Simultaneous analysis of three-dimensional percolation models

Xiao Xu, Junfeng Wang, Jian-Ping Lv, Youjin Deng

Front. Phys. ›› 2014, Vol. 9 ›› Issue (1) : 113 -119.

PDF (326KB)
Front. Phys. ›› 2014, Vol. 9 ›› Issue (1) :113 -119. DOI: 10.1007/s11467-013-0403-z

Simultaneous analysis of three-dimensional percolation models

Author information +
History +
PDF (326KB)

Abstract

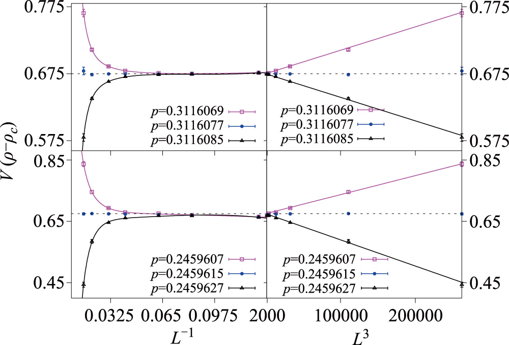
We simulate the bond and site percolation models on several three-dimensional lattices, including the diamond, body-centered cubic, and face-centered cubic lattices. As on the simple-cubic lattice [Phys. Rev. E, 2013, 87(5): 052107], it is observed that in comparison with dimensionless ratios based on cluster-size distribution, certain wrapping probabilities exhibit weaker finite-size corrections and are more sensitive to the deviation from percolation threshold pc, and thus provide a powerful means for determining pc. We analyze the numerical data of the wrapping probabilities simultaneously such that universal parameters are shared by the aforementioned models, and thus significantly improved estimates of pc are obtained.

Graphical abstract

Keywords

percolation models / Monto Carlo simulation / simultaneous fit

Cite this article

Download citation ▾
Xiao Xu, Junfeng Wang, Jian-Ping Lv, Youjin Deng. Simultaneous analysis of three-dimensional percolation models. Front. Phys., 2014, 9(1): 113-119 DOI:10.1007/s11467-013-0403-z

登录浏览全文

4963

注册一个新账户 忘记密码

References

PDF (326KB)

2211

Accesses

0

Citation

Detail

Sections
Recommended

/