2024-12-15 2024, Volume 19 Issue 6
  • Cover illustration

    Laser-induced breakdown spectroscopy (LIBS) is a spectroscopic analytic technique with great potentials because of its unique advantages for fast, online, and in situ measurement. The quantification results of traditional physical principle-based calibration model are unsatisfactory since these models were not able to compensate for complicate matrix effects as well as signal fluctuation. Machine learning can intelligently correlate complex LIBS spectral data with analysis results, it can realize data preprocessing such as spectral selection, variable reconstructi [Detail] ...

    Download cover

  • Select all
  • RESEARCH ARTICLE
    Guoling Yin , Chi-Kin Lai , Nana Chang , Yi Liang , Dekai Mao , Xiaoji Zhou

    Advancements in the experimental toolbox of cold atoms have enabled the meticulous control of atomic Bloch oscillation (BO) within optical lattices, thereby enhancing the capabilities of gravity interferometers. This work delves into the impact of thermal effects on Bloch oscillation in 1D accelerated optical lattices aligned with gravity by varying the system’s initial temperature. Through the application of Raman cooling, we effectively reduce the longitudinal thermal effect, stabilizing the longitudinal coherence length over the timescale of its lifetime. The atomic losses over multiple Bloch periods are measured, which are primarily attributed to transverse excitation. Furthermore, we identify two distinct inverse scaling behaviors in the oscillation lifetime scaled by the corresponding density with respect to temperatures, implying diverse equilibrium processes within or outside the Bose−Einstein condensate (BEC) regime. The competition between the system’s coherence and atomic density leads to a relatively smooth variation in the actual lifetime versus temperature. Our findings provide valuable insights into the interaction between thermal effects and BO, offering avenues for the refinement of quantum measurement technologies.

  • TOPICAL REVIEW
    Shangyong Zhao , Yuchen Zhao , Yujia Dai , Ziyuan Liu , Huihui Zha , Xun Gao

    The simplicity and low-cost way to improve qualitative and quantitative analytical performance has always been a crucial concern for laser-induced breakdown spectroscopy (LIBS), and many scientists have been engaged in this evolving research direction. In this review, we investigated an update on recent developments in light-field modulated operation in LIBS. It covered a brief description of LIBS, optical polarization, and beam shaping. Here, the optical polarization is divided into laser beam polarization and plasma polarization. In addition, the methodology and development of light-field modulated LIBS were summarized and discussed. Finally, the existing problems with light-field modulated LIBS were presented, along with some of their own insights and the future direction of their development. This review will provide a guideline for LIBS researchers with basic knowledge, which is very useful in the signal optimization of LIBS research and applications.

  • TOPICAL REVIEW
    Zhongqi Hao , Ke Liu , Qianlin Lian , Weiran Song , Zongyu Hou , Rui Zhang , Qianqian Wang , Chen Sun , Xiangyou Li , Zhe Wang

    Laser-induced breakdown spectroscopy (LIBS) is a spectroscopic analytic technique with great application potential because of its unique advantages for online/in-situ detection. However, due to the spatially inhomogeneity and drastically temporal varying nature of its emission source, the laser-induced plasma, it is difficult to find or hard to generate an appropriate spatiotemporal window for high repeatable signal collection with lower matrix effects. The quantification results of traditional physical principle based calibration model are unsatisfactory since these models were not able to compensate for complicate matrix effects as well as signal fluctuation. Machine learning is an emerging approach, which can intelligently correlated the complex LIBS spectral data with its qualitative or/and quantitative composition by establishing multivariate regression models with greater potential to reduce the impacts of signal fluctuation and matrix effects, therefore achieving relatively better qualitative and quantitative performance. In this review, the progress of machine learning application in LIBS is summarized from two main aspects: i) Pre-processing data for machine learning model, including spectral selection, variable reconstruction, and denoising to improve qualitative/quantitative performance; ii) Machine learning methods for better quantification performance with reduction of the impact of matrix effect as well as LIBS spectra fluctuations. The review also points out the issues that researchers need to address in their future research on improving the performance of LIBS analysis using machine learning algorithms, such as restrictions on training data, the disconnect between physical principles and algorithms, the low generalization ability and massive data processing ability of the model.

  • TOPICAL REVIEW
    Jinxiu Liu , Zhenghan Peng , Chao Tan , Lei Yang , Ruodan Xu , Zegao Wang

    Single-photon detections (SPDs) represent a highly sensitive light detection technique capable of detecting individual photons at extremely low light intensity levels. This technology mainly relies on the mainstream SPDs, such as photomultiplier tubes (PMTs), avalanche photodiodes (SAPD), superconducting nanowire single-photon detectors (SNSPDs), superconducting transition-edge sensor (TES), and hybrid lead halide perovskite. However, the complexity and high manufacturing cost, coupled with the requirement of special conditions like a low-temperature environment, pose significant challenges to the wide adoption of SPDs. To address the challenges faced by SPDs, significant efforts have been devoted to enhancing their performance. In this review, we first summarize the principles and technical challenges of several SPDs. Conductors, superconductors, semiconductors, 3D bulk materials, 2D film materials, 1D nanowires, and 0D quantum dots have all been discussed for single-photon detectors. Methods such as special optical structure, waveguide integration, and strain engineering have been employed to elevate the performance of single-photon detectors. These techniques enhance light absorption and modulate the band structure of the material, thereby improving the single-photon sensitivity. By providing an overview of the current situation and future challenges of SPDs, this review aims to propose potential solutions for photon detection technology.

  • RESEARCH ARTICLE
    Haoyu Dong , Songyang Li , Shuo Mi , Jianfeng Guo , Zhaxi Suonan , Hanxiang Wu , Yanyan Geng , Manyu Wang , Huiwen Xu , Li Guan , Fei Pang , Wei Ji , Rui Xu , Zhihai Cheng

    The van der Waals interface structures and behaviors are of great importance in determining the physical properties of two-dimensional atomic crystals and their heterostructures. The delicate interfacial properties are sensitively dependent on the mechanical behaviors of atomically thin films under external strain. Here, we investigated the strain-engineered rippling structures at the CVD-grown bilayer-MoS2 interface with advanced atomic force microscopy (AFM). The in-plane compressive strain is sequentially introduced into the 1L-substrate and 2L-1L interface of bilayer-MoS2 flakes via a fast-cooling process. The thermal strain-engineered rippling structures were directly visualized at the central 2H- and 3R-MoS2 bilayer regions with friction force microscopy (FFM) and bimodal AFM techniques. These rippling structures can be further artificially manipulated into the beating-like rippling features and fully erased via the contact mode AFM scanning. Our results shed lights on the strain-engineered interfacial structures of two-dimensional materials and also inspire the further investigation on the interface engineering of their electronic and optical properties.

  • RESEARCH ARTICLE
    Yue-Yue Chang , Jun-Qing Cheng , Hui Shao , Dao-Xin Yao , Han-Qing Wu

    We investigate the magnetic excitations of the two-dimensional (2D) S = 1/2 trimerized Heisenberg models with intratrimer interaction J1 and intertrimer interaction J2 on four different lattices using a combination of stochastic series expansion quantum Monte Carlo (SSE QMC) and stochastic analytic continuation methods (SAC), complemented by cluster perturbation theory (CPT). These models exhibit quasi-particle-like excitations when g= J2/J 1 is weak, characterized by low-energy magnons, intermediate-energy doublons, and high-energy quartons. The low-energy magnons are associated with the magnetic ground states. They can be described by the linear spin wave theory (LSWT) of the effective block spin model and the original spin model. Doublons and quartons emerge from the corresponding internal excitations of the trimers with distinct energy levels, which can be effectively analyzed using perturbative calculation when the ratio of exchange interactions g is weak. In this weak g regime, we observe a clear separation between the magnon and higher-energy spectra. As g increases, doublon and quarton gradually merge into the magnon modes or some continua. Notably, in the Collinear II and trimerized Hexagon lattice, a broad continuum emerges above the single-magnon spectrum, originating from the quasi-1D physics due to the dilute connections between chains. In addition, we also compare our numerical results to the experimental RIXS spectrum and analyze the difference. Our numerical analysis of these 2D trimers yields valuable theoretical predictions and explanations for the inelastic neutron scattering (INS) spectra of 2D magnetic materials featuring trimerized lattices.

  • RESEARCH ARTICLE
    Subaek Lee , Juri Kim , Sungjun Kim

    The emerging nonvolatile memory, three-dimensional vertical resistive random-access memory (VRRAM), inspired by the vertical NAND structure, has been proposed to replace NAND flash memory which has reached its integration limit. To improve the vertical ionic diffusion occurring in the conventional VRRAM structure, we propose a Pt/HfO2/TiO2/Ti self-aligned VRRAM with physically confined switching cells through sidewall thermal oxidation. We achieved stable bipolar switching, endurance (>104 cycles), and retention (>104 s) responses, and improved the interlayer leakage current issue through a distinctive self-aligned structure. Additionally, we elucidated the switching mechanism by analyzing current levels concerning ambient temperature. To utilize VRRAM for neuromorphic computing, the biological synaptic functions are emulated by applying pulse stimulation to the synaptic cell. The weight modulation of biological synapses is demonstrated based on potentiation, depression, spike-rate-dependent plasticity, and spike-timing-dependent plasticity. Additionally, we improve the pattern recognition rate by creating a linear conductance modulation with an incremental pulse train in pattern recognition simulations. The stable electrical characteristics and implementation of various synaptic functions demonstrate that self-aligned VRRAM is suitable for neuromorphic systems as a high-density synaptic device.

  • RESEARCH ARTICLE
    Xingjia Cheng , Wen Xu , Hua Wen , Jing Zhang , Heng Zhang , Haowen Li , Francois M. Peeters

    Bilayer (BL) transition metal dichalcogenides (TMDs) are important materials in valleytronics and twistronics. Here we study terahertz (THz) magneto-optical (MO) properties of n-type 2H-stacking BL molybdenum sulfide (MoS2) on sapphire substrate grown by chemical vapor deposition. The AFM, Raman spectroscopy and photoluminescence are used for characterization of the samples. Applying THz time-domain spectroscopy (TDS), in combination with polarization test and the presence of magnetic field in Faraday geometry, THz MO transmissions through the sample are measured from 0 to 8 T at 80 K. The complex right- and left-handed circular MO conductivities for 2H-stacking BL MoS2 are obtained. Through fitting the experimental results with theoretical formula of MO conductivities for an electron gas, generalized by us previously through the inclusion of photon-induced electronic backscattering effect, we are able to determine magneto-optically the key electronic parameters of BL MoS2, such as the electron density ne, the electronic relaxation time τ, the electronic localization factor c and, particularly, the effective electron mass m around Q-point in between the K- and Γ-point in the electronic band structure. The dependence of these parameters upon magnetic field is examined and analyzed. This is a pioneering experimental work to measure m around the Q-point in 2H-stacking BL MoS2 and the experimental value is very close to that obtained theoretically. We find that ne/τ / c/m in 2H-stacking BL MoS2 decreases/increases/decreases/increases with increasing magnetic field. The results obtained from this study can be benefit to us in gaining an in-depth understanding of the electronic and optoelectronic properties of BL TMD systems.

  • RESEARCH ARTICLE
    Desheng Cai , Yumin Xia , Pengju Li , Kun Xie , Yuzhou Liu , Yitong Gu , Gan Yu , Changgan Zeng , Ping Cui , Shengyong Qin

    Cobalt pnictides have been theoretically proposed to be attractive candidates for high-temperature superconductors. Additionally, monolayered CoX (X = As, Sb, Bi) on SrTiO3 systems present a potential new platform for realizing topological superconductors in the two-dimensional limit, due to their nontrivial band topology. To this end, we have successfully fabricated high-quality CoBi nanoislands on SrTiO3 (001) substrates by molecular beam epitaxy followed by an investigation of their atomic structure and electronic properties via in situ scanning tunneling microscopy/spectroscopy. Beyond the previously predicted lattice with a = b = 3.5 Å, 2 × 1 dimer row was observed in this study. Furthermore, our results reveal that the topography of CoBi islands is strongly influenced by various growth conditions, such as substrate temperature, the flux ratio between Co and Bi, and the annealing process. This study paves the way for further explorations of the superconductivity and topological properties of cobalt pnictide systems.

  • RESEARCH ARTICLE
    Imran Khan , Jisang Hong

    In spintronics, transverse anomalous transport properties have emerged as a highly promising avenue surpassing the conventional longitudinal transport behaviors. Here, we explore the transverse transport properties of monolayer and bilayer Fe3−xCoxGaTe2 (x = 0.083, 0.167, 0.250, and 0.330) systems. All the systems exhibit ferromagnetic ground states with metallic features and also have perpendicular magnetic anisotropy. Besides, the magnetic anisotropy is substantially enhanced with increasing Co-doping concentration. However, unlike magnetic anisotropy, the Curie temperature is suppressed by increasing the Co-doping concentration. For instance, the monolayer and bilayer Fe2.917Co0.083GaTe2 hold a Curie temperature of 253 K and 269 K, which decreases to 163 K and 173 K in monolayer and bilayer Fe2.67Co0.33GaTe2 systems, respectively. We find a giant anomalous Nernst conductivity (ANC) of 6.03 A/(K·m) in the monolayer Fe2.917Co0.083GaTe2 at −30 meV, and this is further enhanced to 11.30 A/(K·m) in the bilayer Fe2.917Co0.083GaTe2 at −20 meV. Moreover, the bilayer Fe2.917Co0.083GaTe2 structure has a large anomalous thermal Hall conductivity (ATHC) of −0.14 W/(K·m) at 100 K. Overall, we find that the Fe3−xCoxGaTe2 (x = 0.083, 0.167, 0.250, and 0.330) structures have better anomalous transverse transport performance than the pristine Fe3GaTe2 system and can be used for potential spintronics and spin caloritronics applications.

  • RESEARCH ARTICLE
    Yi Ding , Yanli Wang

    As the homologous compounds of MoSi2N4, the MoSi2N4(MoN)n monolayers have been synthesized in a recent experiment. These systems consist of homogeneous metal nitride multilayers sandwiched between two SiN surfaces, which extends the septuple-atomic-layer MSi2N4 system to ultra-thick MSi2N4(MN)n forms. In this paper, we perform a first-principles study on the MoSi2N4(FeN) monolayer, which is constructed by iron molybdenum nitride intercalated into the SiN layers. As a cousin of MoSi2N4(MoN), this double transition-metal system exhibits robust structural stability from the energetic, mechanical, dynamical and thermal perspectives. Different from the MoSi2N4(MoN) one, the MoSi2N4(FeN) monolayer possesses intrinsic ferromagnetism and presents a bipolar magnetic semiconducting behaviour. The ferromagnetism can be further enhanced by the surface hydrogenation, which raises the Curie temperature to 310 K around room temperature. More interestingly, the hydrogenated MoSi2N4(FeN) monolayer exhibits a quantum anomalous Hall (QAH) insulating behaviour with a sizeable nontrivial band gap of 0.23 eV. The nontrivial topological character can be well described by a two-band kp model, confirming a non-zero Chern number of C= 1. Similar bipolar magnetic semiconducting feature and hydrogenation-induced QAH state are also present in the WSi2N4(FeN) monolayer. Our study demonstrates that the double transition-metal MSi2N4( MN) system will be a fertile platform to achieve fascinating spintronic and topological properties.

  • LETTER
    Julienne Impundu , Wenxiang Wang , Zheng Wei , Yushi Xu , Yu Wang , Jiawang You , Wenbin Huang , Yong Jun Li , Lianfeng Sun

    Carbon nanotubes (CNTs) have garnered significant attention due to their remarkable electronic and magnetic properties. In this research, we introduced multiwalled carbon nanotubes covered with tantalum (MWNTs/Ta) to systematically modulate the magnetoresistive properties of the MWNTs/Ta hybrid nanostructures. We observed distinct changes in both positive and negative magnetoresistances of MWNTs/Ta across a broad temperature range using a physical property measurement system and a four-terminal method. This study on temperature-dependent magnetoresistive behavior of the MWNTs/Ta sheds light on the fundamental properties of carbon-based materials and holds promise for practical applications in the field of spintronic devices.

  • LETTER
    Xuqi Li , Xuyan Chen , Shiyang Sun , Huihui Zhang , Haidan Sang , Xiaonan Wang , Shifei Qi , Zhenhua Qiao

    The exploration of magnetism in two-dimensional layered materials has attracted extensive research interest. For the monoclinic phase CrI3 with interlayer antiferromagnetism, finding a static and robust way of realizing the intrinsic interlayer ferromagnetic coupling is desirable. In this work, we study the electronic structure and magnetic properties of the nonmagnetic element (e.g., O, S, Se, N, P, As, and C) doped bi- and triple-layer CrI3 systems via first-principles calculations. Our results demonstrate that O, P, S, As, and Se doped CrI3 bilayer can realize interlayer ferromagnetism. Further analysis shows that the interlayer ferromagnetic coupling in the doped few-layer CrI3 is closely related to the formation of localized spin-polarized state around the doped elements. Further study presents that, for As-doped tri-layer CrI3, it can realize interlayer ferromagnetic coupling. This work proves that nonmagnetic element doping can realize the interlayer ferromagnetically-coupled few-layer CrI3 while maintaining its semiconducting characteristics without introducing additional carriers.

  • LETTER
    Yu Guo , Yang Zhao , Qiao Ling , Si Zhou , Jijun Zhao

    Cluster-assembled materials have long been pursued as they can create some unprecedented and desirable properties. Herein, we assemble a class of one-dimensional (1D) ReNX4 (X = F, Cl, Br and I) and MF5 (M = V, Nb and Ta) nanowires by covalently linking their superatomic clusters. These assembled 1D nanowires exhibit outstanding energetic and dynamic stabilities, and hold sizable spontaneous polarization, low ferroelectric switching barriers and high critical temperature. Their superior ferroelectricity is originated from d0-configuration transition metal ions generated by the hybridization of empty d orbitals of metal atoms and p orbitals of non-metal atoms. These critical insights pave a new avenue to fabricate 1D ferroelectrics toward the development of miniaturized and high-density electronic devices using building blocks as cluster with precise structures and functionalities.

  • TOPICAL REVIEW
    Jiangtong Su , Xiaoqi Hou , Ning Dai , Yang Li

    Localized surface plasmon resonance (LSPR) is an intriguing phenomenon that can break diffraction limitations and exhibit excellent light-confinement abilities, making it an attractive strategy for enhancing the light absorption capabilities of photodetectors. However, the complex mechanism behind this enhancement is still plaguing researchers, especially for hot-electron injection process, which inhibits further optimization and development. A clear guideline for basic physical model, enhancement mechanism, material selection and architectural design for LSPR photodetector are still required. This review firstly describes the mainstream understanding of fundamental physical modes of LSPR and related enhancement mechanism for LSPR photodetectors. Then, the universal strategies for tuning the LSPR frequency are introduced. Besides, the state-of-the-art progress in the development of LSPR photodetectors is briefly summarized. Finally, we highlight the remaining challenges and issues needed to be resolved in the future research.

  • RESEARCH ARTICLE
    Zhi-Jun Li , Ming-Kuan Yuan , Yun-Xuan Song , Yan-Gu Li , Jing-Shu Li , Sheng-Sen Sun , Xiao-Long Wang , Zheng-Yun You , Ya-Jun Mao

    Modern particle physics experiments usually rely on highly complex and large-scale spectrometer devices. In high energy physics experiments, visualization helps detector design, data quality monitoring, offline data processing, and has great potential for improving physics analysis. In addition to the traditional physics data analysis based on statistical methods, visualization provides unique intuitive advantages in searching for rare signal events and reducing background noises. By applying the event display tool to several physics analyses in the BESIII experiment, we demonstrate that visualization can benefit potential physics discovery and improve the signal significance. With the development of modern visualization techniques, it is expected to play a more important role in future data processing and physics analysis of particle physics experiments.

  • RESEARCH ARTICLE
    Jin-Man Chen , Ze-Rui Liang , De-Liang Yao

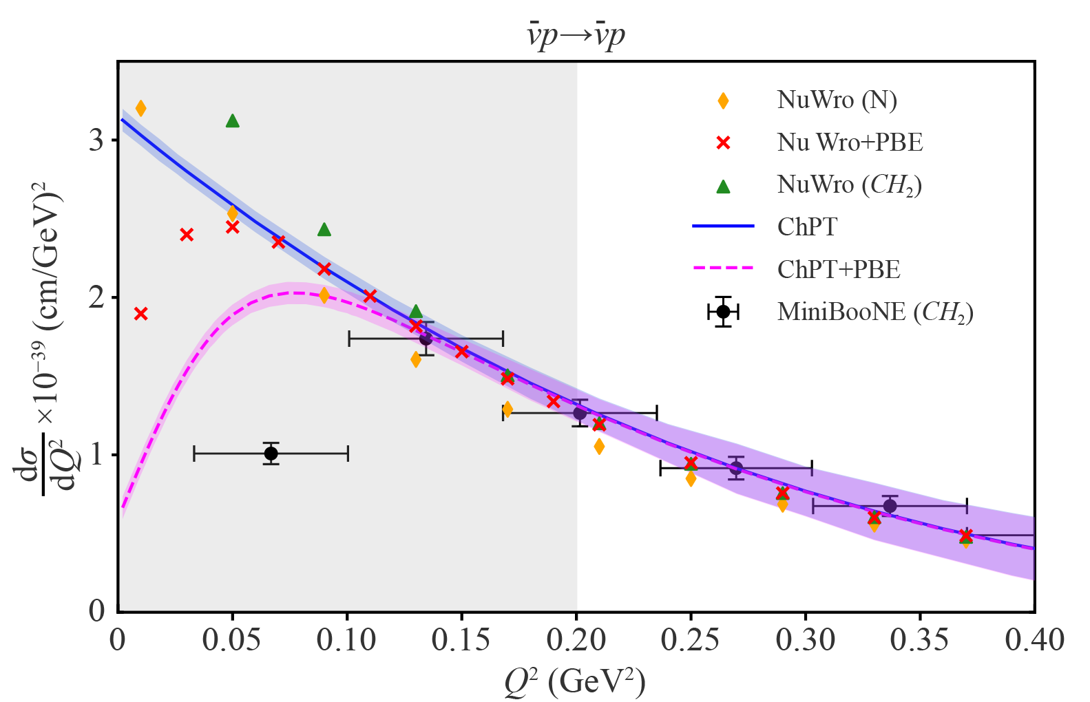
    The low-energy antineutrino- and neutrino−nucleon neutral current elastic scattering is studied within the framework of the relativistic SU(2) baryon chiral perturbation theory up to the order of O (p 3). We have derived the model-independent hadronic amplitudes and extracted the form factors from them. It is found that differential cross sections d σ/d Q2 for the processes of (anti)neutrino−proton scattering are in good agreement with the existing MiniBooNE data in the Q2 region [ 0.13,0.20] GeV2, where nuclear effects are expected to be negligible. For Q2 0.13 GeV2, large deviation is observed, which is mainly owing to the sizeable Pauli blocking effect. Comparisons with the simulation data produced by the NuWro and GENIE Mento Carlo events generators are also discussed. The chiral results obtained in this work can be utilized as inputs in various nuclear models to achieve the goal of precise determination of the strangeness axial vector form factor, in particular when the low-energy MicroBooNE data are available in the near future.

  • RESEARCH ARTICLE
    Hao-Xiang Pan , De-Kai Kong , Qiao-Yi Wen , Shao-Zhou Jiang

    The values of the low-energy constants (LECs) are very important in the chiral perturbation theory. This paper adopts a Bayesian method with the truncation errors to globally fit eight next-to-leading order (NLO) LECs Li r and next-to-next-leading order (NNLO) LECs Cir. With the estimation of the truncation errors, the fitting results of Lir in the NLO and NNLO are very close. The posterior distributions of Cir indicate the boundary-dependent relations of these C ir. Ten C ir are weakly dependent on the boundaries and their values are reliable. The other C ir are required more experimental data to constrain their boundaries. Some linear combinations of C ir are also fitted with more reliable posterior distributions. If one knows some more precise values of C ir, some other C ir can be obtained by these values. With these fitting LECs, most observables provide a good convergence, except for the πK scattering lengths a 03/2 and a01 /2. An example is also introduced to test the improvement of the method. All the computations indicate that considering the truncation errors can improve the global fit greatly, and more prior information can obtain better fitting results. This fitting method can be extended to the other effective field theories and the perturbation theory.

Publishing model
2

{"submissionFirstDecision":"30","jcrJfStr":"5.3 (2024)","editorEmail":"wangyy@hep.com.cn"}

Downloads

{"submissionFirstDecision":"30","jcrJfStr":"5.3 (2024)","editorEmail":"wangyy@hep.com.cn"}
1

ISSN 2095-0462 (Print)
ISSN 2095-0470 (Online)
CN 11-5994/O4