2022-12-15 2022, Volume 17 Issue 6
  • Cover illustration

    Cover Two-dimensional (2D) semiconductors are emerging as promising candidates for the next-generation nanoelectronics. As a type of unique channel materials, 2D semiconducting transition metal dichalcogenides (TMDCs), such as MoS2 and WS2, exhibit great potential for the state-of-the-art field-effect transistors owing to their atomically thin thicknesses, dangling-band free surfaces, and abundant band structures. Even so, the device performances of 2D semiconducting TMDCs are still failing to reach the theoretical values so far, which is attributed to the intrin [Detail] ...

    Download cover

  • Select all
  • RESEARCH ARTICLE
    Ming-Cheng Liang , Zhi-Xing Lin , Yang-Yang Chen , Xi-Wen Guan , Xibo Zhang

    Weakly interacting quantum systems in low dimensions have been investigated for a long time, but there still remain a number of open questions and a lack of explicit expressions of physical properties of such systems. In this work, we find power-law scalings of thermodynamic observables in low-dimensional interacting Bose gases at quantum criticality. We present a physical picture for these systems with the repulsive interaction strength approaching zero; namely, the competition between the kinetic and interaction energy scales gives rise to power-law scalings with respect to the interaction strength in characteristic thermodynamic observables. This prediction is supported by exact Bethe ansatz solutions in one dimension, demonstrating a simple 1/3-power-law scaling of the critical entropy per particle. Our method also yields results in agreement with a non-perturbative renormalization-group computation in two dimensions. These results provide a new perspective for understanding many-body phenomena induced by weak interactions in quantum gases.

  • RESEARCH ARTICLE
    Tong Liu , Bao-Qing Guo , Yan-Hui Zhou , Jun-Long Zhao , Yu-Liang Fang , Qi-Cheng Wu , Chui-Ping Yang

    Transferring entangled states between matter qubits and microwave-field (or optical-field) qubits is of fundamental interest in quantum mechanics and necessary in hybrid quantum information processing and quantum communication. We here propose a way for transferring entangled states between superconducting qubits (matter qubits) and microwave-field qubits. This proposal is realized by a system consisting of multiple superconducting qutrits and microwave cavities. Here, „qutrit” refers to a three-level quantum system with the two lowest levels encoding a qubit while the third level acting as an auxiliary state. In contrast, the microwave-field qubits are encoded with coherent states of microwave cavities. Because the third energy level of each qutrit is not populated during the operation, decoherence from the higher energy levels is greatly suppressed. The entangled states can be deterministically transferred because measurement on the states is not needed. The operation time is independent of the number of superconducting qubits or microwave-field qubits. In addition, the architecture of the circuit system is quite simple because only a coupler qutrit and an auxiliary cavity are required. As an example, our numerical simulations show that high-fidelity transfer of entangled states from two superconducting qubits to two microwave-field qubits is feasible with present circuit QED technology. This proposal is quite general and can be extended to transfer entangled states between other matter qubits (e.g., atoms, quantum dots, and NV centers) and microwave- or optical-field qubits encoded with coherent states.

  • RESEARCH ARTICLE
    Chen Jiao , Jun-Cheng Liang , Zi-Fa Yu , Yan Chen , Ai-Xia Zhang , Ju-Kui Xue

    We study the ground-state phases, the stability phase diagram and collapse dynamics of Bose−Einstein condensates (BECs) with tunable spin−orbit (SO) coupling in the two-dimensional harmonic potential by variational analysis and numerical simulation. Here we propose the theory that the collapse stability and collapse dynamics of BECs in the external trapping potential can be manipulated by the periodic driving of Raman coupling (RC), which can be realized experimentally. Through the high-frequency approximation, an effective time-independent Floquet Hamiltonian with two-body interaction in the harmonic potential is obtained, which results in a tunable SO coupling and a new effective two-body interaction that can be manipulated by the periodic driving strength. Using the variational method, the phase transition boundary and collapse boundary of the system are obtained analytically, where the phase transition between the spin-nonpolarized phase with zero momentum (zero momentum phase) and spin-polarized phase with non-zero momentum (plane wave phase) can be manipulated by the external driving and sensitive to the strong external trapping potential. Particularly, it is revealed that the collapsed BECs can be stabilized by periodic driving of RC, and the mechanism of collapse stability manipulated by periodic driving of RC is clearly revealed. In addition, we find that the collapse velocity and collapse time of the system can be manipulated by periodic driving strength, which also depends on the RC, SO coupling strength and external trapping potential. Finally, the variational approximation is confirmed by numerical simulation of Gross−Pitaevskii equation. Our results show that the periodic driving of RC provides a platform for manipulating the ground-state phases, collapse stability and collapse dynamics of the SO coupled BECs in an external harmonic potential, which can be realized easily in current experiments.

  • RESEARCH ARTICLE
    Long-Yu Cheng , Fei Ming , Fa Zhao , Liu Ye , Dong Wang

    In this work, we study the entropic uncertainty and quantum discord in two double-quantum-dot (DQD) system coupled via a transmission line resonator (TLR). Explicitly, the dynamics of the systemic quantum correlation and measured uncertainty are analysed with respect to a general X-type state as the initial state. Interestingly, it is found that the different parameters, including the eigenvalue α of the coherent state, detuning amount δ, frequency ω and the coupling constant g, have subtle effects on the dynamics of the entropic uncertainty, such as the oscillation period of the uncertainty. It is clear to reveal that the quantum discord and the lower bound of the entropic uncertainty are anti-correlated when the initial state of the system is the Werner-type state, while quantum discord and the lower bound of the entropic uncertainty are not anti-correlated when the initial state of the system is the Bell-diagonal state. Thereby, we claim that the current investigation would provide an insight into the entropic uncertainty and quantum correlation in DQDs system, and are basically of importance to quantum precision measurement in practical quantum information processing.

  • RESEARCH ARTICLE
    Yanming Hu , Yifan Fei , Xiao-Long Chen , Yunbo Zhang

    The collisional dynamics of two symmetric droplets with equal intraspecies scattering lengths and particle number density for each component is studied by solving the corresponding extended Gross−Pitaevskii equation in two dimensions by including a logarithmic correction term in the usual contact interaction. We find the merging droplet after collision experiences a quadrupole oscillation in its shape and the oscillation period is found to be independent of the incidental momentum for small droplets. With increasing collision momentum the colliding droplets may separate into two, or even more, and finally into small pieces of droplets. For these dynamical phases we manage to present boundaries determined by the remnant particle number in the central area and the damped oscillation of the quadrupole mode. A stability peak for the existence of droplets emerges at the critical particle numberNc ≃ 48 for the quasi-Gaussian and flat-top shapes of the droplets.

  • ERRATUM
    Yanming Hu , Yifan Fei , Xiao-Long Chen , Yunbo Zhang
  • RESEARCH ARTICLE
    Si Jia Li , Zhuo Yue Li , Guo Shai Huang , Xiao Bin Liu , Rui Qi Li , Xiang Yu Cao

    Orbital angular momentum (OAM) is a phenomenon of vortex phase distribution in free space, which has attracted enormous attention in theoretical research and practical application of wireless communication systems due to its characteristic of infinitely orthogonal modes. However, traditional methods generating OAM beams are bound to complex structure, large device, multiple layers, complex feed networks, and limited beams in microwave range. Here, a digital coding transmissive metasurface (DCTMS) with a single layer substrate and the bi-symmetrical arrow is proposed and designed to generate multi-OAM-beam based on Pancharatnam−Berry (PB) phase principle. The 3-bit phase response can be realized by encoding the geometric phase into rotation angle of unit cell for DCTMS. Additionally, the phase compensation of the metasurface is introduced to achieve the beam focusing and the conversion from spherical wave to plane wave. According to the digital convolution theorem, the far-field patterns and near-field distributions of multi-OAM-beam withl= −2 modes are adequately demonstrated by DCTMS prototypes. The OAM efficiency and the purity are calculated to demonstrate the excellent multi-OAM-beam. The simulated and experimental results illustrate their performance of OAM beams. The designed DCTMS has profound application in multi-platform wireless communication systems and the multi-channel imaging systems.

  • RESEARCH ARTICLE
    Wenhao Bu , Yuhe Zhang , Qian Liang , Tao Chen , Bo Yan

    We report an experimental investigation on the Doppler-free saturated absorption spectroscopy of buffer-gas-cooled Barium monofluoride (BaF) molecules in a 4 K cryogenic cell. The obtained spectra with a resolution of 19 MHz, much smaller than previously observed in absorption spectroscopy, clearly resolve the hyperfine transitions. Moreover, we use these high-resolution spectra to fit the hyperfine splittings of excited A(v = 0) state and find the hyperfine splitting of the laser-cooling-relevant A2Π1/2(v = 0, J = 1/2,+) state is about 18 MHz, much higher than the previous theoretically predicted value. This provides important missing information for laser cooling of BaF molecules.

  • RESEARCH ARTICLE
    Zongyu Hou , Weilun Gu , Tianqi Li , Zhe Wang , Liang Li , Xiang Yu , Yecai Zhang , Zijun Liu

    Calibration-free (CF) laser-induced breakdown spectroscopy (LIBS) is normally only applicable for gated detectors due to its dependence on the assumption of a steady-state plasma. However, most currently available LIBS systems are equipped with non-gated detectors such as charge-coupled device (CCD), which degrades the accuracy of CF method. In this paper, the reason for the less satisfactory quantification performance of CF for LIBS with non-gated detectors was clarified and a time-integration calibration-free (TICF) model was proposed for applications with non-gated detectors. It was based on an assumed temporal profile of plasma properties, including temperature and electron density, obtained from another pre-experiment. The line intensity at different time during the signal collection time window was estimated with self-absorption correction according to the temporal profile of the plasma properties. The proposed model was validated on titanium alloys and compared with traditional CF. The accuracy of elemental concentration measurement was improved significantly: the average relative error of aluminum and vanadium decreased from 6.07% and 22.34% to 2.01% and 1.92%, respectively. The quantification results showed that TICF method was able to extend the applicability of CF to LIBS with non-gated detectors.

  • RESEARCH ARTICLE
    Jin-Xuan Han , Jin-Lei Wu , Zhong-Hui Yuan , Yan Xia , Yong-Yuan Jiang , Jie Song

    Topological pumping of edge states in the finite lattice with nontrivial topological phases provides a powerful means for robust excitation transfer, requiring extremely slow evolution to follow an adiabatic transfer. Here, we propose fast topological pumping via edge channels to generate large-scale Greenberger−Horne−Zeilinger (GHZ) states in a topological superconducting circuit with a sped-up evolution process. The scheme indicates a conceptual way of designing fast topological pumping related to the instantaneous energy spectrum characteristics rather than relying on the shortcuts to adiabaticity. Based on fast topological pumping, large-scale GHZ states show greater robustness against on-site potential defects, the fluctuation of couplings and losses of the system in comparison with the conventional adiabatic topological pumping. With experimentally feasible qutrit-resonator coupling strengths and moderate decay rates of qutrits and resonators, fast topological pumping drastically improves the scalability of GHZ states with a high fidelity. Our work opens up prospects for the realization of large-scale GHZ states based on fast topological pumping in the superconducting quantum circuit system, which provides potential applications of topological matters in quantum information processing.

  • RESEARCH ARTICLE
    Yaofeng Li , Huilin Lai , Chuandong Lin , Demei Li

    Kelvin−Helmholtz (KH) instability is a fundamental fluid instability that widely exists in nature and engineering. To better understand the dynamic process of the KH instability, the influence of the tangential velocity on the compressible KH instability is investigated by using the discrete Boltzmann method based on the nonequilibrium statistical physics. Both hydrodynamic and thermodynamic nonequilibrium (TNE) effects are probed and analyzed. It is found that, on the whole, the global density gradients, the TNE strength and area firstly increase and decrease afterwards. Both the global density gradient and heat flux intensity in the vertical direction are almost constant in the initial stage before a vortex forms. Moreover, with the increase of the tangential velocity, the KH instability evolves faster, hence the global density gradients, the TNE strength and area increase in the initial stage and achieve their peak earlier, and their maxima are higher for a larger tangential velocity. Physically, there are several competitive mechanisms in the evolution of the KH instability. (i) The physical gradients increase and the TNE effects are strengthened as the interface is elongated. The local physical gradients decrease and the local TNE intensity is weakened on account of the dissipation and/or diffusion. (ii) The global heat flux intensity is promoted when the physical gradients increase. As the contact area expands, the heat exchange is enhanced and the global heat flux intensity increases. (iii) The global TNE intensity reduces with the decreasing of physical gradients and increase with the increasing of TNE area. (iv) The nonequilibrium area increases as the fluid interface is elongated and is widened because of the dissipation and/or diffusion.

  • RESEARCH ARTICLE
    Xin Li , Guangcun Shan , Ruguang Ma , Chan-Hung Shek , Hongbin Zhao , Seeram Ramakrishna

    MXene-based hydrogels have drawn considerable attention as flexible and wearable sensors. However, the application of MXene-based hydrogels after sensing failure has rarely been investigated, which is of great significance for expanding their engineering application. In this work, multifunctional mineral MXene hydrogels (MMHs) were synthesized via a simple method inspired by biomineralization. The prepared MMHs were stretchable, self-healable and conductive, and can be used to fabricate wearable tensile strain sensors showing a super-wide sensing range with excellent sensitivity. MMHs-based strain sensors were designed to be directly attached to the skin surface to detect tiny and large human motions. In addition, with the advantages of a large specific area, excellent hydrophilicity and abundant active adsorption sites for MXene nanosheets and hydrogels, dehydrated MMHs were used as highly efficient adsorbents for the removal of strontium ions from aqueous solutions. This work shows the great potential of MXene in promoting the development of next-generation functional materials.

  • RESEARCH ARTICLE
    Yue Chen , Zhengtao Liu , Ziyue Lin , Qiwen Jiang , Mingyang Du , Zihan Zhang , Hao Song , Hui Xie , Tian Cui , Defang Duan

    The theoretical predictions and experimental synthesis of H3S and LaH10 superconductors with record high superconducting transition temperatures (Tc) have promoted the hydrogen-based superconducors to be a research hotspot in the field of solid-state physics. Here, we predict an unprecedented layered structure CaH15, with high Tc of 189 K at 200 GPa using ab initio calculations. As concerns the novel structure, one layer is made of a hydrogen nonagon, the other layer consists of a Ca atom and six H2 molecular units surrounding the Ca atom. This layered structure was also found in SrH15, YH15, and LaH15 at high pressures, each materials exhibit high Tc especially YH15 can reach above 200 K at 220 GPa. It represents the second class of layered superhydrides with high value of Tc after pentagraphene like HfH10.

  • RESEARCH ARTICLE
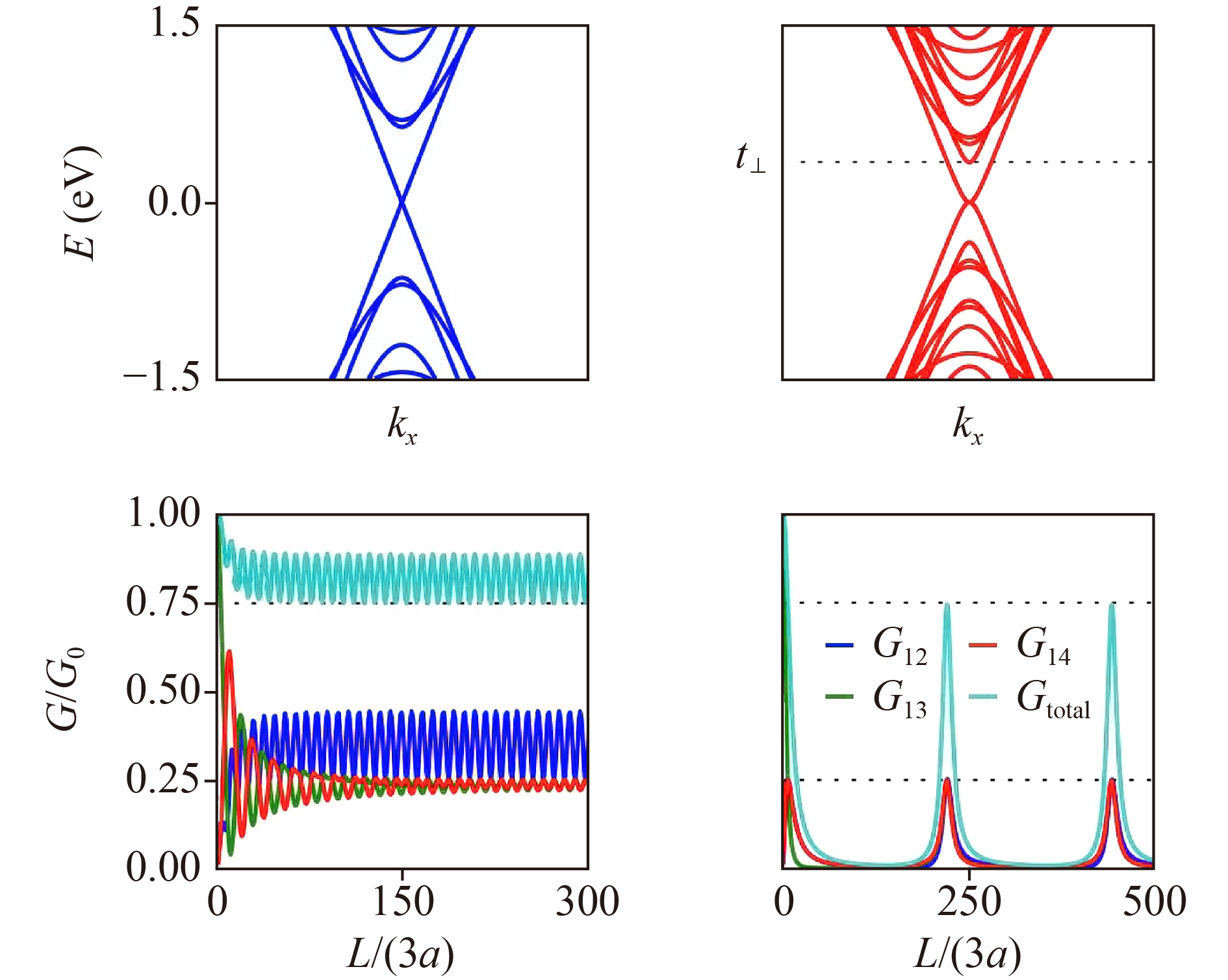
    Junjie Zeng , Rui Xue , Tao Hou , Yulei Han , Zhenhua Qiao

    We study theoretically the construction of topological conducting domain walls with a finite width between AB/BA stacking regions via finite element method in bilayer graphene systems with tunable commensurate twisting angles. We find that the smaller is the twisting angle, the more significant the lattice reconstruction would be, so that sharper domain boundaries declare their existence. We subsequently study the quantum transport properties of topological zero-line modes which can exist because of the said domain boundaries via Green’s function method and Landauer−Büttiker formalism, and find that in scattering regions with tri-intersectional conducting channels, topological zero-line modes both exhibit robust behavior exemplified as the saturated total transmissionGtot ≈ 2e2/h and obey a specific pseudospin-conserving current partition law among the branch transport channels. The former property is unaffected by Aharonov−Bohm effect due to a weak perpendicular magnetic field, but the latter is not. Results from our genuine bilayer hexagonal system suggest a twisting angle aroundθ ≈ 0.1° for those properties to be expected, consistent with the existing experimental reports.

  • RESEARCH ARTICLE
    Jia-En Yang , Hang Xie

    Topological edge states have crucial applications in the future nano spintronics devices. In this work, circularly polarized light is applied on the zigzag silicene-like nanoribbons resulting in the anisotropic chiral edge modes. An energy-dependent spin filter is designed based on the topological-insulator (TI) junctions with anisotropic chiral edge states. The resonance transmission has been observed in the TI junctions by calculating the local current distributions. And some strong Fabry−Perot resonances are found leading to the sharp transmission peaks. Whereas, the weak and asymmetric resonance corresponds to the broad transmission peaks. In addition, a qualitative relation between the resonant energy separation TR and group velocity vf is derived: TRhvfn/L, that indicated TR is proportional to vf and inversely proportional to the length L of the conductor. The different TR between the spin-up and spin-down cases results in the energy-resolved spin filtering effect. Moreover, the intensity of the circularly polarized light can modulate the group velocity vf. Thus, the intensity of circularly polarized light, as well as the conductor-length, play very vital roles in designing the energy-dependent spin filter. Since the transmission gap root in the Fabry−Perot resonances, the thermoelectric (TE) property can be enhanced by adjusting the gap. A schedule to enhance the TE performance in the TI-junction is proposed by modulating the electric field (Ez). The TE dependence on Ez in the nanojunction is investigated, where the appropriate Ez leads to a very high spin thermopower and spin figure of merit. These TI junctions have potential usages in the nano spintronics and thermoelectric devices.

  • RESEARCH ARTICLE
    Jia-Qi Liu , Qian Gao , Zhen-Peng Hu

    An sp2-sp3 hybrid carbon allotrope named HSH-carbon is proposed by the first-principles calculations. The structure of HSH-carbon can be regarded as a template polymerization of [1.1.1]propellane molecules in a hexagonal lattice, as well as, an AA stacking of recently reported HSH-C10 consisting of carbon trigonal bipyramids. Based on calculations, the stability of this structure is demonstrated in terms of the cohesive energy, phonon dispersion, Born−Huang stability criteria, and ab initio molecular dynamics. HSH-carbon is predicted to be a semiconductor with an indirect energy gap of 3.56 eV at the PBE level or 4.80 eV at the HSE06 level. It is larger than the gap of Si and close to the gap of c-diamond, which indicates HSH-carbon is potentially an ultrawide bandgap semiconductor. The effective masses of carriers in the VB and CB edge are comparable with wide bandgap semiconductors such as GaN and ZnO. The elastic behavior of HSH-carbon such as bulk modulus, Young’s modulus and shear modulus is comparable with that of T-carbon and much smaller than that of c-diamond, which suggests that HSH-carbon would be much easier to be processed than c-diamond in practice.

  • RESEARCH ARTICLE
    Mingqing Liao , Jumahan Maimaitimusha , Xueting Zhang , Jingchuan Zhu , Fengjiang Wang

    Ultrawide bandgap semiconductor, e.g., diamond, is considered as the next generation of semiconductor. Here, a new orthorhombic carbon allotrope (P212121-C16) with ultrawide bandgap and ultra-large hardness is identified. The stability of the newly designed carbon is confirmed by the energy, phonon spectrum, ab-initio molecular dynamics and elastic constants. The hardness ranges from 88 GPa to 93 GPa according to different models, which is comparable to diamond. The indirect bandgap reaches 6.23 eV, which is obviously larger than that of diamond, and makes it a promising ultra-wide bandgap semiconductor. Importantly, the experimental possibility is confirmed by comparing the simulated X-ray diffraction with experimental results, and two hypothetical transformation paths to synthesize it from graphite are proposed.

  • RESEARCH ARTICLE
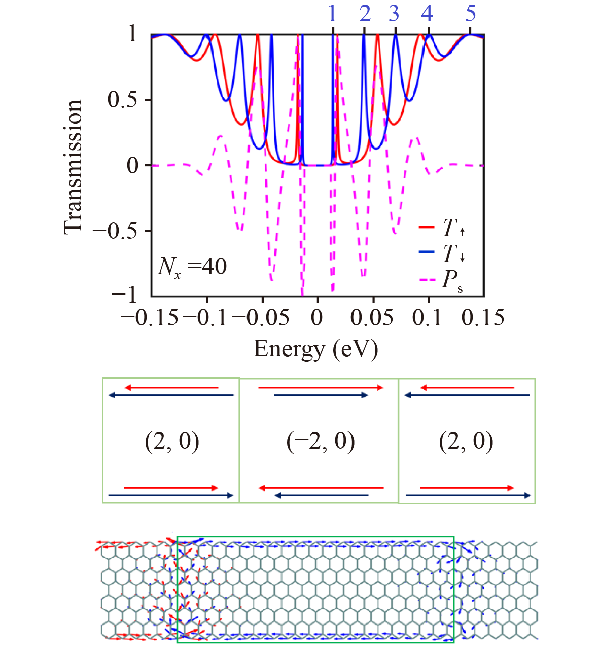
    Hui Yang , Junjie Zeng , Sanyi You , Yulei Han , Zhenhua Qiao

    We numerically investigate the mesoscopic electronic transport properties of Bernal-stacked bilayer/trilayer graphene connected with four monolayer graphene terminals. In armchair-terminated metallic bilayer graphene, we show that the current from one incoming terminal can be equally partitioned into other three outgoing terminals near the charge-neutrality point, and the conductance periodically fluctuates, which is independent of the ribbon width but influenced by the interlayer hopping energy. This finding can be clearly understood by using the wave function matching method, in which a quantitative relationship between the periodicity, Fermi energy, and interlayer hopping energy can be reached. Interestingly, for the trilayer case, when the Fermi energy is located around the charge-neutrality point, the fractional quantized conductance 1/(4e2h) can be achieved when system exceeds a critical length.

  • RESEARCH ARTICLE
    Weibin Zhang , Woochul Yang , Yingkai Liu , Zhiyong Liu , Fuchun Zhang

    By high-throughput calculations, 13 thermally and environmentally stable Janus MA2Z4 monolayers were screened from 104 types of candidates. The 13 stable monolayers have very high charge carrier concentrations (×1015 cm−2), which are better than those of the well-known graphene and TaS2. Because of their excellent conductivity, the 6 monolayers with band gaps less than 0.5 eV are identified as potential electrode materials for hydrogen evolution reaction applications. For potential applications as photoelectric or photocatalytic materials, bandgaps (Eg-HSE) higher than 0.5 eV remained, which resulted in 7 potential candidates. Based on optical absorption analysis in the visible-light range, H-HfSiGeP4 and H-MoSiGeP4 have higher absorption ability and optical conductivity, which is quite impressive for optoelectronic, solar cell device, and photocatalysis applications. Additionally, the transmittance coefficient of Janus MA2Z4 monolayers is approximately 70%−80% in the visible-light range, which implies that these monolayers show good light transmittance. For potential applications as photocatalysts, the redox potential and charge effective mass analysis indicate that H-HfSiGeP4, H-MoSiGeP4, T-ScSiGeN4, and T-ZrSiGeN4 are suitable photocatalysts for CO2 reduction reactions. Using high-throughput identification, 13 types of new and stable Janus MA2Z4 monolayers were explored, and the basic properties and potential applications were investigated, which can reduce the time for experiments and provide basic data for the material genome initiative.

  • TOPICAL REVIEW
    Mo Cheng , Junbo Yang , Xiaohui Li , Hui Li , Ruofan Du , Jianping Shi , Jun He

    Two-dimensional (2D) semiconductors are emerging as promising candidates for the next-generation nanoelectronics. As a type of unique channel materials, 2D semiconducting transition metal dichalcogenides (TMDCs), such as MoS2 and WS2, exhibit great potential for the state-of-the-art field-effect transistors owing to their atomically thin thicknesses, dangling-band free surfaces, and abundant band structures. Even so, the device performances of 2D semiconducting TMDCs are still failing to reach the theoretical values so far, which is attributed to the intrinsic defects, excessive doping, and daunting contacts between electrodes and channels. In this article, we review the up-to-date three strategies for improving the device performances of 2D semiconducting TMDCs: (i) the controllable synthesis of wafer-scale 2D semiconducting TMDCs single crystals to reduce the evolution of grain boundaries, (ii) the ingenious doping of 2D semiconducting TMDCs to modulate the band structures and suppress the impurity scatterings, and (iii) the optimization design of interfacial contacts between electrodes and channels to reduce the Schottky barrier heights and contact resistances. In the end, the challenges regarding the improvement of device performances of 2D semiconducting TMDCs are highlighted, and the further research directions are also proposed. We believe that this review is comprehensive and insightful for downscaling the electronic devices and extending the Moore’s law.

  • RESEARCH ARTICLE
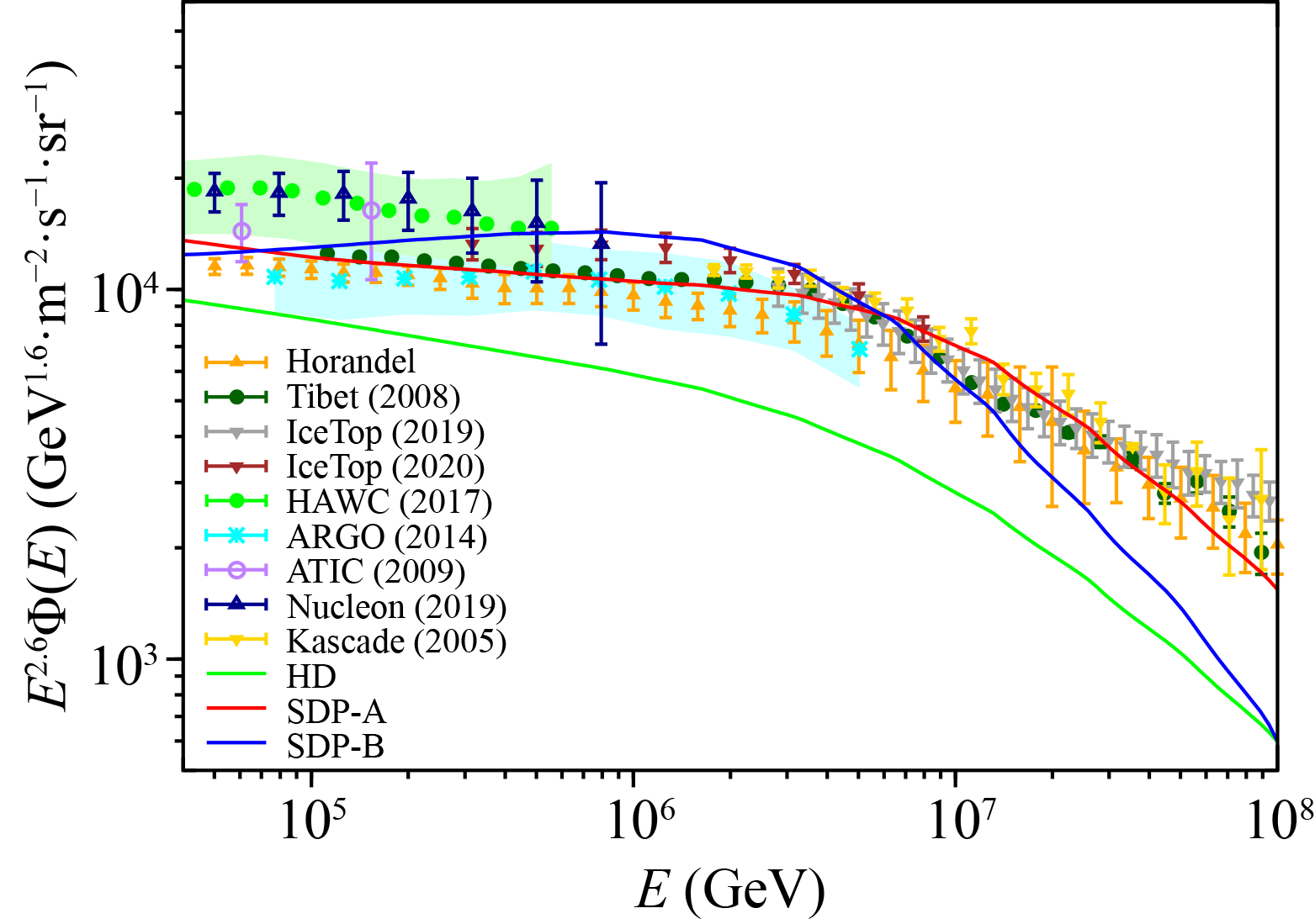
    Bing-Qiang Qiao , Wei Liu , Meng-Jie Zhao , Xiao-Jun Bi , Yi-Qing Guo

    The Tibet ASγ experiment just reported their measurement of sub-PeV diffuse gamma-ray emission from the Galactic disk, with the highest energy up to 957 TeV. These diffuse gamma rays are most likely the hadronic origin by cosmic ray (CR) interaction with interstellar gas in the galaxy. This measurement provides direct evidence to the hypothesis that the Galactic Cosmic Rays (GCRs) can be accelerated beyond PeV energies. In this work, we try to explain the sub-PeV diffuse gamma-ray spectrum with different CR propagation models. We find that there is a tension between the sub-PeV diffuse gamma-ray and the local CR spectrum. To describe the sub-PeV diffuse gamma-ray flux, it generally requires larger local CR flux than measurement in the knee region. We further calculate the PeV neutrino flux from the CR propagation model. Even all of these sub-PeV diffuse gamma rays originate from the propagation, the Galactic Neutrinos (GNs) only account for less than ~15% of observed flux, most of which are still from extragalactic sources.

  • RESEARCH ARTICLE
    Jinyu Wan , Yi Jiao

    To control the temporal profile of a relativistic electron beam to meet requirements of various advanced scientific applications like free-electron-laser and plasma wakefield acceleration, a widely-used technique is to manipulate the dispersion terms which turns out to be one-to-many problems. Due to their intrinsic one-to-many property, current popular stochastic optimization approaches on temporal shaping may face the problems of long computing time or sometimes suggesting only one solution. Here we propose a real-time solver for one-to-many problems of temporal shaping, with the aid of a semi-supervised machine learning method, the conditional generative adversarial network (CGAN). We demonstrate that the CGAN solver can learn the one-to-many dynamics and is able to accurately and quickly predict the required dispersion terms for different custom temporal profiles. This machine learning-based solver is expected to have the potential for wide applications to one-to-many problems in other scientific fields.

  • RESEARCH ARTICLE
    Xiangli Qian , Huiying Sun , Tianlu Chen , Danzengluobu , Youliang Feng , Qi Gao , Quanbu Gou , Yiqing Guo , Hongbo Hu , Mingming Kang , Haijin Li , Cheng Liu , Maoyuan Liu , Wei Liu , Bingqiang Qiao , Xu Wang , Zhen Wang , Guangguang Xin , Yuhua Yao , Qiang Yuan , Yi Zhang

    The High Altitude Detection of Astronomical Radiation (HADAR) experiment is a refracting terrestrial telescope array based on the atmospheric Cherenkov imaging technique. It focuses the Cherenkov light emitted by extensive air showers through a large aperture water-lens system for observing very-high-energy γ-rays and cosmic rays. With the advantages of a large field-of-view (FOV) and low energy threshold, the HADAR experiment operates in a large-scale sky scanning mode to observe galactic sources. This study presents the prospects of using the HADAR experiment for the sky survey of TeV γ-ray sources from TeVCat and provids a one-year survey of statistical significance. Results from the simulation show that a total of 23 galactic point sources, including five supernova remnant sources and superbubbles, four pulsar wind nebula sources, and 14 unidentified sources, were detected in the HADAR FOV with a significance greater than 5 standard deviations (σ). The statistical significance for the Crab Nebula during one year of operation reached 346.0 σ and the one-year integral sensitivity of HADAR above 1 TeV was ~1.3%–2.4% of the flux from the Crab Nebula.

Publishing model
2

{"submissionFirstDecision":"30","jcrJfStr":"5.3 (2024)","editorEmail":"wangyy@hep.com.cn"}

Downloads

{"submissionFirstDecision":"30","jcrJfStr":"5.3 (2024)","editorEmail":"wangyy@hep.com.cn"}
1

ISSN 2095-0462 (Print)
ISSN 2095-0470 (Online)
CN 11-5994/O4