2022-06-15 2022, Volume 17 Issue 3
  • Cover illustration

    In the noise-intermediate-scale quantum (NISQ) era, a scalable error-corrected quantum computer is still unviable but a large degree of controllability has been available in a broad spectrum of NISQ devices. Thus, under what conditions our quantum physical systems will have the optimal computational power within the limited computing resource, which is a crucial problem. Here we handle this problem in the framework of quantum reservoir computing. Our quantum reservoir is a long-range disorder spin chain and there is a phase transition from the quantum many-body lo [Detail] ...

    Download cover

  • Select all
  • RESEARCH ARTICLE
    Peng Wang , Chang-Qi Yu , Zi-Xu Wang , Rui-Yang Yuan , Fang-Fang Du , Bao-Cang Ren

    In quantum information processing, the quality of photon system is decreased by the inevitable interaction with environment, which will greatly reduce the efficiency and security of quantum information processing. In this paper, we propose hyperentanglement-assisted hyperdistillation schemes to guarantee the quality of hyper-encoding photon system based on the method of quantum hyper-teleportation, which can increase the success probability of hyperdistillation and reduce the resource consumption. First, we propose a hyperentanglement-assisted single-photon hyperdistillation (HASPHD) scheme for polarization and spatial qubits to get rid of the vacuum state component caused by transmission loss, whose success probability can achieve the optimal one by increasing the efficiency of quantum hyper-teleportation. Subsequently, we present two hyperentanglement-assisted hyperentanglement distillation (HAHED) schemes for photon system to protect hyperentanglement from both transmission loss and quantum channel noise, which can recover the less-entangled mixed state to maximally hyperentangled state for known-parameter and unknown-parameter cases with high success probability and low resource consumption. In these hyperdistillation schemes, the influence of imperfect effects of optical elements can be largely decreased by the quantum hyper-teleportation method. These characters make the hyperentanglement-assisted hyperdistillation schemes have potential application prospects in practical quantum information processing.

  • RESEARCH ARTICLE
    X. Wu , P. Z. Zhao

    Nonadiabatic geometric quantum computation protected by dynamical decoupling combines the robustness of nonadiabatic geometric gates and the decoherence-resilience feature of dynamical decoupling. Solid-state systems provide an appealing candidate for the realization of nonadiabatic geometric quantum computation protected dynamical decoupling since the solid-state qubits are easily embedded in electronic circuits and scaled up to large registers. In this paper, we put forward a scheme of nonadiabatic geometric quantum computation protected by dynamical decoupling via the XXZ Hamiltonian, which not only combines the merits of nonadiabatic geometric gates and dynamical decoupling but also can be realized in a number of solid-state systems, such as superconducting circuits and quantum dots.

  • RESEARCH ARTICLE
    Fu-Quan Dou , Yuan-Jin Wang , Jian-An Sun

    Quantum batteries are energy storage devices that satisfy quantum mechanical principles. How to improve the battery’s performance such as stored energy and power is a crucial element in the quantum battery. Here, we investigate the charging and discharging dynamics of a three-level counterdiabatic stimulated Raman adiabatic passage quantum battery via shortcuts to adiabaticity, which can compensate for undesired transitions to realize a fast adiabatic evolution through the application of an additional control field to an initial Hamiltonian. The scheme can significantly speed up the charging and discharging processes of a three-level quantum battery and obtain more stored energy and higher power compared with the original stimulated Raman adiabatic passage. We explore the effect of both the amplitude and the delay time of driving fields on the performances of the quantum battery. Possible experimental implementation in superconducting circuit and nitrogen–vacancy center is also discussed.

  • TOPICAL REVIEW
    Tianwei Wu , Xinhua Zhang , Zonghua Liu

    The human brain is the most complicated and fascinated system and executes various important brain functions, but its underlying mechanism is a long-standing problem. In recent years, based on the progress of complex network science, much attention has been paid to this problem and many important results have been achieved, thus it is the time to make a summary to help further studies. For this purpose, we here make a brief but comprehensive review on those results from the aspect of brain networks, i.e., from the angle of synchronization and complex network. First, we briefly discuss the main features of human brain and its cognitive functions through synchronization. Then, we discuss how to construct both the anatomical and functional brain networks, including the pathological brain networks such as epilepsy and Alzheimer’s diseases. Next, we discuss the approaches of studying brain networks. After that, we discuss the current progress of understanding the mechanisms of brain functions, including the aspects of chimera state, remote synchronization, explosive synchronization, intelligence quotient, and remote propagation. Finally, we make a brief discussion on the envision of future study.

  • RESEARCH ARTICLE
    Yu Wang , Yi-Hao Kang , Chang-Sheng Hu , Bi-Hua Huang , Jie Song , Yan Xia

    We propose a quantum control scheme with the help of Lyapunov control function in the optomechanics system. The principle of the idea is to design suitable control fields to steer the Lyapunov control function to zero as t → ∞ while the quantum system is driven to the target state. Such an evolution makes no limit on the initial state and one needs not manipulate the laser pulses during the evolution. To prove the effectiveness of the scheme, we show two useful applications in the optomechanics system: one is the cooling of nanomechanical resonator and the other is the quantum fluctuation transfer between membranes. Numerical simulation demonstrates that the perfect and fast cooling of nanomechanical resonator and quantum fluctuation transfer between membranes can be rapidly achieved. Besides, some optimizations are made on the traditional Lyapunov control waveform and the optimized bang–bang control fields makes Lyapunov function V decrease faster. The optimized quantum control scheme can achieve the same goal with greater efficiency. Hence, we hope that this work may open a new avenue of the experimental realization of cooling mechanical oscillator, quantum fluctuations transfer between membranes and other quantum optomechanics tasks and become an alternative candidate for quantum manipulation of macroscopic mechanical devices in the near future.

  • RESEARCH ARTICLE
    Zixuan Zeng , Shangjin Li , Bo Yan

    Due to the similar physical and chemical properties, isotopes are usually hard to separate. On the other hand, the isotope shifts are very well separated in a high-resolution spectrum, making them possible to be addressed individually by lasers, thus separated. Here we report such an isotope separation experiment with Potassium atoms. The isotopes are independently optical pumped to the desired spin states, and then separated with a Stern–Gerlach scheme. A micro-capillary oven is used to collimate the atomic beam, and a Halbach-type magnet array is used to deflect the desired atoms. Finally, the 40K is enriched by two orders of magnitude. This magneto–optical combined method provides an effective way to separate isotopes and can be extended to other elements if the relevant optical pumping scheme is feasible.

  • RESEARCH ARTICLE
    Yixin Yang , Peng Gao , Li-Chen Zhao , Zhan-Ying Yang

    We report a kind of kink-like breathers in one-dimensional Bose–Einstein condensates (BECs) with helicoidal spin–orbit coupling (SOC), on whose two sides the background densities manifest obvious difference (called kink amplitude). The kink amplitude and shape of breather can be adjusted by the strength and period of helicoidal SOC, and its atomic number in two components exchanges periodically with time. The SOC has similar influence on the kink amplitude and the exchanged atomic number, especially when the background wave number is fixed. It indicates that the oscillating intensity of breather can be controlled by adjusting initial kink amplitude. Our work showcases the great potential of realizing novel types of breathers through SOC, and deepens our understanding on the formation mechanisms of breathers in BECs.

  • TOPICAL REVIEW
    Si-Yu Li , Lin He

    Graphene quantum dots (GQDs) not only have potential applications on spin qubit, but also serve as essential platforms to study the fundamental properties of Dirac fermions, such as Klein tunneling and Berry phase. By now, the study of quantum confinement in GQDs still attract much attention in condensed matter physics. In this article, we review the experimental progresses on quantum confinement in GQDs mainly by using scanning tunneling microscopy (STM) and scanning tunneling spectroscopy (STS). Here, the GQDs are divided into Klein GQDs, bound-state GQDs and edge-terminated GQDs according to their different confinement strength. Based on the realization of quasi-bound states in Klein GQDs, external perpendicular magnetic field is utilized as a manipulation approach to trigger and control the novel properties by tuning Berry phase and electron–electron (e–e) interaction. The tip-induced edge-free GQDs can serve as an intuitive mean to explore the broken symmetry states at nanoscale and single-electron accuracy, which are expected to be used in studying physical properties of different two-dimensional materials. Moreover, high-spin magnetic ground states are successfully introduced in edge-terminated GQDs by designing and synthesizing triangulene zigzag nanographenes.

  • RESEARCH ARTICLE
    Annan Fan , Shi-Dong Liang

    Non-Hermitian systems as theoretical models of open or dissipative systems exhibit rich novel physical properties and fundamental issues in condensed matter physics. We propose a generalized local–global correspondence between the pseudo-boundary states in the complex energy plane and topological invariants of quantum states. We find that the patterns of the pseudo-boundary states in the complex energy plane mapped to the Brillouin zone are topological invariants against the parameter deformation. We demonstrate this approach by the non-Hermitian Chern insulator model. We give the consistent topological phases obtained from the Chern number and vorticity. We also find some novel topological invariants embedded in the topological phases of the Chern insulator model, which enrich the phase diagram of the non-Hermitian Chern insulators model beyond that predicted by the Chern number and vorticity. We also propose a generalized vorticity and its flipping index to understand physics behind this novel local–global correspondence and discuss the relationships between the local–global correspondence and the Chern number as well as the transformation between the Brillouin zone and the complex energy plane. These novel approaches provide insights to how topological invariants may be obtained from local information as well as the global property of quantum states, which is expected to be applicable in more generic non-Hermitian systems.

  • RESEARCH ARTICLE
    Gaoyong Sun , Jia-Chen Tang , Su-Peng Kou

    We develop the perturbation theory of the fidelity susceptibility in biorthogonal bases for arbitrary interacting non-Hermitian many-body systems with real eigenvalues. The quantum criticality in the non-Hermitian transverse field Ising chain is investigated by the second derivative of the ground-state energy and the ground-state fidelity susceptibility. We show that the system undergoes a second-order phase transition with the Ising universal class by numerically computing the critical points and the critical exponents from the finite-size scaling theory. Interestingly, our results indicate that the biorthogonal quantum phase transitions are described by the biorthogonal fidelity susceptibility instead of the conventional fidelity susceptibility.

  • RESEARCH ARTICLE
    Jing-Kai Fang , Jun-Han Huang , Han-Qing Wu , Dao-Xin Yao

    By using Lanczos exact diagonalization and quantum Monte Carlo combined with stochastic analytic continuation, we study the dynamical properties of the S = 1 antiferromagnetic Heisenberg chain with different strengths of bond disorder. In the weak disorder region, we find weakly coupled bonds which can induce additional low-energy excitation below the one-magnon mode. As the disorder increases, the average Haldane gap closes at δ ~ 0.5 with more and more low-energy excitations coming out. After the critical disorder strength δc ~ 1, the system reaches a random-singlet phase with prominent sharp peak at ω = 0 and broad continuum at ω > 0 of the dynamic spin structure factor. In addition, we analyze the distribution of random spin domains and numerically find three kinds of domains hosting effective spin-1/2 quanta or spin-1 sites in between. These “spins” can form the weakly coupled longrange singlets due to quantum fluctuation which contribute to the sharp peak at ω = 0.

  • RESEARCH ARTICLE
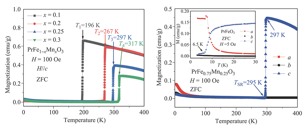
    Wencheng Fan , Haiyang Chen , Gang Zhao , Xiaoxuan Ma , Ramki Chakaravarthy , Baojuan Kang , Wenlai Lu , Wei Ren , Jincang Zhang , Shixun Cao

    Spin reorientation transition (SRT) has attracted substantial attention due to its important role in the ultrafast control of spins. However, the transition temperature is usually too low for its practical applications. Here, we demonstrate the ability to modulate the SRT temperature in PrFe1−xMnxO3 single crystals from 196 K to 317 K across the room temperature by varying the Mn concentration. Interestingly, the Γ4 to Γ1 spin reorientation of the Mn-doped PrFeO3 is distinct from the Γ4 to Γ2 spin reorientation transition as in the parent material. Because of the coupling between rare-earth ions and transition-metal ions in determining the SRT temperature, the demonstrated control scheme of spin reorientation transition temperature by Mn-doping is expected to be used in temperature control magnetic switching devices and applicable to many other rare-earth orthoferrites.

  • RESEARCH ARTICLE
    Feng Chen , Aiguo Xu , Yudong Zhang , Yanbiao Gan , Bingbing Liu , Shuang Wang

    The effects of initial perturbations on the Rayleigh–Taylor instability (RTI), Kelvin–Helmholtz instability (KHI), and the coupled Rayleigh–Taylor–Kelvin–Helmholtz instability (RTKHI) systems are investigated using a multiple-relaxation-time discrete Boltzmann model. Six different perturbation interfaces are designed to study the effects of the initial perturbations on the instability systems. It is found that the initial perturbation has a significant influence on the evolution of RTI. The sharper the interface, the faster the growth of bubble or spike. While the influence of initial interface shape on KHI evolution can be ignored. Based on the mean heat flux strength D3,1, the effects of initial interfaces on the coupled RTKHI are examined in detail. The research is focused on two aspects: (i) the main mechanism in the early stage of the RTKHI, (ii) the transition point from KHI-like to RTI-like for the case where the KHI dominates at earlier time and the RTI dominates at later time. It is found that the early main mechanism is related to the shape of the initial interface, which is represented by both the bilateral contact angle θ1 and the middle contact angle θ2. The increase of θ1 and the decrease of θ2 have opposite effects on the critical velocity. When θ2 remains roughly unchanged at 90 degrees, if θ1 is greater than 90 degrees (such as the parabolic interface), the critical shear velocity increases with the increase of θ1, and the ellipse perturbation is its limiting case; If θ1 is less than 90 degrees (such as the inverted parabolic and the inverted ellipse disturbances), the critical shear velocities are basically the same, which is less than that of the sinusoidal and sawtooth disturbances. The influence of inverted parabolic and inverted ellipse perturbations on the transition point of the RTKHI system is greater than that of other interfaces: (i) For the same amplitude, the smaller the contact angle θ1, the later the transition point appears; (ii) For the same interface morphology, the disturbance amplitude increases, resulting in a shorter duration of the linear growth stage, so the transition point is greatly advanced.

  • RESEARCH ARTICLE
    Wei Xia , Jie Zou , Xingze Qiu , Xiaopeng Li

    Harnessing the quantum computation power of the present noisy-intermediate-size-quantum devices has received tremendous interest in the last few years. Here we study the learning power of a one-dimensional long-range randomly-coupled quantum spin chain, within the framework of reservoir computing. In time sequence learning tasks, we find the system in the quantum many-body localized (MBL) phase holds long-term memory, which can be attributed to the emergent local integrals of motion. On the other hand, MBL phase does not provide sufficient nonlinearity in learning highly-nonlinear time sequences, which we show in a parity check task. This is reversed in the quantum ergodic phase, which provides sufficient nonlinearity but compromises memory capacity. In a complex learning task of Mackey–Glass prediction that requires both sufficient memory capacity and nonlinearity, we find optimal learning performance near the MBL-to-ergodic transition. This leads to a guiding principle of quantum reservoir engineering at the edge of quantum ergodicity reaching optimal learning power for generic complex reservoir learning tasks. Our theoretical finding can be tested with near-term NISQ quantum devices.

  • RESEARCH HIGHLIGHT
    X. -D. Xiang
  • RESEARCH ARTICLE
    Zun-Lei Xu , Kai-Kai Duan , Wei Jiang , Shi-Jun Lei , Xiang Li , Zhao-Qiang Shen , Tao Ma , Meng Su , Qiang Yuan , Chuan Yue , Yi-Zhong Fan , Jin Chang

    The DArk Matter Particle Explorer (DAMPE) is a space high-energy cosmic-ray detector covering a wide energy band with a high energy resolution. One of the key scientific goals of DAMPE is to carry out indirect detection of dark matter by searching for high-energy gamma-ray line structure. To promote the sensitivity of gamma-ray line search with DAMPE, it is crucial to improve the acceptance and energy resolution of gamma-ray photons. In this paper, we quantitatively proved that the photon sample with the largest ratio of acceptance to energy resolution is optimal for line search. We therefore developed a line-search sample specifically optimized for the line-search. Meanwhile, in order to increase the statistics, we also selected the so-called BGO-only photons that convert into e+e- pairs only in the BGO calorimeter. The standard, the line-search, and the BGO-only photon samples are then tested for line-search individually and collectively. The results show that a significantly improved limit could be obtained from an appropriate combination of the date sets, and the increase is about 20% for the highest case compared with using the standard sample only.

Publishing model
2

{"submissionFirstDecision":"30","jcrJfStr":"5.3 (2024)","editorEmail":"wangyy@hep.com.cn"}

Downloads

{"submissionFirstDecision":"30","jcrJfStr":"5.3 (2024)","editorEmail":"wangyy@hep.com.cn"}
1

ISSN 2095-0462 (Print)
ISSN 2095-0470 (Online)
CN 11-5994/O4