon dispersion, we show that these spectroscopic features are associated with interband and intraband plasmons, which can provide critical information about the local band structure and plasmonic excitations in TBG. The near-field peaks evolve systematically with the twist angle, so they can serve as fingerprints for identifying the spatial dependent twist angle in TBG samples. Our findings pave the way for future experimental studies of the novel optical properties of TBG in the nanoscale.

  • RESEARCH ARTICLE
    Yibo Wang , Siqi Jiang , Jingkuan Xiao , Xiaofan Cai , Di Zhang , Ping Wang , Guodong Ma , Yaqing Han , Jiabei Huang , Kenji Watanabe , Takashi Taniguchi , Yanfeng Guo , Lei Wang , Alexander S. Mayorov , Geliang Yu

    Van der Waals (vdW) assembly of two-dimensional materials has long been recognized as a powerful tool for creating unique systems with properties that cannot be found in natural compounds [Nature 499, 419 (2013)]. However, among the variety of vdW heterostructures and their various properties, only a few have revealed metallic and ferroelectric behaviour signatures [Sci. Adv. 5, eaax5080 (2019); Nature560, 336 (2018)]. Here we show ferroelectric semimetal made of double-gated double-layer graphene separated by an atomically thin crystal of hexagonal boron nitride. The structure demonstrates high room temperature mobility of the order of 10 m2·V−1·s−1 and exhibits ambipolar switching in response to the external electric field. The observed hysteresis is reversible and persists above room temperature. Our fabrication method expands the family of ferroelectric vdW compounds and offers a promising route for developing novel phase-changing devices. A possible microscopic model of ferroelectricity is discussed.

  • VIEW & PERSPECTIVE
    Qingquan Kong , Xuguang An , Jing Zhang , Weitang Yao , Chenghua Sun

    Searching for high-performance and cost-effective catalysts is of particular importance for the practical electrocatalysis applications. The heterojunctions with components in different dimensions show unique physical and chemical properties, which can offer large space for rational design of electrocatalysts. In this paper, we firstly reviewed recently related works, and then proposed a few perspectives on exploring heterojunction for electrocatalysis applications.

  • RESEARCH ARTICLE
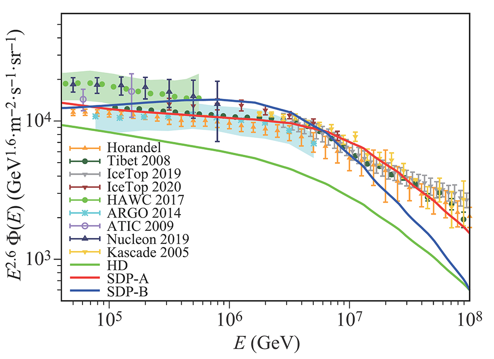
    Bing-Qiang Qiao , Wei Liu , Meng-Jie Zhao , Xiao-Jun Bi , Yi-Qing Guo

    The Tibet ASγ experiment just reported their measurement of sub-PeV diffuse gamma-ray emission from the Galactic disk, with the highest energy up to 957 TeV. These diffuse gamma rays are most likely the hadronic origin by cosmic ray (CR) interaction with interstellar gas in the galaxy. This measurement provides direct evidence to the hypothesis that the Galactic Cosmic Rays (GCRs) can be accelerated beyond PeV energies. In this work, we try to explain the sub-PeV diffuse gamma-ray spectrum with different CR propagation models. We find that there is a tension between the sub-PeV diffuse gamma-ray and the local CR spectrum. To describe the sub-PeV diffuse gamma-ray flux, it generally requires larger local CR flux than measurement in the knee region. We further calculate the PeV neutrino flux from the CR propagation model. Even all of these sub-PeV diffuse gamma rays originate from the propagation, the Galactic Neutrinos (GNs) only account for less than ~15% of observed flux, most of which are still from extragalactic sources.

  • VIEW & PERSPECTIVE
    Lijing Shao

    The imaging of two supermassive black holes by the Event Horizon Telescope Collaboration proved to a new level the correctness of Einstein's general relativity, regarding its prediction of black hole shadows in the highly curved spacetime regime.

Publishing model
2

{"submissionFirstDecision":"30","jcrJfStr":"5.3 (2024)","editorEmail":"wangyy@hep.com.cn"}

Downloads

{"submissionFirstDecision":"30","jcrJfStr":"5.3 (2024)","editorEmail":"wangyy@hep.com.cn"}
1

ISSN 2095-0462 (Print)
ISSN 2095-0470 (Online)
CN 11-5994/O4