2015-02-10 2015, Volume 10 Issue 1
  • Cover illustration

    The quasiparticle scattering interference phenomenon characterized by the peaks in the local density of states is studied within the renormalized mean field theory based on the Hubbard model. It is shown that the quasiparticle scattering interference pattern in the presence of single point-like impurity is strongly energy dependent due to the dominant d-wave symmetry gap. The present theoretical results mainly capture qualitative features of the quasiparticle scattering interference phenomenon in cuprate superconductors, showing that the quasiparticle scattering i [Detail] ...


  • Select all
  • Atomic, Molecular, and Optical Physics
    Hong-Yi Fan , Jun-Hua Chen

    By a quantum mechanical analysis of the additive rule Fα[Fβ[f]] = Fα+β[f], which the fractional Fourier transformation (FrFT) Fα[f] should satisfy, we reveal that the position−momentum mutualtransformation operator is the core element for constructing the integration kernel of FrFT. Based on this observation and the two mutually conjugate entangled-state representations, we then derive a core operator for enabling a complex fractional Fourier transformation (CFrFT), which also obeys the additive rule. In a similar manner, we also reveal the fractional transformation property for a type of Fresnel operator.

  • Condensed Matter, Materials Physics, and Statistical Physics
    Chun Li , Zheng-Lin Jia , Dong-Cheng Mei

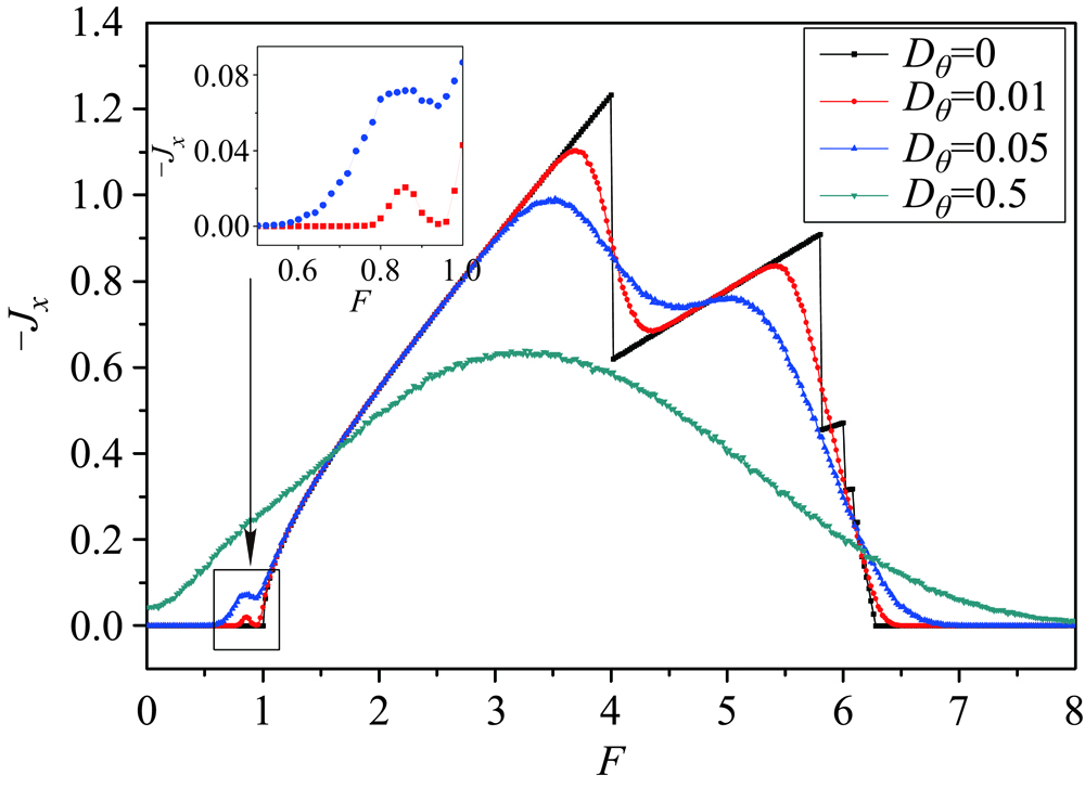
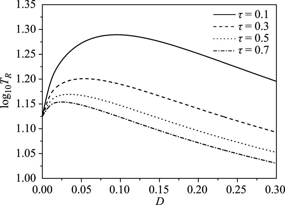
    The effects of the correlation time τ between noises on the noise-enhanced stability (NES) phenomenon in an asymmetric bistable system driven by cross-correlated noise are investigated. The expressions for the average escape time from the left metastable state TL and from the right metastable state TRare derived. The results indicate that: i) The NES effect is suppressed as the correlation time τ increases for two metastable states; ii) The increase in τ speeds up the escape process from the right state for positively correlated noise, whereas its role is reverses for negatively correlated; iii) In the escape process from the left state, the role of τ is opposite to that in escape from the right state.

  • Condensed Matter, Materials Physics, and Statistical Physics
    Yang Li , Hong Zhang , Da-Wei Yan , Hai-Feng Yin , Xin-Lu Cheng

    The plasmon characteristics of two graphene nanostructures are studied using time-dependent density functional theory (TDDFT). The absorption spectrum has two main bands, which result from π and σ + π plasmon resonances. At low energies, the Fourier transform of the induced charge density maps exhibits anomalous behavior, with a π phase change in the charge density maps in the plane of the graphene and those in the plane 0.3 Å from the graphene. The charge density fluctuations close to the plane of the graphene are much smaller than those above and beneath the graphene plane. However, this phenomenon disappears at higher energies. By analyzing the electronic properties, we may conclude that the restoring force for the plasmon in the plane of the graphene does not result from fixed positive ions, but rather the Coulomb interactions with the plasmonic oscillations away from the plane of the graphene, which extend in the surface-normal direction. The collective oscillation in the graphene plane results in a forced vibration. Accordingly, the low-energy plasmon in the graphene can be split into two components: a normal component, which corresponds to direct feedback of the external perturbation, and a secondary component, which corresponds to feedback of the Coulombic interaction with the normal component.

  • Condensed Matter, Materials Physics, and Statistical Physics
    Shu-Hua Wang , Huai-Song Zhao , Feng Yuan

    In this paper, we study the quasiparticle scattering interference phenomenon in the presence of a single impurity within the renormalized Hubbard model. By calculating the energy and momentum dependence of the Fourier-transformed local density of states in the full Brillouin zone, we can qualitatively describe the main features of the quasiparticle scattering interference phenomenon in cuprate superconductors using a single point-like impurity. In particular, we show that with increasing energy, the position of the peak along the nodal ([0, 0] → [π, π]) direction moves steadily to a large momentum region, while the position of the peak along the antinodal ([0, 0] → [π, 0]) direction moves toward the center of the Brillouin zone.

  • Condensed Matter, Materials Physics, and Statistical Physics
    Ju Wu , Peng Jin

    Currently, the nature of self-assembly of three-dimensional epitaxial islands or quantum dots (QDs) in a lattice-mismatched heteroepitaxial growth system, such as InAs/GaAs(001) and Ge/Si(001) as fabricated by molecular beam epitaxy (MBE), is still puzzling. The purpose of this article is to discuss how the self-assembly of InAs QDs in MBE InAs/GaAs(001) should be properly understood in atomic scale. First, the conventional kinetic theories that have traditionally been used to interpret QD self-assembly in heteroepitaxial growth with a significant lattice mismatch are reviewed briefly by examining the literature of the past two decades. Second, based on their own experimental data, the authors point out that InAs QD self-assembly can proceed in distinctly different kinetic ways depending on the growth conditions and so cannot be framed within a universal kinetic theory, and, furthermore, that the process may be transient, or the time required for a QD to grow to maturity may be significantly short, which is obviously inconsistent with conventional kinetic theories. Third, the authors point out that, in all of these conventional theories, two well-established experimental observations have been overlooked: i) A large number of “floating” indium atoms are present on the growing surface in MBE InAs/GaAs(001); ii) an elastically strained InAs film on the GaAs(001) substrate should be mechanically unstable. These two well-established experimental facts may be highly relevant and should be taken into account in interpreting InAs QD formation. Finally, the authors speculate that the formation of an InAs QD is more likely to be a collective event involving a large number of both indium and arsenic atoms simultaneously or, alternatively, a morphological/structural transformation in which a single atomic InAs sheet is transformed into a three-dimensional InAs island, accompanied by the rehybridization from the sp2-bonded to sp3- bonded atomic configuration of both indium and arsenic elements in the heteroepitaxial growth system.

  • Condensed Matter, Materials Physics, and Statistical Physics
    Wenxi Lai , Chao Zhang , Zhongshui Ma

    Single molecular shuttle-junction is one kind of nanoscale electromechanical tunneling system. In this junction, a molecular island oscillates depending on its charge occupation, and this charge dependent oscillation leads to modulation of electron tunneling through the molecular island. This paper reviews recent development on the study of current, shot noise and decoherence of electrons in the single molecular shuttle-junction. We will give detailed discussion on this topic using the typical system model, the theory of fully quantum master equation and the Aharonov–Bohm interferometer.

  • Condensed Matter, Materials Physics, and Statistical Physics
    Li-Yan Qiao , Yun-yun Li , Zhi-Gang Zheng

    In this review we investigate the rotation effect in the motion of coupled dimer in a two-dimensional asymmetric periodic potential. Free rotation does not generate directed transport in translational direction, while we find it plays an critical role in the motors motility when the dimer moves under the effect of asymmetry ratchet potential. In the presence of external force, we study the relation between the average current and the force numerically and theoretically. The numerical results show that only appropriate driving force could produce nonzero current and there are current transitions when the force is large enough. An analysis of stability analysis of limit cycles is applied to explain the occurrence of these transitions. Moreover, we numerically simulate the transport of this coupled dimer driven by the random fluctuations in the rotational direction. The existence of noise smooths the current transitions induced by the driving force and the resonance-like peaks which depend on the rod length emerge in small noise strength. Thanks to the noise in the rotational direction, autonomous motion emerges without the external force and large noise could make the current reversal happen. Eventually, the new mechanism to generate directed transport by the rotation is studied.

  • Condensed Matter, Materials Physics, and Statistical Physics
    Ying-Bing Chen , Yan-Hui Liu , Yan Zeng , Wei Mao , Lin Hu , Zong-Liang Mao , Hou-Qiang Xu

    Recent simulations have demonstrated that bioparticle size and shape modulate the process of endocytosis, and studies have provided more quantitative information that the endocytosis efficiency of spherocylindrical bioparticles is decided by its aspect ratio. At the same time, the dimensions of the receptor-ligand complex have strong effects on the size-dependent exclusion of proteins within the cellular environment. However, these earlier theoretical works including simulations did not consider the effects of ligand-receptor complex dimension on the endocytosis process. Thus, it is necessary to resolve the effects of ligand-receptor complex dimension and determine the optimal aspect ratio of spherocylindrical bioparticles in the process of endocytosis. Accordingly, we proposed a continuum elastic model, of which the results indicate that the aspect ratio depends on the ligand-receptor complex dimension and the radius of the spherocylindrical bioparticle. This model provides a phase diagram of the aspect ratio of endocytosed spherocylindrical bioparticles, the larger aspect ratio of which appears in the phase diagram with increasing ligand density, and highlights the bioparticle design.

Publishing model
2

{"submissionFirstDecision":"30","jcrJfStr":"5.3 (2024)","editorEmail":"wangyy@hep.com.cn"}

Downloads

{"submissionFirstDecision":"30","jcrJfStr":"5.3 (2024)","editorEmail":"wangyy@hep.com.cn"}
1

ISSN 2095-0462 (Print)
ISSN 2095-0470 (Online)
CN 11-5994/O4