2014-02-01 2014, Volume 9 Issue 1
  • Cover illustration

    High vacuum tip enhanced Raman spectroscopy (HV-TERS), one of the most recent advances in nanoscale analysis, is a high sensitivity and high spatial resolution optical analytical technique. It was found that in-situ plasmon driven chemical reaction can be investigated by HV-TERS. The temperature of localized area can be obtained by the clearly Stokes and anti-Stokes HV-TERS peaks. The nonlinear effects in HV-TERS, including IR active mode, Fermi Resonance and Hyper Raman, are also found. Those findings hold great promise for ultrasensitive detection and s [Detail] ...


  • Select all
  • EDITORIAL
    Lian-Ming Tong, Hong-Xing Xu
  • Katherine A. Willets

    A major challenge with studying plasmon-mediated emission events is the small size of plasmonic nanoparticles relative to the wavelength of light. Objects smaller than roughly half the wavelength of light will appear as diffraction-limited spots in far-field optical images, presenting a significant experimental challenge for studying plasmonic processes on the nanoscale. Super-resolution imaging has recently been applied to plasmonic nanosystems and allows plasmon-mediated emission to be resolved on the order of ~5 nm. In super-resolution imaging, a diffraction-limited spot is fit to some model function in order to calculate the position of the emission centroid, which represents the location of the emitter. However, the accuracy of the centroid position strongly depends on how well the fitting function describes the data. This Perspective discusses the commonly used two-dimensional Gaussian fitting function applied to super-resolution imaging of plasmon-mediated emission, then introduces an alternative model based on dipole point spread functions. The two fitting models are compared and contrasted for super-resolution imaging of nanoparticle scattering/luminescence, surface-enhanced Raman scattering, and surface-enhanced fluorescence.

  • REVIEW ARTICLE
    Zheng-Long Zhang, Li Chen, Shao-Xiang Sheng, Meng-Tao Sun, Hai-Rong Zheng, Ke-Qiu Chen, Hong-Xing Xu

    Tip-enhanced Raman spectroscopy (TERS) is high-sensitivity and high spatial-resolution optical analytical technique with nanoscale resolution beyond the diffraction limit. It is also one of the most recent advances in nanoscale chemical analysis. This review provides an overview of the state-of-art in TERS, in-depth information about the different available types of instruments including their (dis)advantages and capabilities. Finally, an overview about recent development in High-Vacuum TERS is given and some challenges are raised.

  • REVIEW ARTICLE
    Zee Hwan Kim

    The single-molecule surface-enhanced Raman scattering (smSERS) has been extensively studied after the initial observation in 1997, yet there still exist unsettled issues in the fundamental mechanism of smSERS. In this review, we survey some of the recent breakthroughs in the mechanism of smSERS and its application.

  • REVIEW ARTICLE
    Yuko S. Yamamoto, Mitsuru Ishikawa, Yukihiro Ozaki, Tamitake Itoh

    We review recent our results in the fundamental study of surface-enhanced Raman scattering (SERS) with emphasis on experiments that attempted to identify the enhancement and blinking mechanism using single Ag nanoparticle dimers attached to dye molecules. These results are quantitatively discussed in the framework of electromagnetic mechanism. We also review recent our results in basic SERS applications for biological sensing regarding detections of cell surface molecules and distinction of disease marker molecules under single cell and single molecule level.

  • REVIEW ARTICLE
    Yizhuo He, Junxue Fu, Yiping Zhao

    Plasmonics based on localized surface plasmon resonance (LSPR) has found many exciting applications recently. Those applications usually require a good morphological and structural control of metallic nanostructures. Oblique angle deposition (OAD) has been demonstrated as a powerful technique for various plasmonic applications due to its advantages in controlling the size, shape, and composition of metallic nanostructures. In this review, we focus on the fabrication of metallic nanostructures by OAD and their applications in plasmonics. After a brief introduction to OAD technique, recent progress of applying OAD in fabricating noble metallic nanostructures for LSPR sensing, surface-enhanced Raman scattering, surface-enhanced infrared absorption, metal-enhanced fluorescence, and metamaterials, and their corresponding properties are reviewed. The future requirements for OAD plasmonics applications are also discussed.

  • Atsushi Ono, Masakazu Kikawada, Wataru Inami, Yoshimasa Kawata

    We report the experimental demonstration of fluorescence of CdSe quantum dots with surface plasmon excitation in deep-ultraviolet (deep-UV) region. Surface plasmon resonance in deep-UV is excited by aluminum thin film in the Kretschmann-Raether geometry. Considering the oxidation thickness of aluminum, the experimental results of incident angle dependence of reflectance show good agreement with Fresnel theory. Surface plasmon resonance with 19 nm-thick aluminum and 5 nm-thick alumina was excited at the incident angle of 48 degrees for 266 nm excitation. Fluorescence of CdSe quantum dots coated on this aluminum film was observed by the surface plasmon excitation.

  • Liang-Ping Xia, Zheng Yang, Shao-Yun Yin, Wen-Rui Guo, Jing-Lei Du, Chun-Lei Du

    A fabrication process based on the self-assembling polystyrene spheres is proposed to obtain hole arrayed metal-insulator-metal (HA-MIM) structure for surface enhanced Raman scattering (SERS). The localized field enhancement aroused by the gap resonance in the HA-MIM structure is analyzed by finite-different time domain (FDTD) method. With reference to the theory result, the structure is experimentally fabricated and the Raman scattering spectrum of rhodamine 6G (R6G) is measured by a miniaturized Raman spectrometer. The results shows that the enhancement factor is 3.85 times higher than the control sample with single layered metal hole array. The fabrication process to obtain the HA-MIM SERS substrate is reproducible, fast, large area and low cost.

  • Dong-Sheng Guo, Jing-Tao Zhang, Zhen-Rong Sun, Jin T. Wang, Ju Gao, Zhi-Wei Sun, R. R. Freeman

    We are reporting a theoretical prediction: The photoelectrons forming above-threshold-ionization (ATI) peaks emit both even and odd harmonics. These harmonics exhibit plateau and cut-off features similar to those odd-only harmonics observed in ATI experiments.

  • Hong-Yi Fan, Shuai Wang, Li-Yun Hu

    Using the way of deriving infinitive sum representation of density operator as a solution to the master equation describing the amplitude dissipative channel by virtue of the entangled state representation, we show manifestly how the initial density operator of a single-mode squeezed vacuum state evolves into a definite mixed state which turns out to be a squeezed chaotic state with decreasing-squeezing and decoherence. We investigate average photon number, photon statistics distributions for this mixed state.

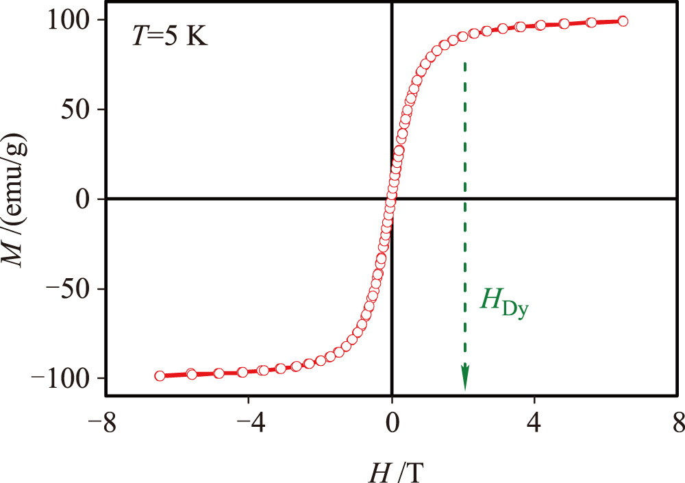
  • Zai-Chun Xu, Mei-Feng Liu, Lin Lin, Huimei Liu, Zhi-Bo Yan, Jun-Ming Liu

    Double pyrochlore Dy2Ru2O7 is synthesized and its magnetism and ferroelectricity below the Ru4+ spin ordering temperature (~100 K) are investigated. The ferroelectric transition appears at ~18 K, much higher than the Dy3+ spin ordering point at ~1.8 K and lower than the Ru4+ spin ordering point at ~100 K. The measured electric polarization at ~2 K is as big as 145 μC/m2 in the polycrystalline samples. It is argued that the ferroelectricity is possibly ascribed to the electric dipole ordering arising from the collective monopole excitations in the Dy3+ tetrahedrons in prior to the Dy3+ spin ordering into spin-ice like state below ~1.8 K.

  • Mohammad Mehdi Sadeghi, Hamid Nadgaran, Huanyang Chen

    We design a perfect field concentrator from a singular radial mapping. Such a device can be implemented using alternating radial slices of zero index metamaterials and perfect electric conductors. Numerical simulations are performed to verify its functionality.

  • RESEARCH ARTICLE
    Wei-Zhen Pan(潘伟珍), Xue-Jun Yang(杨学军), Guo-Xiang Yu(余国祥)

    Using the Hamilton–Jacobi equation of a scalar particle in the curve space-time and a correct-dimension new tortoise coordinate transformation, the quantum nonthermal radiation of the Vaidya–Bonner–de Sitter black hole is investigated. The energy condition for the occurrence of the Starobinsky–Unruh process is obtained. The event horizon surface gravity and the Hawking temperature on the event horizon are also given.

  • Ram Gopal Vishwakarma

    Despite a century-long effort, a proper energy-stress tensor of the gravitational field, could not have been discovered. Furthermore, it has been discovered recently that the standard formulation of the energy-stress tensor of matter, suffers from various inconsistencies and paradoxes, concluding that the tensor is not consistent with the geometric formulation of gravitation [Astrophys. Space Sci., 2009, 321: 151; Astrophys. Space Sci., 2012, 340: 373]. This perhaps hints that a consistent theory of gravitation should not have any bearing on the energy-stress tensor. It is shown here that the so-called “vacuum” field equations Rik= 0 do not represent an empty spacetime, and the energy, momenta and angular momenta of the gravitational and the matter fields are revealed through the geometry, without including any formulation thereof in the field equations. Though, this novel discovery appears baffling and orthogonal to the usual understanding, is consistent with the observations at all scales, without requiring the hypothetical dark matter, dark energy or inflation. Moreover, the resulting theory circumvents the long-standing problems of the standard cosmology, besides explaining some unexplained puzzles.

  • Xiao Xu, Junfeng Wang, Jian-Ping Lv, Youjin Deng

    We simulate the bond and site percolation models on several three-dimensional lattices, including the diamond, body-centered cubic, and face-centered cubic lattices. As on the simple-cubic lattice [Phys. Rev. E, 2013, 87(5): 052107], it is observed that in comparison with dimensionless ratios based on cluster-size distribution, certain wrapping probabilities exhibit weaker finite-size corrections and are more sensitive to the deviation from percolation threshold pc, and thus provide a powerful means for determining pc. We analyze the numerical data of the wrapping probabilities simultaneously such that universal parameters are shared by the aforementioned models, and thus significantly improved estimates of pc are obtained.

  • Shuai Liu, Zhi-Wei He, Meng Zhan

    The dynamics of coupled excitable FitzHugh–Nagumo systems under external noisy driving is studied. Different from most of previous work focusing on the noise-induced regularity in the framework of coherence resonance, here the average frequency (or firing rate) of coupled excitable elements is of much more concern. We find that (i) their frequencies first increase and then decrease with the increase of the coupling, and there is a clear crossover from a rush increase to a smooth increase with the increase of noise strength, and (ii) for nonidentical cases, all elements transit to an identical frequency simultaneously only after a certain coupling strength is achieved. These first-increase-thendecrease non-monotonic frequency behavior and isochronous frequency synchronization are believed to be two basic behaviors in coupled noisy excitable systems.

  • Wen-Zhi Zheng(郑文智), Yuan Liang(梁源), Ji-Ping Huang(黄吉平)

    The principle of increasing entropy (PIE) is commonly considered as a universal physical law for natural systems. It also means that a non-equilibrium steady state (NESS) must not appear in any isolated natural systems. Here we experimentally investigate an isolated human social system with a clustering effect. We report that the PIE cannot always hold, and that NESSs can come to appear. Our study highlights the role of human adaptability in the PIE, and makes it possible to study human social systems by using some laws originating from traditional physics.

Publishing model
2

{"submissionFirstDecision":"30","jcrJfStr":"5.3 (2024)","editorEmail":"wangyy@hep.com.cn"}

Downloads

{"submissionFirstDecision":"30","jcrJfStr":"5.3 (2024)","editorEmail":"wangyy@hep.com.cn"}
1

ISSN 2095-0462 (Print)
ISSN 2095-0470 (Online)
CN 11-5994/O4