2014-08-26 2014, Volume 9 Issue 4
  • Cover illustration

    A Peltier nano cooling device is proposed based on the self-doping properties of curved graphene nanoribbons, without need of gating or chemical doping. Its cooling power can be reversibly tuned by applying uniaxial pressure to the device. Upon application of a current through the GNR, heat is pumped from the junctions near the bottom of the structure to the junctions near the top. With a cooling power on the order of kW/cm2, on par with the best cooling devices based on using standard superlattice structures, the proposed cooling device helps pave [Detail] ...


  • Select all
  • REVIEW ARTICLE
    Zhe Wang , Ting-Bi Yuan , Zong-Yu Hou , Wei-Dong Zhou , Ji-Dong Lu , Hong-Bin Ding , Xiao-Yan Zeng

    Laser-induced breakdown spectroscopy (LIBS) has been regarded as a future superstar for chemical analysis for years due to its unique features such as little or no sample preparation, remote sensing, and fast and multi-element analysis. Chinese LIBS community is one of the most dynamically developing communities in the World. The aim of the work is to inspect what have been done in China for LIBS development and, based on the understanding of the overall status, to identify the challenges and opportunities for the future development. In this paper, the scientific contributions from Chinese LIBS community are reviewed for the following four aspects: fundamentals, instrumentation, data processing and modeling, and applications; and the driving force of LIBS development in China is analyzed, the critical issues for successful LIBS application are discussed, and in our opinion, the potential direction to improve the technology and to realize large scale commercialization in China is proposed.

  • RESEARCH ARTICLE
    Zhi-Bo Ni , Xing-Long Chen , Hong-Bo Fu , Jing-Ge Wang , Feng-Zhong Dong

    To reduce the influence of laser-induced breakdown spectroscopy (LIBS) experimental parameter fluctuations to quantitative analysis of slag components, a normalization method using integral intensity of plasma image was proposed and a series of experiments with slag samples were performed. Mg II 279.55 nm, Ca II 396.85 and Ca I 422.67 nm were selected as analytical lines, and analytical curves of reference mass fractions versus spectral line intensities were established. With the increment of set threshold for edge extraction of plasma image, the determination coefficients and relative standard deviations of analytical curves were improved gradually and reached the optimum values when the threshold was equal to 10 000. Comparing with the results without normalization and normalized by whole spectrum area, the relativity between spectral line intensity and mass fraction can be enhanced efficiently after normalized by integral intensity of plasma image. The verification experiments with Ti alloy samples further confirmed the conclusions mentioned above.

  • RESEARCH ARTICLE
    Halqem Nizamidin , Abduwali Anwar , Sayipjamal Dulat , Kang Li

    We study the noncommutative nonrelativistic quantum dynamics of a neutral particle, which possesses an electric qaudrupole moment, in the presence of an external magnetic field. First, by introducing a shift for the magnetic field, we give the Schrödinger equations in the presence of an external magnetic field both on a noncommutative space and a noncommutative phase space, respectively. Then by solving the Schrödinger equations both on a noncommutative space and a noncommutative phase space, we obtain quantum phases of the electric quadrupole moment, respectively. We demonstrate that these phases are geometric and dispersive.

  • RESEARCH ARTICLE
    Kai-Min Zheng , Shi-You Liu , Hao-Liang Zhang , Cun-Jin Liu , Li-Yun Hu

    Using the technique of integration within an ordered product of operators we construct a generalized two-mode entangled state, which can be generated by an asymmetrical beam splitter (BS). Some important properties of this state, such as orthogonality and Schmidt decomposition, are also discussed by deriving the expression of BS operator in coordinate representation. As its applications, to conjugate state, obtain operator identities, generate new squeezing operators (squeezed state) are also presented. It is shown that the fidelity of quantum teleportation can be enhanced under certain case by using the asymmetrical new squeezed state as entangled resource.

  • RESEARCH ARTICLE
    Hong-Yi Fan , Sen-Yue Lou

    For two particles’ relative position and total momentum we have introduced the entangled state representation |η, and its conjugate state |ξ. In this work, for the first time, we study them via the integration over ket–bra operators in Q-ordering or P-ordering, where Q-ordering means all Qs are to the left of all Ps and P-ordering means all Ps are to the left of all Qs. In this way we newly derive P-ordered (or Q-ordered) expansion formulas of the two-mode squeezing operator which can show the squeezing effect on both the two-mode coordinate and momentum eigenstates. This tells that not only the integration over ket–bra operators within normally ordered, but also within Pordered (or Q-ordered) are feasible and useful in developing quantum mechanical representation and transformation theory.

  • RESEARCH ARTICLE
    Wei Li , Chandan Setty , X. H. Chen , Jiangping Hu

    Electronic and magnetic structures of iron selenide compounds Ce2O2FeSe2 (2212*) and BaFe2Se3 (123*) are studied by the first-principles calculations. We find that while all these compounds are composed of one-dimensional (1D) Fe chain (or ladder) structures, their electronic structures are not close to be quasi-1D. The magnetic exchange couplings between two nearest-neighbor (NN) chains in 2212*and between two NN two-leg-ladders in 123*are both antiferromagnetic (AFM), which is consistent with the presence of significant third NN AFM coupling, a common feature shared in other iron-chalcogenides, FeTe (11*) and KyFe2-xSe2 (122*). In magnetic ground states, each Fe chain of 2212*is ferromagnetic and each two-leg ladder of 123*form a block-AFM structure. We suggest that all magnetic structures in iron-selenide compounds can be unified into an extended J1J2J3 model. Spin-wave excitations of the model are calculated and can be tested by future experiments on these two systems.

  • RESEARCH ARTICLE
    Wan-Ju Li , Dao-Xin Yao , E. W. Carlson

    Based on the phenomenon of curvature-induced doping in graphene we propose a class of Peltier cooling devices, produced by geometrical effects, without gating. We show how a graphene nanoribbon laid on an array of curved nano cylinders can be used to create a targeted and tunable cooling device. Using two different approaches, the Nonequilibrium Green’s Function (NEGF) method and experimental inputs, we predict that the cooling power of such a device can approach the order of kW/cm2, on par with the best known techniques using standard superlattice structures. The structure proposed here helps pave the way toward designing graphene electronics which use geometry rather than gating to control devices.

  • RESEARCH ARTICLE
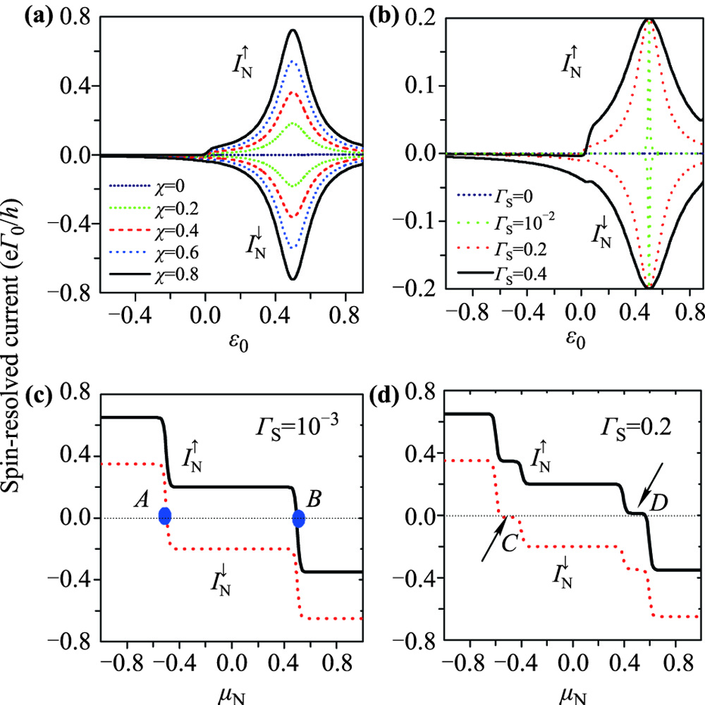
    Rui-Qiang Wang , Li Sheng , Liang-Bin Hu , Mou Yang , Baigeng Wang , D. Y. Xing

    Single-particle sequential tunneling is studied through a negative-Ucenter hybridized with a superconducting, a ferromagnetic, and a normal metal electrodes. In stark contrast to the case of positive U, the single-particle tunneling in attractive charging energy is usually prohibited by ground states with electrons in pairs. We find a microscopic mechanism to induce single-particle sates from pair states. As a consequence, in the nonpolarized metal terminal a remarkable pure spin current with no charge currents survives over a wide range of gate- and bias- voltages, which is rather crucial for experimental observation and design of spintronic devices. In addition, a significant spin-filter effect is presented in certain bias regime.

  • RESEARCH ARTICLE
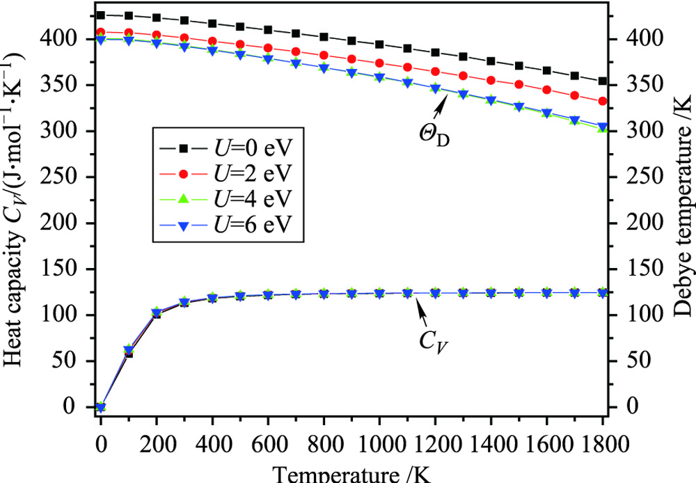
    Bo Zhu , Yan Cheng , Zhen-Wei Niu , Meng Zhou , Min Gong

    We investigated the structure and thermodynamic properties of the hexagonal Ce2O3 by using LDA+U scheme in the frame of density functional theory (DFT), together with the quasi-harmonic Debye model. The obtained lattice constants, bulk modulus, and the insulating gap agree well with the available experimental data. We successfully yielded the temperature dependence of bulk modulus, volume, thermal expansion coefficient, Debye temperature, specific heat as well as the entropy at different U values. It is found that the introduction of the U value cannot only correct the calculation of the structure but also improve the accurate description of the thermodynamic properties of Ce2O3. When U = 6 eV the calculated volume (538 Bohr3) at 300 K agrees well with the experimental value (536 Bohr3). The calculated entropy curve becomes more and more close to the experimental curve with the increasing U value.

  • RESEARCH ARTICLE
    Raúl Machado

    The influence of the use of the generalized Hermite polynomial on the Hermite-based lattice Boltzmann (LB) construction approach, lattice sets, the thermal weights, moments and the equilibrium distribution function (EDF) are addressed. A new moment system is proposed. The theoretical possibility to obtain a unique high-order Hermite-based singel relaxation time LB model capable to exactly match some first hydrodynamic moments thermally i) on-Cartesian lattice, ii) with thermal weights in the EDF, iii) whilst the highest possible hydrodynamic moments that are exactly matched are obtained with the shortest on-Cartesian lattice sets with some fixed real-valued temperatures, is also analyzed.

  • RESEARCH ARTICLE
    Pu Ke , Zhi-Gang Zheng

    We study the deterministic dynamics of rotator chain with purely mechanical driving on the boundary by stability analysis and numerical simulation. Globally synchronous rotation, clustered synchronous rotation, and split synchronous rotation states are identified. In particular, we find that the single-peaked variance distribution of angular momenta is the consequence of the deterministic dynamics. As a result, the operational definition of temperature used in the previous studies on rotator chain should be revisited.

  • RESEARCH ARTICLE
    Yan-Hui Liu , Ying-Bing Chen , Wei Mao , Lin Hu , Lin-Hong Deng , Hou-Qiang Xu

    Recent experiments have pointed out that cellular uptake is strongly dependent on the physical dimensions of endocytosed nanoparticles and the optimal radius of endocytosed virus-like particle coated by transferrin is around 50 nm. As the same time, the dimensions of receptor-ligand complex have strong effects on the size-dependent exclusion of proteins in cell environments. Inspired by these experimental results, a continuum elastic model is constructed to resolve the relationship between the dimensions of receptor-ligand complex and the optimal radius of endocytosed virus-like particle. These results demonstrate that the optimal radius of endocytosed virus-like particle depends on the dimensions of receptor-ligand complex and the dimension of receptor-ligand complex reduces the depletion zone.

  • RESEARCH ARTICLE
    Ying Zhang , Wen-Hui Wan

    A network is named as mixed network if it is composed of N nodes, the dynamics of some nodes are periodic, while the others are chaotic. The mixed network with all-to-all coupling and its corresponding networks after the nonlinearity gap-condition pruning are investigated. Several synchronization states are demonstrated in both systems, and a first-order phase transition is proposed. The mixture of dynamics implies any kind of synchronous dynamics for the whole network, and the mixed networks may be controlled by the nonlinearity gap-condition pruning.

  • RESEARCH ARTICLE
    Qian-Shun Zhang (张前顺) , Zhong-Ming Niu (牛中明) , Zhi-Pan Li (李志攀) , Jiang-Ming Yao (尧江明) , Jie Meng (孟杰)

    The global dynamical correlation energies for 575 even–even nuclei with proton numbers ranging from Z= 8 to Z= 108 calculated with the covariant density functional theory using the PC-PK1 parametrization are presented. The dynamical correlation energies include the rotational correction energies obtained with the cranking approximation and the quadrupole vibrational correction energies. The systematic behavior of the present correlation energies is in good agreement with that obtained from the projected generator coordinate method using the SLy4 Skyrme force although our values are systematically smaller. After including the dynamical correlation energies, the rootmean- square deviation predicted by the PC-PK1 for the 575 even-even nuclei masses is reduced from 2.58 MeV to 1.24 MeV.

  • ERRATUM
    Bing Zhang , Peter Mészáros
Publishing model
2

{"submissionFirstDecision":"30","jcrJfStr":"5.3 (2024)","editorEmail":"wangyy@hep.com.cn"}

Downloads

{"submissionFirstDecision":"30","jcrJfStr":"5.3 (2024)","editorEmail":"wangyy@hep.com.cn"}
1

ISSN 2095-0462 (Print)
ISSN 2095-0470 (Online)
CN 11-5994/O4