2023-06-15 2023, Volume 18 Issue 3
  • Cover illustration

    Cover Circuits provide ideal platforms of topological phases and matter, yet the study of topological circuits in the strongly nonlinear regime, has been lacking. We propose and experimentally demonstrate strongly nonlinear topological phases and transitions in one-dimensional electrical circuits composed of nonlinear capacitors. Nonlinear topological interface modes arise on domain walls of the circuit lattices, whose topological phases are controlled by the amplitudes of nonlinear voltage waves. Experimentally measured topological transition amplitudes are in [Detail] ...

    Download cover

  • Select all
  • RESEARCH ARTICLE
    Kai Xu , Han-Jie Zhu , Hao Zhu , Guo-Feng Zhang , Wu-Ming Liu

    How to improve charging processes and suppress self-discharging processes has always been one of the key issues to achieve quantum batteries with high performance. Although a quantum battery is inevitably influenced by composite environments, this situation is still little understood, particularly regarding the influence of the memory effect of the composite environments and the coupling between composite environments. In this work, we investigate the effects of the composite environments, composed of two identical parts each containing a single cavity mode decaying to a reservoir, on the charging and self-discharging processes of a quantum battery. We show that increasing the two-mode coupling can effectively enhance the charging performance (i.e., the stored energy, the charging power, ergotropy) and restrain the self-discharging process (i.e., suppressing the process of dissipating the energy). However, different from the effect of two-mode coupling, we reveal that the memory effect of the reservoir in this composite environment is unfavorable to the charging process of the quantum battery, which is in sharp contrast to previous studies where the memory effect can significantly improve the charging performance of a quantum battery. Our results may benefit to the realization of quantum batteries with high performance under the actual complex environmental noise.

  • RESEARCH ARTICLE
    Tinggui Zhang , Naihuan Jing , Shao-Ming Fei

    The Bell nonlocality is closely related to the foundations of quantum physics and has significant applications to security questions in quantum key distributions. In recent years, the sharing ability of the Bell nonlocality has been extensively studied. The nonlocality of quantum network states is more complex. We first discuss the sharing ability of the simplest bilocality under unilateral or bilateral POVM measurements, and show that the nonlocality sharing ability of network quantum states under unilateral measurements is similar to the Bell nonlocality sharing ability, but different under bilateral measurements. For the star network scenarios, we present for the first time comprehensive results on the nonlocality sharing properties of quantum network states, for which the quantum nonlocality of the network quantum states has a stronger sharing ability than the Bell nonlocality.

  • RESEARCH ARTICLE
    Yuwen Bai , Zijiang Yang , Bayaer Buren , Ye Mao , Maodu Chen

    After the Big Bang, chemical reactions of hydrogen with LiH and its isotopic variants played an important role in the late stage of recombination. Moreover, these reactions have attracted the attention of experts in the field of molecular dynamics because of its simple structure. Electronically non-adiabatic effects play a key role in many chemical reactions, while the related studies in LiH2 reactive system and its isotopic variants are not enough, so the microscopic mechanism of this system has not been fully explored. In this work, the microscopic mechanism of H + LiD reaction are performed by comparing both the adiabatic and non-adiabatic results to study the non-adiabatic effects. The reactivity of R1 (H + LiD → Li + HD) channel is inhibited, while that of R2 (H + LiD → D + LiH) channel is enhanced when the non-adiabatic couplings are considered. For R1 channel, a direct stripping process dominates this channel and the main reaction mechanism is not influenced by the non-adiabatic effects. For R2 channel, at relatively low collision energy, the dominance changes from a rebound process to the complex-forming mechanism when the non-adiabatic effects are considered, whereas the rebound collision approach still dominates the reaction at relatively high collision energy in both calculations. The presented results provide a basis for further detailed study on this importantly astrophysical reaction system.

  • RESEARCH ARTICLE
    Wan-Ting He , Cong-Wei Lu , Yi-Xuan Yao , Hai-Yuan Zhu , Qing Ai

    Because quantum critical systems are very sensitive to the variation of parameters around the quantum phase transition (QPT), quantum criticality has been presented as an efficient resource for metrology. In this paper, we address the issue whether the divergent feature of the inverted variance is realizable in the presence of noise when approaching the QPT. Taking the quantum Rabi model (QRM) as an example, we obtain the analytical result for the inverted variance with single-photon relaxation. We show that the inverted variance may be convergent in time due to the noise. Since the precision of the metrology is very sensitive to the noise, as a remedy, we propose squeezing the initial state to improve the precision under decoherence. In addition, we also investigate the criticality-based metrology under the influence of the two-photon relaxation. Strikingly, although the maximum inverted variance still manifests a power-law dependence on the energy gap, the exponent is positive and depends on the dimensionless coupling strength. This observation implies that the criticality may not enhance but weaken the precision in the presence of two-photon relaxation, due to the non-linearity introduced by the two-photon relaxation.

  • RESEARCH ARTICLE
    Guan-Hua Zuo , Yu-Chi Zhang , Gang Li , Peng-Fei Zhang , Peng-Fei Yang , Yan-Qiang Guo , Shi-Yao Zhu , Tian-Cai Zhang

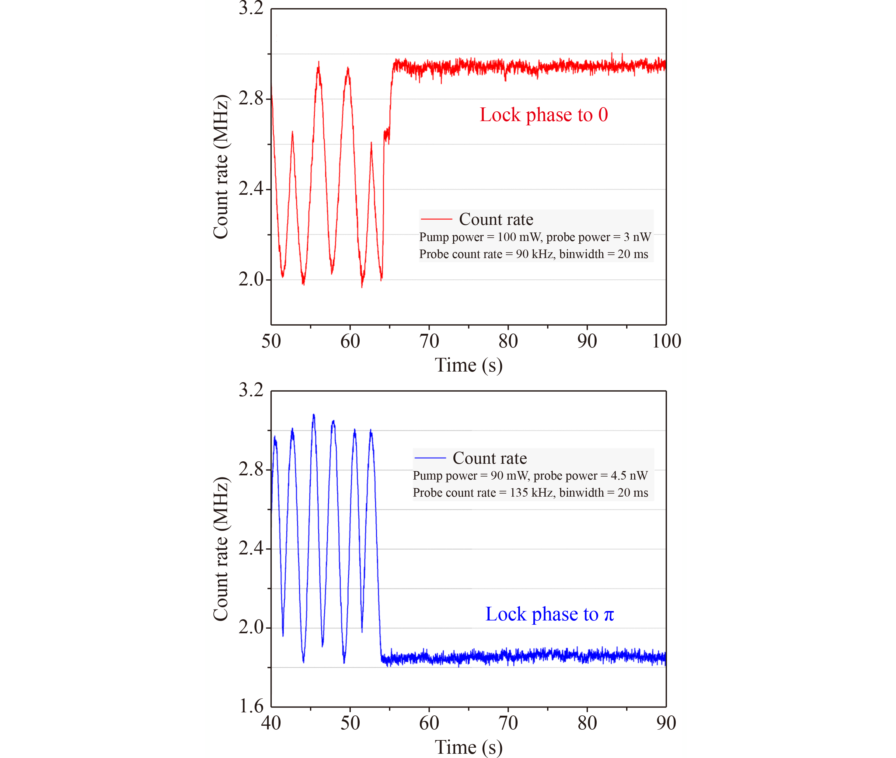
    Generation of squeezed light source is a promising technique to overcome the standard quantum limit in precision measurement. Here, we demonstrate an experimental generation of quadrature squeezing resonating on the cesium D2 line down to 10 Hz for the first time. The maximum squeezing in audio frequency band is 5.57 dB. Moreover, we have presented a single-photon modulation locking to control the squeezing angle, while effectively suppressing the influence of laser noise on low-frequency squeezing. The whole system operates steadily for hours. The generated low-frequency squeezed light source can be applied in quantum metrology, light−matter interaction investigation and quantum memory in the audio frequency band and even below.

  • RESEARCH ARTICLE
    Qiugang Liao , Hao Liu , Ziqiang Chen , Yinggan Zhang , Rui Xiong , Zhou Cui , Cuilian Wen , Baisheng Sa

    With the development of modern electronics, especially the next generation of wearable electromagnetic interference (EMI) shielding materials requires flexibility, ultrathin, lightweight and robustness to protect electronic devices from radiation pollution. In this work, the flexible and ultrathin dopamine modified MXene@cellulose nanofiber (DM@CNF) composite films with alternate multilayer structure have been developed by a facile vacuum filtration induced self-assembly approach. The multilayered DM@CNF composite films exhibit improved mechanical properties compared with the homogeneous DM/CNF film. By adjusting the layer number, the multilayered DM3@CNF2 composite film exhibits a tensile strength of 48.14 MPa and a toughness of 5.28 MJ·m−3 with a thickness about 19 μm. Interestingly that, the DM@CNF film with annealing treatment achieves significant improvement in conductivity (up to 17264 S·m−1) and EMI properties (SE of 41.90 dB and SSE/t of 10169 dB·cm2·g−1), which still maintains relatively high mechanical properties. It is highlighted that the ultrathin multilayered DM@CNF film exhibits superior EMI shielding performance compared with most of the metal-based, carbon-based and MXene-based shielding materials reported in the literature. These results will offer an appealing strategy to develop the ultrathin and flexible MXene-based materials with excellent EMI shielding performance for the next generation intelligent protection devices.

  • RESEARCH ARTICLE
    Yule Zhang , Feng Zhang , Bowen Du , Hualong Chen , S. Wageh , Omar A. Al-Hartomy , Abdullah G. Al-Sehemi , Bin Zhang , Han Zhang

    All-optical switches have arisen great attention due to their ultrafast speed as compared with electric switches. However, the excellent optical properties and strong interaction of two-dimensional (2D) material MXene show great potentials in next-generation all-optical switching. As a solution, we propose all-optical switching used Au/MXene with switching full width at half maximum (FWHM) operating at 290 fs. Compared with pure MXene, the Au/MXene behaves outstanding performances due to local surface plasmon resonance (LSPR), including broadband differential transmission, strong near-infrared on/off ratio enhancement. Remarkably, this study enhances understanding of Au/MXene based ultrafast all-optical switching red-shifted about 34 nm in comparison to MXene, validating all optical properties of Au/MXene opening the way to the implementation of optical interconnection and optical switching.

  • RESEARCH ARTICLE
    Tingting Wang , Zhihao Zang , Yuchen Gao , Kenji Watanabe , Takashi Taniguchi , Wei Bao , Yu Ye

    How to fabricate high-quality microcavities simply and at low cost without causing damage to environmentally sensitive active layers such as perovskites are crucial for the studies of exciton−polaritons, however, it remains challenging in the field of microcavity fabrication. Usually, once the top mirror is deposited, the detuning of the microcavity is fixed and there is no easy way to tune it. Here, we have developed a method for deterministically transferring silver mirrors, which is relatively simple and guarantees the active layer from damaging of high temperature, particle bombardment, etc., during the deposition of the top mirror. Furthermore, with the help of a glass probe, we demonstrate a replaceable silver transfer method to tune the detuning of the microcavity, thereby changing the coupling of photons and excitons therein. The developed deterministic and replaceable silver mirror transfer methods will provide the capability to fabricate high-quality and tunable microcavities and play an active role in the development of the exciton−polariton field.

  • RESEARCH ARTICLE
    Zhiqiang Yang , Yichuan Chen , Jing Li , Chen Lu , Junfang Zhao , Mengtao Sun

    The first successful synthesis of fully fused and fully conjugated Möbius carbon nanobelts (CNBs) has attracted considerable attention. However, theoretical calculations based on such π-conjugated Möbius CNB are still insufficient. Herein, we theoretically investigated molecular spectroscopy of Möbius CNBs without and with n-butoxy groups via visualization methods. The results show that the presence of n-butoxy groups can significantly affect Möbius CNBs’ optical performance, changing electron-hole coherence and enhancing two-photon absorption cross-sections. Our work provides a deeper understanding of photophysical mechanisms of Möbius CNBs in one- and two-photon absorption and reveals possible applications on optoelectronic devices.

  • RESEARCH ARTICLE
    San-Dong Guo , Yu-Ling Tao , Wen-Qi Mu , Bang-Gui Liu

    Spin−orbit coupling (SOC) combined with electronic correlation can induce topological phase transition, producing novel electronic states. Here, we investigate the impact of SOC combined with correlation effects on physical properties of monolayer OsBr2, based on first-principles calculations with generalized gradient approximation plus U (GGA+U) approach. With intrinsic out-of-plane magnetic anisotropy, OsBr2 undergoes threefold topological phase transition with increasing U, and valley-polarized quantum anomalous Hall insulator (VQAHI) to half-valley-metal (HVM) to ferrovalley insulator (FVI) to HVM to VQAHI to HVM to FVI transitions can be induced. These topological phase transitions are connected with sign-reversible Berry curvature and band inversion between \textcolor[RGB]12,108,100dxy/\textcolor[RGB]12,108,100dx2y2 and \textcolor[RGB]12,108,100dz2 orbitals. Due to \textcolor[RGB]12,108,1006¯m2 symmetry, piezoelectric polarization of OsBr2 is confined along the in-plane armchair direction, and only one d11 is independent. For a given material, the correlation strength should be fixed, and OsBr2 may be a piezoelectric VQAHI (PVQAHI), piezoelectric HVM (PHVM) or piezoelectric FVI (PFVI). The valley polarization can be flipped by reversing the magnetization of Os atoms, and the ferrovalley (FV) and nontrivial topological properties will be suppressed by manipulating out-of-plane magnetization to in-plane one. In considered reasonable U range, the estimated Curie temperatures all are higher than room temperature. Our findings provide a comprehensive understanding on possible electronic states of OsBr2, and confirm that strong SOC combined with electronic correlation can induce multiple quantum phase transition.

  • RESEARCH ARTICLE
    Shuhui Yang , Tao Ying

    The coexistence of superconductivity and charge inhomogeneity was observed in many cuprate superconductors. The relationship between those two is still controversial. Similarly, in the graphene sheets of the intercalated graphitic superconductor CaC6, the charge inhomogeneity was also observed. We simulate such a system by constructing the Hubbard model on the honeycomb lattice with charge inhomogeneity imposed by force. Utilizing the finite-temperature determinant quantum Monte Carlo algorithm, we examine the relationship between the superconducting pairing and the charge inhomogeneity. An optimal charge inhomogeneity for the d+id-wave pairing is found. While for other artificial charge inhomogeneities, the d+id-wave pairing is monotonically suppressed. The possible π-phase shift induced by charge inhomogeneity is also examined.

  • RESEARCH ARTICLE
    Bo Wen , Da-Ning Luo , Ling-Long Zhang , Xiao-Lin Li , Xin Wang , Liang-Liang Huang , Xi Zhang , Dong-Feng Diao

    Interface engineering in atomically thin transition metal dichalcogenides (TMDs) is becoming an important and powerful technique to alter their properties, enabling new optoelectronic applications and quantum devices. Interface engineering in a monolayer WSe2 sample via introduction of high-density edges of standing structured graphene nanosheets (GNs) is realized. A strong photoluminescence (PL) emission peak from intravalley and intervalley trions at about 750 nm is observed at the room temperature, which indicated the heavily p-type doping of the monolayer WSe2/thin graphene nanosheet-embedded carbon (TGNEC) film heterostructure. We also successfully triggered the emission of biexcitons (excited state biexciton) in a monolayer WSe2, via the electron trapping centers of edge quantum wells of a TGNEC film. The PL emission of a monolayer WSe2/GNEC film is quenched by capturing the photoexcited electrons to reduce the electron-hole recombination rate. This study can be an important benchmark for the extensive understanding of light–matter interaction in TMDs, and their dynamics.

  • RESEARCH ARTICLE
    Yanyan Li , Mingjun Yang , Yanan Lu , Dan Cao , Xiaoshuang Chen , Haibo Shu

    Van der Waals semiconductor heterostructures (VSHs) composed of two or more two-dimensional (2D) materials with different band gaps exhibit huge potential for exploiting high-performance multifunctional devices. The application of 2D VSHs in atomically thin devices highly depends on the control of their carrier type and density. Herein, on the basis of comprehensive first-principles calculations, we report a new strategy to manipulate the doping polarity and carrier density in a class of 2D VSHs consisting of atomically thin transition metal dichalcogenides (TMDs) and α-In2X3 (X = S, Se) ferroelectrics via switchable polarization field. Our calculated results indicate that the band bending of In2X3 layer driven by the FE polarization can be utilized for engineering the band alignment and doping polarity of TMD/In2X3 VSHs, which enables us to control their carrier density and type of the VSHs by the orientation and magnitude of local FE polarization field. Inspired by these findings, we demonstrate that doping-free p−n junctions achieved in MoTe2/In2Se3 VSHs exhibit high carrier density (1013−1014 cm−2), and the inversion of the VHSs from n−p junctions to p−i−n junctions has been realized by the polarization switching from upward to downward states. This work provides a nonvolatile and nondestructive doping strategy for obtaining programmable p−n van der Waals (vdW) junctions and opens the possibilities for self-powered and multifunctional device applications.

  • RESEARCH ARTICLE
    Yuchen Cai , Jia Yang , Feng Wang , Shuhui Li , Yanrong Wang , Xueying Zhan , Fengmei Wang , Ruiqing Cheng , Zhenxing Wang , Jun He

    Detection of solar-blind ultraviolet (SB-UV) light is important in applications like confidential communication, flame detection, and missile warning system. However, the existing SB-UV photodetectors still show low sensitivities. In this work, we demonstrate the extraordinary SB-UV detection performance of α-In2Se3 phototransistors. Benefiting from the coupled semiconductor and ferroelectricity property, the phototransistor has an ultraweak detectable power of 17.85 fW, an ultrahigh gain of 1.2 × 106, a responsivity of 2.6 × 105 A/W, a detectivity of 1.3 × 1016 Jones and an ultralow noise-equivalent-power of 4.2 × 10−20 W/Hz1/2 for 275 nm light. Its performance exceeds most other UV detectors, even including commercial photomultiplier tubes and avalanche photodiodes. It can be also implemented as an optoelectronic synapse for neuromorphic computing. A 784×300×10 artificial neural network (ANN) based on this optoelectronic synapse is constructed and demonstrated with a high recognition accuracy and good noise-tolerance for the Fashion-MNIST dataset. These extraordinary features endow this phototransistor with the potential for constructing advanced SB-UV detectors and intelligent hardware.

  • RESEARCH ARTICLE
    Yuting Tan , Dao-Xin Yao

    We investigate the effects of long-range interactions on the spin wave spectra and the competition between magnetic phases on a frustrated square lattice with large spin S. Applying the spin wave theory and assisted with symmetry analysis, we obtain analytical expressions for spin wave spectra of competing Neel and (π, 0) stripe states of systems containing any-order long-range interactions. In the specific case of long-range interactions with power-law decay, we find surprisingly that the staggered long-range interaction suppresses quantum fluctuation and enlarges the ordered moment, especially in the Neel state, and thus extends its phase boundary to the stripe state. Our findings illustrate the rich possibilities of the roles of long-range interactions, and advocate future investigations in other magnetic systems with different structures of interactions.

  • RESEARCH ARTICLE
    Gaoyang Li , Fuming Xu , Jian Wang

    We numerically investigate magnon-mediated spin transport through nonmagnetic metal/ferromagnetic insulator (NM/FI) heterostructures in the presence of Anderson disorder, and discover universal behaviors of the spin conductance in both one-dimensional (1D) and 2D systems. In the localized regime, the variance of logarithmic spin conductance σ2(lnGT) shows a universal linear scaling with its average ⟨lnGT⟩, independent of Fermi energy, temperature, and system size in both 1D and 2D cases. In 2D, the competition between disorder-enhanced density of states at the NM/FI interface and disorder-suppressed spin transport leads to a non-monotonic dependence of average spin conductance on the disorder strength. As a result, in the metallic regime, average spin conductance is enhanced by disorder, and a new linear scaling between spin conductance fluctuation rms(GT) and average spin conductance GT is revealed which is universal at large system width. These universal scaling behaviors suggest that spin transport mediated by magnon in disordered 2D NM/FI systems belongs to a new universality class, different from that of charge conductance in 2D normal metal systems.

  • RESEARCH ARTICLE
    Jijie Tang , Fangyuan Ma , Feng Li , Honglian Guo , Di Zhou

    Circuits provide ideal platforms of topological phases and matter, yet the study of topological circuits in the strongly nonlinear regime, has been lacking. We propose and experimentally demonstrate strongly nonlinear topological phases and transitions in one-dimensional electrical circuits composed of nonlinear capacitors. Nonlinear topological interface modes arise on domain walls of the circuit lattices, whose topological phases are controlled by the amplitudes of nonlinear voltage waves. Experimentally measured topological transition amplitudes are in good agreement with those derived from nonlinear topological band theory. Our prototype paves the way towards flexible metamaterials with amplitude-controlled rich topological phases and is readily extendable to two and three-dimensional systems that allow novel applications.

  • TOPICAL REVIEW
    Tao Zhu , Yao Zhang , Xin Wei , Man Jiang , Hua Xu

    Single-element two-dimensional (2D) tellurium (Te) which possesses an unusual quasi-one-dimensional atomic chain structure is a new member in 2D materials family. 2D Te possesses high carrier mobility, wide tunable bandgap, strong light-matter interaction, better environmental stability, and strong anisotropy, making Te exhibit tremendous application potential in next-generation electronic and optoelectronic devices. However, as an emerging 2D material, the research on fundamental property and device application of Te is still in its infancy. Hence, this review summarizes the most recent research progresses about the new star 2D Te and discusses its future development direction. Firstly, the structural features, basic physical properties, and various preparation methods of 2D Te are systemically introduced. Then, we emphatically summarize the booming development of 2D Te-based electronic and optoelectronic devices including field effect transistors, photodetectors and van der Waals heterostructure photodiodes. Finally, the future challenges, opportunities, and development directions of 2D Te-based electronic and optoelectronic devices are prospected.

  • TOPICAL REVIEW
    Junchao Hu , Xinglin Wen , Dehui Li

    The optical properties of two-dimensional (2D) perovskites recently receive numerous research focus thanks to the strong quantum and dielectric confinement effects. In addition to the strong excitonic effect at room temperature, 2D perovskites also have appealing features that their optical properties can be flexibly tuned by alternating organic or inorganic layers. Particularly, 2D chiral perovskites and 2D perovskites based heterostructures are emerging as new platforms to extend their functionalities. To optimize performance of 2D perovskites-based optoelectronic devices, it is critical to understand the fundamentals and explore the strategies to engineer their optical properties. This review begins with an introduction to the excitons and self-trapped excitons of 2D perovskites. Subsequently, inorganic/organic layer effects on optical properties and 2D perovskites based heterostructures are discussed. We also discussed the nonlinear optical properties of 2D perovskite. We are looking forward to that this review can stimulate more efforts to understand and optimize the optical properties of 2D perovskites.

Publishing model
2

{"submissionFirstDecision":"30","jcrJfStr":"5.3 (2024)","editorEmail":"wangyy@hep.com.cn"}

Downloads

{"submissionFirstDecision":"30","jcrJfStr":"5.3 (2024)","editorEmail":"wangyy@hep.com.cn"}
1

ISSN 2095-0462 (Print)
ISSN 2095-0470 (Online)
CN 11-5994/O4