2023-12-15 2023, Volume 16 Issue 4
  • Cover illustration

    Ultrafast laser ablation has been widely studied for the fabrication of surface micro/nano structures in order to realize various surface functions. Increasing research efforts have been devoted to gaining more control over the specific ablation processes to meet the increasing need for creation of complex structures. In this paper, it shows that in-situ deposition following the plasma formation under ultrafast laser ablation can also be controlled as a localized micro-additive process toFor more details, please refer to the article entitled “Localized in-situ deposition: a new dimension to control in fabricating surface micro/nano structures via ultrafast laser ablation” by Peixun Fan et al., Front. Optoelectron., 2023, 16(4): 36
    [Detail] ...

    Download cover

  • Select all
  • RESEARCH ARTICLE
    William Anderson Lee Sanchez, Shreekant Sinha, Po-Yu Wang, Ray-Hua Horng

    Thin film p-side up vertical-cavity surface-emitting lasers (VCSELs) with 940 nm wavelength on a composite metal (Copper/Invar/Copper; CIC) substrate has been demonstrated by twice-bonding transfer and substrate removing techniques. The CIC substrate is a sandwich structure with a 10 µm thick Copper (Cu) layer/30 µm thick Invar layer/10 µm thick Cu layer. The Invar layer was composed of Iron (Fe) and Nickel (Ni) with a proportion of 70:30. The thermal expansion coefficient of the composite CIC metal can match that of the GaAs substrate. It results that the VCSEL layers can be successfully transferred to CIC metal substrate without cracking. At 1 mA current, the top-emitting VCSEL/GaAs and thin-film VCSEL/CIC had a voltage of 1.39 and 1.37 V, respectively. The optical output powers of VCSEL/GaAs and VCSEL/CIC were 21.91 and 24.40 mW, respectively. The 50 µm thick CIC substrate can play a good heat dissipation function, which results in improving the electrical and optical characteristics of thin film VCSELs/CIC. The VCSEL/CIC exhibited a superior thermal management capability as compared with VCSEL/GaAs. The obtained data suggested that VCSELs on a composite metal substrate not only affected significantly the characteristics of thin film VCSEL, but also improved considerably the device thermal performance.

  • RESEARCH ARTICLE
    Lu Zhang, Shijie Fu, Quan Sheng, Xuewen Luo, Junxiang Zhang, Wei Shi, Jianquan Yao

    976 nm + 1976 nm dual-wavelength pumped Er-doped ZBLAN fiber lasers are generally accepted as the preferred solution for achieving 3.5 µm lasing. However, the 2 µm band excited state absorption from the upper lasing level (4F9/24F7/2) depletes the Er ions population inversion, reducing the pump quantum efficiency and limiting the power scaling. In this work, we demonstrate that the pump quantum efficiency can be effectively improved by using a long-wavelength pump with lower excited state absorption rate. A 3.5 µm Er-doped ZBLAN fiber laser was built and its performances at different pump wavelengths were experimentally investigated in detail. A maximum output power at 3.46 µm of ∼ 7.2 W with slope efficiency (with respect to absorbed 1990 nm pump power) of 41.2% was obtained with an optimized pump wavelength of 1990 nm, and the pump quantum efficiency was increased to 0.957 compared with the 0.819 for the conventional 1976 nm pumping scheme. Further power scaling was only limited by the available 1990 nm pump power. A numerical simulation was implemented to evaluate the cross section of excited state absorption via a theoretical fitting of experimental results. The potential of further power scaling was also discussed, based on the developed model.

  • MINI REVIEW
    Xinxin Duan, Meng Zhang, Yu-Hui Zhang

    The development of super-resolution technology has made it possible to investigate the ultrastructure of intracellular organelles by fluorescence microscopy, which has greatly facilitated the development of life sciences and biomedicine. To realize super-resolution imaging of living cells, both advanced imaging systems and excellent fluorescent probes are required. Traditional fluorescent probes have good availability, but that is not the case for probes for live-cell super-resolution imaging. In this review, we first introduce the principles of various super-resolution technologies and their probe requirements, then summarize the existing designs and delivery strategies of super-resolution probes for live-cell imaging, and finally provide a brief conclusion and overview of the future.

  • RESEARCH ARTICLE
    Zunyu Liu, Chaoyu Zhao, Shuangfeng Jia, Weiwei Meng, Pei Li, Shuwen Yan, Yongfa Cheng, Jinshui Miao, Lei Zhang, Yihua Gao, Jianbo Wang, Luying Li

    Multi-dimensional heterojunction materials have attracted much attention due to their intriguing properties, such as high efficiency, wide band gap regulation, low dimensional limitation, versatility and scalability. To further improve the performance of materials, researchers have combined materials with various dimensions using a wide variety of techniques. However, research on growth mechanism of such composite materials is still lacking. In this paper, the growth mechanism of multidimensional heterojunction composite material is studied using quasi-two-dimensional (quasi-2D) antimonene and quasione-dimensional (quasi-1D) antimony sulfide as examples. These are synthesized by a simple thermal injection method. It is observed that the consequent nanorods are oriented along six-fold symmetric directions on the nanoplate, forming ordered quasi-1D/quasi-2D heterostructures. Comprehensive transmission electron microscopy (TEM) characterizations confirm the chemical information and reveal orientational relationship between Sb2S3 nanorods and the Sb nanoplate as substrate. Further density functional theory calculations indicate that interfacial binding energy is the primary deciding factor for the self-assembly of ordered structures. These details may fill the gaps in the research on multi-dimensional composite materials with ordered structures, and promote their future versatile applications.

  • RESEARCH ARTICLE
    Peixun Fan, Guochen Jiang, Xinyu Hu, Lizhong Wang, Hongjun Zhang, Minlin Zhong

    Controllable fabrication of surface micro/nano structures is the key to realizing surface functionalization for various applications. As a versatile approach, ultrafast laser ablation has been widely studied for surface micro/nano structuring. Increasing research efforts in this field have been devoted to gaining more control over the fabrication processes to meet the increasing need for creation of complex structures. In this paper, we focus on the in-situ deposition process following the plasma formation under ultrafast laser ablation. From an overview perspective, we firstly summarize the different roles that plasma plumes, from pulsed laser ablation of solids, play in different laser processing approaches. Then, the distinctive in-situ deposition process within surface micro/nano structuring is highlighted. Our experimental work demonstrated that the in-situ deposition during ultrafast laser surface structuring can be controlled as a localized micro-additive process to pile up secondary ordered structures, through which a unique kind of hierarchical structure with fort-like bodies sitting on top of micro cone arrays were fabricated as a showcase. The revealed laser-matter interaction mechanism can be inspiring for the development of new ultrafast laser fabrication approaches, adding a new dimension and more flexibility in controlling the fabrication of functional surface micro/nano structures.

  • RESEARCH ARTICLE
    Max Karlsson, Jiajun Qin, Kaifeng Niu, Xiyu Luo, Johanna Rosen, Jonas Björk, Lian Duan, Weidong Xu, Feng Gao

    Although perovskite light-emitting diodes (PeLEDs) have seen unprecedented development in device efficiency over the past decade, they suffer significantly from poor operational stability. This is especially true for blue PeLEDs, whose operational lifetime remains orders of magnitude behind their green and red counterparts. Here, we systematically investigate this efficiency-stability discrepancy in a series of green- to blue-emitting PeLEDs based on mixed Br/Cl-perovskites. We find that chloride incorporation, while having only a limited impact on efficiency, detrimentally affects device stability even in small amounts. Device lifetime drops exponentially with increasing Cl-content, accompanied by an increased rate of change in electrical properties during operation. We ascribe this phenomenon to an increased mobility of halogen ions in the mixed-halide lattice due to an increased chemically and structurally disordered landscape with reduced migration barriers. Our results indicate that the stability enhancement for PeLEDs might require different strategies from those used for improving efficiency.

  • RESEARCH ARTICLE
    Xiaoxiao Wang, Ruizhe Gu, Yandong Li, Huixin Qi, Xiaoyong Hu, Xingyuan Wang, Qihuang Gong

    Nonreciprocal interlayer coupling is difficult to practically implement in bilayer non-Hermitian topological photonic systems. In this work, we identify a similarity transformation between the Hamiltonians of systems with nonreciprocal interlayer coupling and on-site gain/loss. The similarity transformation is widely applicable, and we show its application in one- and two-dimensional bilayer topological systems as examples. The bilayer non-Hermitian system with nonreciprocal interlayer coupling, whose topological number can be defined using the gauge-smoothed Wilson loop, is topologically equivalent to the bilayer system with on-site gain/loss. We also show that the topological number of bilayer non-Hermitian C6v-typed domain-induced topological interface states can be defined in the same way as in the case of the bilayer non-Hermitian Su–Schrieffer–Heeger model. Our results show the relations between two microscopic provenances of the non-Hermiticity and provide a universal and convenient scheme for constructing and studying nonreciprocal interlayer coupling in bilayer non-Hermitian topological systems. This scheme is useful for observation of non-Hermitian skin effect in three-dimensional systems.

  • LETTER
    Zikang Xu, Ruiqi Ren, Hang Ren, Jingyuan Zhang, Jinyao Yang, Jiawen Qiu, Yizhou Zhang, Guoyin Zhu, Liang Huang, Shengyang Dong

    Manganese dioxide (MnO2), as a cathode material for multivalent ion (such as Mg2+ and Al3+) storage, is investigated due to its high initial capacity. However, during multivalent ion insertion/extraction, the crystal structure of MnO2 partially collapses, leading to fast capacity decay in few charge/discharge cycles. Here, through pre-intercalating potassium-ion (K+) into δ-MnO2, we synthesize a potassium ion pre-intercalated MnO2, K0.21MnO2·0.31H2O (KMO), as a reliable cathode material for multivalent ion batteries. The as-prepared KMO exhibits a high reversible capacity of 185 mAh/g at 1 A/g, with considerable rate performance and improved cycling stability in 1 mol/L MgSO4 electrolyte. In addition, we observe that aluminum-ion (Al3+) can also insert into a KMO cathode. This work provides a valid method for modification of manganese-based oxides for aqueous multivalent ion batteries.

  • RESEARCH ARTICLE
    Xiaohua Xing, Die Zou, Xin Ding, Jianquan Yao, Liang Wu

    Polarization, a fundamental behavior of electromagnetic waves, holds immense potential across diverse domains such as environmental monitoring, biomedicine, and ocean exploration. However, achieving efficient modulation of terahertz waves with wide operational bandwidth poses significant challenges. Here, we introduce an all-silicon polarization converter designed specifically to operate in the terahertz range of the electromagnetic spectrum. Simulation results demonstrate that the average conversion efficiency of cross-linear waves exceeds 80% across a wide frequency range spanning from 1.00 to 2.32 THz, with the highest conversion efficiency peaking at an impressive 99.97%. Additionally, our proposed structure facilitates linear-to-circular polarization conversion with an ellipticity of 1 at 0.85 THz. Furthermore, by rotating the cross-shaped microstructure, active control over arbitrary polarization states can be achieved. To summarize, the proposed structure offers remarkable flexibility and ease of integration, providing a reliable and practical solution for achieving broadband and efficient polarization conversion of terahertz waves.

  • LETTER
    Zhao Wang, Xiaolei Wen, Kai Zou, Yun Meng, Jinwei Zeng, Jian Wang, Huan Hu, Xiaolong Hu

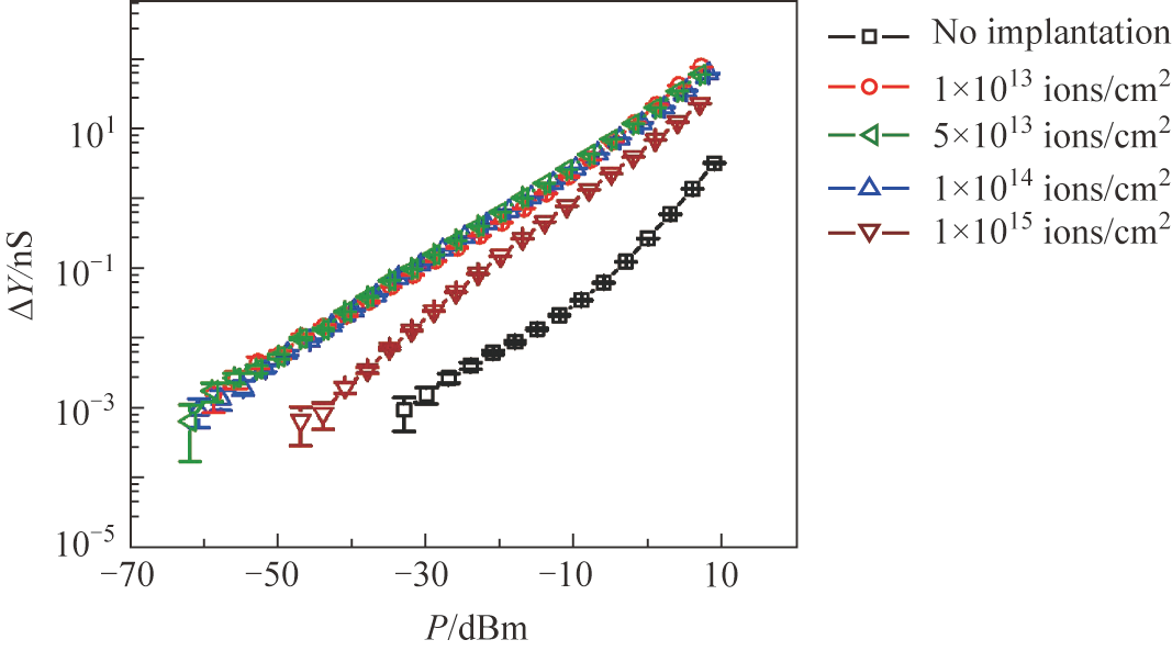
    Silicon sub-bandgap photodetectors can detect light at the infrared telecommunication wavelengths but with relatively weak photo-response. In this work, we demonstrate the enhancement of sub-bandgap photodetection in silicon by helium-ion implantation, without affecting the transparency that is an important beneficial feature of this type of photodetectors. With an implantation dose of 1 × 1013 ions/cm2, the minimal detectable optical power can be improved from – 33.2 to – 63.1 dBm, or, by 29.9 dB, at the wavelength of 1550 nm, and the photo-response at the same optical power (– 10 dBm) can be enhanced by approximately 18.8 dB. Our work provides a method for strategically modifying the intrinsic trade-off between transparency and strong photo-responses of this type of photodetectors.

  • RESEARCH ARTICLE
    Biyuan Zheng, Xingxia Sun, Weihao Zheng, Chenguang Zhu, Chao Ma, Anlian Pan, Dong Li, Shengman Li

    Dynamically engineering the optical and electrical properties in two-dimensional (2D) materials is of great significance for designing the related functions and applications. The introduction of foreign-atoms has previously been proven to be a feasible way to tune the band structure and related properties of 3D materials; however, this approach still remains to be explored in 2D materials. Here, we systematically demonstrate the growth of vanadium-doped molybdenum disulfide (V-doped MoS2) monolayers via an alkali metal-assisted chemical vapor deposition method. Scanning transmission electron microscopy demonstrated that V atoms substituted the Mo atoms and became uniformly distributed in the MoS2 monolayers. This was also confirmed by Raman and X-ray photoelectron spectroscopy. Power-dependent photoluminescence spectra clearly revealed the enhanced B-exciton emission characteristics in the V-doped MoS2 monolayers (with low doping concentration). Most importantly, through temperature-dependent study, we observed efficient valley scattering of the B-exciton, greatly enhancing its emission intensity. Carrier transport experiments indicated that typical p-type conduction gradually arisen and was enhanced with increasing V composition in the V-doped MoS2, where a clear n-type behavior transited first to ambipolar and then to lightly p-type charge carrier transport. In addition, visible to infrared wide-band photodetectors based on V-doped MoS2 monolayers (with low doping concentration) were demonstrated. The V-doped MoS2 monolayers with distinct B-exciton emission, enhanced p-type conduction and broad spectral response can provide new platforms for probing new physics and offer novel materials for optoelectronic applications.

  • RESEARCH ARTICLE
    Qianghui Wang, Bing Zhou, Wenshen Hua, Jiaju Ying, Xun Liu, Yue Cheng

    In land-based spectral imaging, the spectra of ground objects are inevitably affected by the imaging conditions (weather conditions, atmospheric conditions, light conditions, zenith and azimuth angle conditions) and spatial distribution of targets, leading to uncertainties featured by “same object different spectrum”. That is, the spectrum of a ground object may change within a certain range under different imaging conditions. Traditional target detection (TD) methods are mainly based on similarity measurements and do not fully account for the spectral uncertainties. These detection methods are prone to false detections or missed detections. Therefore, reducing the impact of spectral uncertainties on TD is an important research topic in hyperspectral imaging. In this paper, we first review traditional TD methods and compare their principles and characteristics. It is found that the spectral correlation angle (SCA) method has good adaptability in land-based imaging. The shortcoming of the SCA method that it cannot reflect the local spectrum characteristics, is also analyzed. As the effect of spectral uncertainties cannot be completely overcome by the SCA method, a new similarity measurement method, the weighted spectral correlation angle (WSCA) method, is proposed. It can reduce the influence of spectral uncertainties on TD by increasing the weight of particular bands. Finally, we use two sets of experiments to analyze the effect of the WSCA method on TD. Its performance in overcoming spectral uncertainties caused by variations in imaging conditions or uneven spatial distributions of targets is tested. The results show that the WSCA method can effectively reduce the influence of spectral uncertainties and obtain a good detection result.

  • RESEARCH ARTICLE
    Kareem J. Garriga Francis, Xi-Cheng Zhang

    The concept of Terahertz Field-Induced Second Harmonic (TFISH) Generation is revisited to introduce a single-shot detection scheme based on third order nonlinearities. Focused specifically on the further development of THz plasma-based sources, we begin our research by reimagining the TFISH system to serve as a direct plasma diagnostic. In this work, an optical probe beam is used to mix directly with the strong ponderomotive current associated with laser-induced ionization. A four-wave mixing (FWM) process then generates a strong second-harmonic optical wave because of the mixing of the probe beam with the nonlinear current components oscillating at THz frequencies. The observed conversion efficiency is high enough that for the first time, the TFISH signal appears visible to the human eye. We perform spectral, spatial, and temporal analysis on the detected second-harmonic frequency and show its direct relationship to the nonlinear current. Further, a method to detect incoherent and coherent THz inside plasma filaments is devised using spatio-temporal couplings. The single-shot detection configurations are theoretically described using a combination of expanded FWM models with Kostenbauder and Gaussian Q-matrices. We show that the retrieved temporal traces for THz radiation from single- and twocolor laser-induced air-plasma sources match theoretical descriptions very well. High temporal resolution is shown with a detection bandwidth limited only by the spatial extent of the probe laser beam. Large detection bandwidth and temporal characterization is shown for THz radiation confined to under-dense plasma filaments induced by < 100 fs lasers below the relativistic intensity limit.

  • RESEARCH ARTICLE
    Dongyu Li, Hao Lin, Silin Sun, Shaojun Liu, Zhang Liu, Yuening He, Jingtan Zhu, Jianyi Xu, Oxana Semyachkina-Glushkovskaya, Tingting Yu, Dan Zhu

    Alzheimer’s disease (AD) is an age-related neurodegenerative disorder that poses a significant burden on socio-economic and healthcare systems worldwide. However, the currently available therapy of AD is limited, and new strategies are needed to enhance the clearance of β-amyloid (Aβ) protein and improve cognitive function. Photobiomodulation (PBM) is a noninvasive and effective therapeutic method that has shown promise in treating various brain diseases. Here, we demonstrate that 1267-nm PBM significantly alleviates cognitive decline in the 5xFAD mouse model of AD and is safe as it does not induce a significant increase in cortical temperature. Moreover, with the combination of 3D tissue optical clearing imaging and automatic brain region segmentation, we show that PBM-mediated reductions of Aβ plaques in different subregions of prefrontal cortex and the hippocampus are different. The PBM-induced lymphatic clearance of Aβ from the brain is associated with improvement of memory and cognitive functions in 5xFAD mice. Our results suggest that the modulation of meningeal lymphatic vessels (MLVs) should play an important role in promoting Aβ clearance. Collectively, this pilot study demonstrates that PBM can safely accelerate lymphatic clearance of Aβ from the brain of 5xFAD mice, promoting improvement of neurocognitive status of AD animals suggesting that PBM can be an effective and bedside therapy for AD.

  • RESEARCH ARTICLE
    Kavya Rajeev, C. K. Vipin, Anjali K. Sajeev, Atul Shukla, Sarah K. M. McGregor, Shih-Chun Lo, Ebinazar B. Namdas, K. N. Narayanan Unni

    White organic light-emitting diodes (WOLEDs) have several desirable features, but their commercialization is hindered by the poor stability of blue light emitters and high production costs due to complicated device structures. Herein, we investigate a standard blue emitting hole transporting material (HTM) N,N'-bis(naphthalen-1-yl)-N,N'-bis(phenyl)benzidine (NPB) and its exciplex emission upon combining with a suitable electron transporting material (ETM), 3-(biphenyl-4-yl)-5-(4-tert-butylphenyl)-4-phenyl-4H-1,2,4-triazole (TAZ). Blue and yellow OLEDs with simple device structures are developed by using a blend layer, NPB:TAZ, as a blue emitter as well as a host for yellow phosphorescent dopant iridium (Ⅲ) bis(4-phenylthieno[3,2-c]pyridinato-N,C2')acetylacetonate (PO-01). Strategic device design then exploits the ambipolar charge transport properties of tetracene as a spacer layer to connect these blue and yellow emitting units. The tetracene-linked device demonstrates more promising results compared to those using a conventional charge generation layer (CGL). Judicious choice of the spacer prevents exciton diffusion from the blue emitter unit, yet facilitates charge carrier transport to the yellow emitter unit to enable additional exciplex formation. This complementary behavior of the spacer improves the blue emission properties concomitantly yielding reasonable yellow emission. The overall white light emission properties are enhanced, achieving CIE coordinates (0.36, 0.39) and color temperature (4643 K) similar to daylight. Employing intermolecular exciplex emission in OLEDs simplifies the device architecture via its dual functionality as a host and as an emitter.

  • RESEARCH ARTICLE
    Wenbo Jia, Yi Jing, Han Zhang, Baoyan Tian, Huabo Huang, Changlei Wang, Ligang Xu

    Tin perovskites with exemplary optoelectronic properties offer potential application in lead-free perovskite solar cells. However, Sn vacancies and undercoordinated Sn ions on the tin perovskite surfaces can create deep-level traps, leading to non-radiative recombination and absorption of nucleophilic O2 molecules, impeding further device efficiency and stability. Here, in this study, a new additive of semicarbazide hydrochloride (SEM-HCl) with a N–C=O functional group was introduced into the perovskite precursor to fabricate high-quality films with a low concentration of deep-level trap densities. This, in turn, serves to prevent undesirable interaction between photogenerated carriers and adsorbed oxygen molecules in the device’s operational environment, ultimately reducing the proliferation of superoxide entities. As the result, the SEM-HCl-derived devices show a peak efficiency of 10.9% with improved device stability. These unencapsulated devices maintain almost 100% of their initial efficiencies after working for 100 h under continuous AM1.5 illumination conditions.

  • RESEARCH ARTICLE
    Wenfei Guo, Zizhe Cai, Zhongfei Xiong, Weijin Chen, Yuntian Chen

    In this paper, we develop an efficient and accurate procedure of electromagnetic multipole decomposition by using the Lebedev and Gaussian quadrature methods to perform the numerical integration. Firstly, we briefly review the principles of multipole decomposition, highlighting two numerical projection methods including surface and volume integration. Secondly, we discuss the Lebedev and Gaussian quadrature methods, provide a detailed recipe to select the quadrature points and the corresponding weighting factor, and illustrate the integration accuracy and numerical efficiency (that is, with very few sampling points) using a unit sphere surface and regular tetrahedron. In the demonstrations of an isotropic dielectric nanosphere, a symmetric scatterer, and an anisotropic nanosphere, we perform multipole decomposition and validate our numerical projection procedure. The obtained results from our procedure are all consistent with those from Mie theory, symmetry constraints, and finite element simulations.

Publishing model
0

{"submissionFirstDecision":"30","jcrJfStr":"5.2 (2024)","editorEmail":"mamm@hep.com.cn"}

Downloads

{"submissionFirstDecision":"30","jcrJfStr":"5.2 (2024)","editorEmail":"mamm@hep.com.cn"}
1

ISSN 2095-2759 (Print)
ISSN 2095-2767 (Online)
CN 10-1029/TN