2025-03-15 2025, Volume 7 Issue 1
  • Cover illustration

    Nanoplastics and antibiotics are among the most abundant chemical pollutants of soils, but their interplay with global warming remains poorly understood. Moreover, little is known about the gut microbiome of soil fauna and how it might respond to warming and these pollutants. By exposing ecotoxicological model F. candida to either polystyrene or colistin, at 20 and 22 ℃ for two months, Ferrín et al. (Article: 240269) report that warming is a major driver modulating the impacts of the nanoplastics and antibiotic. Surprisingly, Gram-negative bacteria targeted by col [Detail] ...

    Download cover

  • Select all
  • RESEARCH ARTICLE
    Gui-Feng Gao , Yin He , Jiasui Li , Subo Yan , Luyao Song , Haiyan Chu

    ● Bridge constructions decreased soil bacterial alpha and beta diversity.

    ● Bridge constructions reduced soil microbial biomass carbon and nitrogen.

    ● Stochastic process dominates soil bacterial community assembly.

    ● Bridge constructions increased the relative importance of stochasticity.

    Soils in mangrove ecosystems are home to diverse and unique microbes, which support many crucial ecosystem services. Despite their vulnerability, the impact of bridge construction on the soil microbiome in mangroves is poorly understood. This study assessed the bacterial community profiles and microbial biomass in mangrove soils under different bridge construction techniques: Sheet Pile Cofferdam (SP) and Steel Casing Pipe (SC), compared to the non-disturbed (ND) counterpart. Bridge construction significantly decreased the alpha diversity and caused biotic homogenization of soil bacterial communities, indicating a loss of microbial biodiversity due to human disturbance. Bridge construction also reduced the microbial biomass carbon and nitrogen. The assembly of soil bacterial communities was dominated by stochastic processes, and bridge construction increased the relative importance of stochasticity. However, the impacts on ecological networks varied with the construction technique, with SC soils showing higher network complexity and stability compared to the ND habitats. Changes in soil bacterial communities were primarily attributed to the shifts in soil pH and nutrient levels. This study identified the effects of sea-crossing bridge construction on the soil microbiome in mangrove ecosystems, aiding in careful planning and environmental impact assessments to minimize the negative effects of urbanization on mangrove ecosystems.

  • RESEARCH ARTICLE
    Jianhong Ji , Yingying Zhong , Mouliang Xiao , Xianting Wang , Zhi’e Hu , Mianjin Zhan , Jina Ding , Zhenke Zhu , Tida Ge

    ● Cd alone or combined with microplastics (MPs) enhanced wheat biomass.

    ● Cd alone or combined with MPs greatly affected soil microorganism activity.

    ● MPs reduced nutrient cycling functional microbial abundance under Cd treatment.

    Microplastics and heavy metal contamination poses major threats to soil function and food security; however, their synergistic effects remain largely unclear. This study investigated the effects of single or combined addition of polyethylene (PE) microplastic (1% w/w) and cadmium (Cd; 1.5 and 5 mg kg–1) on functional microbial communities in the wheat rhizosphere soil. We observed that the biomass of wheat increased by 142.44% under high doses of Cd addition. The bacterial alpha diversity in wheat bulk soil reduced by 37.34%–37.83% with the combined addition of microplastic and Cd. The addition of microplastic reduced the relative abundance of Proteus involved in nitrogen fixation by 19.93%, while the relative abundance of Proteus and Actinobacteria involved in nitrogen cycling increased with the increase of Cd concentration, increasing by 27.96%–37.37% and 51.14%–55.04%, respectively. FAPROTAX analysis revealed that increasing Cd concentration promoted the abundance of functional bacterial communities involved in nitrification/denitrification and nitrate/nitrite respiration in rhizosphere soil. A FunGuild analysis showed that the synergy of PE-microplastics and Cd increased the abundance of saprophytic fungi, suggesting an enhanced degradation function. Our findings provide new knowledge on the effects of microplastics and heavy metals on soil microorganisms and functional microbial communities in agricultural soil.

  • RESEARCH ARTICLE
    Pei Chen , Yu Cheng , Ning Wang , Jian-Guang Yu , Ying Zhao , Li-Hong Xue

    ● Straw return lowered the abundances of nirS and nosZ genes in low nitrogen soil.

    ● Straw return elevated the abundances of nirK , nirS , and nosZ genes in high nitrogen soil.

    ● Straw return decreased the relative abundances of root exudates in low nitrogen soil.

    ● Straw return increased the relative abundances of root exudates in high nitrogen soil.

    ● Alerted composition of root exudates and soil metabolites shaped rhizosphere denitrifying bacteria.

    Rhizosphere denitrification is affected by straw return. However, the roles of root exudates and soil metabolites in shaping denitrifying bacteria under wheat straw return are relatively unexplored. Here, wheat straw was amended at 2% (w/w) to two paddy soils with different levels of nitrogen for rice cultivation, which altered the denitrifying bacterial community compositions of both soils. However, straw amendment decreased the abundances of the nirS and nosZ genes by 63.7% and 30.3% in the low nitrogen soil from Taizhou (TZ) but increased the nirK, nirS, and nosZ gene abundances by 116%, 81.0%, and 155.5% for the high nitrogen soil from Yixing (YX). Correspondingly, straw amendment decreased the relative abundance of root exudates in the categories of amino acids and benzenes for rice cultivated in TZ soil but increased the relative abundance of root exudates in the categories of amino acids for rice grown in YX soil. With elevated root exudates, straw amendment enhanced the relative abundances of many soil metabolites in YX soil such as sorbitol, myristic acid, and pentadecanoic acid, with fold changes > 2. These results suggest that straw return may alter the composition of root exudates and soil metabolites thereby affecting rhizosphere denitrifying bacterial communities and function genes.

  • RESEARCH ARTICLE
    Rita C. Bicho , Janeck J. Scott-Fordsmand , Mónica J.B. Amorim

    ● Impacts of soil moisture levels from 10% to 100% on two soil invertebrates.

    E. crypticus and F. candida survived at extreme scenarios (10% and 100%).

    ● For both species, reproduction was severely reduced in extreme scenarios.

    ● Higher adaptative phenotypic plasticity for F. candida compared to E. crypticus .

    Knowledge on impacts of climate change on soil invertebrate communities is scarce. Amongst the biggest challenges are the increase in temperature and arid regions, while at the same time, in other parts of the planet, extreme precipitation events and flooding occur. The aim of the present study was to investigate the impacts of drought and flooding in soil invertebrates. Enchytraeus crypticus and Folsomia candida, model ecotoxicology test-species (OECD) were used to assess performance (survival, reproduction, size) in LUFA 2.2 soil moistened to 10%, 20%, 30%, 40%, 50%, 60%, 70%, 80%, 90%, 100% of the soil water holding capacity (WHC). Overall, both species had high tolerance for drought and flooding scenarios, with survival threshold for E. crypticus being between 10% and 90% moisture and for F. candida being between 10% and 100% moisture. Reproduction decreased from moisture ≤30% and >70% moisture. In drought there was a decrease on adults’ size, for both species from ≤30% moisture. The morphological adaptations observed support evidence of adaptative phenotypic plasticity for both species, but highest for F. candida. A redistribution of soil invertebrate species can be expected to occur, this under the present and future climate change scenarios, with new and more tolerant species to prevail in different habitats. This will impact not only soil biodiversity structure, but also its function.

  • RESEARCH ARTICLE
    Yunhao Wang , Chenchen Qu , Hao Liao , Wenli Chen , Qiaoyun Huang

    ● Benzonase removes relic DNA twice as efficiently as PMA and is adaptable across more types of soil than DNase I.

    ● Relic DNA removal leads to an approximately 10% reduction in soil microbial diversity and richness on average.

    ● The abundance of soil relic DNA is higher than previously expected.

    Microbes play a crucial ecological role in soils, but the presence of relic DNA left by previous microorganisms can lead to inaccurate estimations of viable microbial function and diversity. To address this, we proposed a new method for removing relic DNA in soil using Benzonase endonuclease and compared it with propidium monoazide (PMA) and DNase I, which have been widely applied in viable microbiome studies. Unlike PMA, Benzonase does not require light activation and is suitable for use in opaque media such as soil. Therefore, its efficiency (40%−60%) in removing soil relic DNA was twice that of PMA (0−30%). Moreover, our results showed that Benzonase outperformed DNase I in most soils, probably due to its broader range of operating conditions compared to DNase I. In addition to higher relic DNA removal efficiency, Benzonase exhibited a weak impact on soil viable microbial communities. Subsequently, Benzonase was used to remove relic DNA in natural soils, and the results showed that relic DNA removal led to an approximately 10% reduction in microbial diversity and richness on average. Notably, it caused significant changes in the relative abundance of specific taxa, such as Bacillus and Sphingomonas. These findings reveal disparities between total and viable microbiomes in soils. Our study not only provides a reliable method for soil relic DNA removal but also highlights the necessity of relic DNA removal for viable soil microbiome assessments, laying the methodological foundation for advancing soil microbial ecology research.

  • RESEARCH ARTICLE
    Yaping Lin , Qing Yi , Dandan Gao , Jiangnan Li , Wei Zhang , Kelin Wang , Dan Xiao , Peilei Hu , Jie Zhao

    Soil fertility is one of the key determinants of agricultural productivity. Soil food webs play an important role in driving soil nutrient cycling and plant health. However, it is poorly known how the soil food web composition and complexity affect plant growth and soil fertility. In this study, soil microorganisms and nematodes isolated from two soil types (i.e., calcareous soil and red soil) and two land use types (i.e., corn-soybean cultivation and natural grass-shrubland) were used to sequentially establish four soil micro-food webs (FW1, FW2, FW3, and FW4) with increasing levels of community complexity based on food web complexity. The four micro-food webs were inoculated to sterilized soils which were then planted with soybeans for three months in a pot experiment under ambient environment. The sterilized soil without food web inoculation was employed as control (C) and unsterilized soil with its original food web was also regarded as a treatment (US) in the experiment. The effects of soil micro-food web complexity on soil nutrient and soybean growth were explored. The results showed that soil total nitrogen (TN) and phosphorus (TP), soil microbial biomasses, and plant nitrogen and phosphorus were generally higher in the four food web inoculation treatments than in the control or unsterilized soil. Surprisingly, the original soil food web treatment (i.e., unsterilized soil) had lower soil or soybean nutrient than the no food web treatment (i.e., sterilized soil). In addition, the complexity of inoculated food webs was positively correlated with soil TN, TP, and total potassium (TK). These results suggest that soil micro-food web complexity is an important driver of soil fertility and affects crop growth. Particularly, complex soil micro-food web maintains higher soil fertility and crop growth. This study provides solid evidence of the roles of soil food web in controlling ecosystem services; and the findings could provide a better understanding of the soil food web structure and soil fertility relationships.

  • RESEARCH ARTICLE
    Juan P. Frene , Rajan Ghimire , Sundar Sapkota , Sangamesh V. Angadi

    Climate change has caused high weather variability, affecting crop production in arid and semi-arid regions. Circular buffer strips (CBS) of perennial native grasses can produce crops with less irrigation water while providing other ecological services. This study investigated the impact of CBS grasses on microbial abundances and soil health in water-limited semi-arid agroecosystems over five years (2017−2021). Experimental plots included corn (Zea mays L.) with and without buffer strips grass (BSG) in two adjoining center pivots. Soil samples were collected from 0−20, 20−40, 40−60, and 60−80 cm depths and analyzed for microbial community composition using phospholipid fatty acid (PLFA) indicators. Soils under BSG had greater biomass after the third year (37%), and this increase in microbial biomass was particularly mycorrhizal fungi. A significant decrease in microbial biomass with soil depths was also observed. Microbial biomass growth was strongly associated with annual precipitation, with water availability influencing the upper layers (0−20 and 20−40 cm) and soil nutrients, mainly nitrogen (NO3-N) and pH, affecting the deeper layers (40−60 and 60−80 cm). Incorporating BSG in cropping systems modifies soil microbial communities, primarily the fungal component while increasing soil health and boosting plant-soil microbial interactions.

  • RESEARCH ARTICLE
    Heng Wang , Qiusheng Wu , Hengyi Wang , Fukang Liu , Debin Wu , Xiaofang Wang , Quan Yuan

    Microorganisms were reported to be the indicators and drivers of metal(loid)s-contaminated soils. Chloroflexota is a widely-distributed phylum in arsenic (As) and antimony (Sb) contaminated soils, but the diversity and functional potential of its genomes remain largely unknown. In this study, we collected As and Sb contaminated soils from smelting-affected agricultural soils and mining soils, with the latter exhibiting much higher concentrations of As (mean 19421.2 mg kg−1) and Sb (mean 4953.5 mg kg−1) as well as lower carbon and nitrogen levels. We reconstructed 170 medium- to high-quality metagenome-assembled genomes (MAGs) of Chloroflexota from these soils. A total of 11 MAGs were proposed as novel candidate species, including 3 novel candidate genera affiliated with the classes Ktedonobacteria, Limnocylindria, and Dormibacteria. Functional annotation reveals that many MAGs from Ktedonobacteria and Dormibacteria may have novel potential for carbon fixation through the Calvin–Benson–Bassham cycle. Additionally, many Chloroflexota MAGs harbored essential genes involved in enhancing soil phosphorus (P) availability. In Chloroflexota MAGs, the gene responsible for extracellular oxidation, dldH, rather than the intracellular oxidation gene arsO, was widespread for Sb(III) oxidation. Under heavy As and Sb contamination and nutrient limitation, Chloroflexota MAGs exhibited higher guanine-cytosine contents and smaller genome sizes. Moreover, MAGs derived from these conditions were enriched with a higher proportion of genes related to Sb oxidation, As/P transport, As reduction and methylation, as well as pathways involved in carbohydrate degradation and bioavailable nitrogen biosynthesis. These findings might be helpful for developing bioremediation strategy for Chloroflexota in As/Sb contaminated soils.

  • RESEARCH ARTICLE
    Zhichao Xu , Run Zhou , Guoren Xu

    Biochar has been widely used for soil improvement, but uncertain results persist due to diverse biochar characteristics, soil properties, and crop responses. Therefore, the effects of biochar on crop yields and soil quality were evaluated using effect size method from 1011 paired data points from field trials, based on a global meta-analysis method. The results indicated that biochar with a higher total phosphorus concentration (≥1.0%), total carbon concentration (≥70%), and specific surface area (≥50 m2 g‒1) were optimal for improving crop yields. For improving crop yields, biochar made from manure (effect size, 42%) outperformed that made from ligneous (22%) or cereal (12%) material. Porous, acidic, or young soil types were optimal for biochar application, while sandy and clay soils were preferred over loam soil. Soils with lower available nitrogen (<80 mg kg‒1), phosphorus (<10 mg kg‒1), potassium (<120 mg kg‒1), pH (<4.5), and cation exchange capacity (<10 cmol kg‒1) were more effective on crop yield increases. The effect of biochar on yield was higher for cash crops (oil plants: 37%, vegetables: 28%) compared to food crops (legumes: 26%, maize: 20%, wheat: 12%, rice: 6%), but with no significant effect observed on rice (P=0.788). Finally, biochar increases crop yields by improving soil quality through enhanced levels of soil organic carbon, total nitrogen, ammonium-nitrogen, nitrate-nitrogen, and soil pH while reducing soil bulk density. Our research enhances understanding of the relationships between biochar, soil, and crops, aiding researchers, manufacturers, and farmers in making informed decisions regarding biochar selection, planting locations, and crop choices.

  • RESEARCH ARTICLE
    Biao Feng , Lin Chen , Jinyong Lou , Meng Wang , Wu Xiong , Ruibo Sun , Zhu Ouyang , Zhigang Sun , Bingzi Zhao , Jiabao Zhang

    Protists are essential components of the rhizosphere microbiome, which is crucial for plant growth, but little is known about the relationship between plant growth and rhizosphere protists under salinity stress. Here we investigated wheat (Triticum aestivum L.) rhizosphere protistan communities under naturally occurring salinity (NOS) and irrigation-reduced salinity (IRS), and linked a plant salinity stress index (PSSI) to different protistan groups in a nontidal coastal saline soil. We found that the PSSI was significantly correlated with rhizosphere cercozoan communities (including bacterivores, eukaryvores, and omnivores) and that these communities were important predictors of the PSSI. Structural equation modeling suggested that root exudation-induced change in bacterial community composition affected the communities of bacterivorous and omnivorous Cercozoa, which were significantly associated with the PSSI across wheat cultivars. Network analysis indicated more complex connections between rhizosphere bacteria and their protistan predators under IRS than under NOS, implying that alleviation of salinity stress promotes the predation of specific cercozoans on bacteria in rhizospheres. Moreover, the Cercomonas directa inoculation was conducive to alleviation of salinity stress. Taken together, these results suggest that the physiological response of wheat plants to salinity stress is closely linked to rhizosphere Cercozoa through trophic regulation within the rhizosphere microbiome.

  • RESEARCH ARTICLE
    Miquel Ferrín , Laura Márquez , Xavier Domene , Dong Zhu , Yong-Guan Zhu , Josep Peñuelas , Guille Peguero

    Nanoplastics and antibiotics are among the most abundant chemical pollutants of soils, but their interplay with global warming remains poorly understood. The springtail Folsomia candida (Class Collembola) is a standard model for ecotoxicological assays with potential as a bioindicator ofxenobiotics. Little is known, however, about their gut microbiome and how itmight respond to warming and these pollutants. We exposed populations of F. candida to nanoplastics and antibiotic under two temperatures. The antibiotic treatment consisted of colistin addition, and the nanoplastic treatment consisted of polystyrene particles (50 mg kg‒1 and 0.1 g kg‒1 of dry soil, respectively). Both treatments were incubated at 20 and 22 °C for two months, and the bacterial gut microbiomes of springtails were then sequenced. Exposure to nanoplastics at 20 °C decreased the abundance of the dominant bacterial phyla and families, and decreased the evenness of the gut microbiome. At 22 °C, however, the abundances and evenness of the dominant families increased. Surprisingly, Gram-negative bacteria targeted by colistin were not globally affected. And at genus-level, the endosymbiont Wolbachia controlled the compositional shifts under nanoplastic addition, potentially driving the gut microbiome. Our results also indicated that warming was a major driver modulating the impacts of the antibiotic and nanoplastics. We illustrate how the gut microbiomes of springtails are sensitive communities responsive to xenobiotics and provide evidence of the need to combine multiple factors of global change operating simultaneously if we are to understand the responses of communities of soil arthropods and their microbiomes.

  • RESEARCH ARTICLE
    Tong-Tao Hu , Dong Bu , Yang Zhang , Fang-Chao Wang , Jian-Jun Li , Kui-Ling Zu , Ming-Hui Meng , Chao Liang , Xiang-Min Fang

    The soil nitrogen (N) supply plays a core role in nutrient cycling, whereas phosphorus (P) is generally considered the limiting element of ecological processes in subtropical forests. However, the specific characteristics and regulatory mechanisms governing how P affects soil N mineralization remain incompletely understood. P fertilizer is often applied in bamboo forests, and we collected bulk soil and two types of rhizosphere soils (soils surrounding stump roots and rhizome roots, respectively) from a bamboo forest and conducted microcosm experiments with P addition (PA) to simulate the application of P fertilizer. The N mineralization and microbial and enzymatic parameters of the rhizosphere and bulk soils presented the same response to PA. PA increased the rate of net N mineralization and ammonification, suggesting that PA is beneficial to the N supply in the soil. PA increased the soil bacterial biomass but decreased the fungi:bacteria ratio. The soil enzyme C:N:P ratio indicated that the microbial community was subjected to P limitation. PA resulted in an increase in the enzyme C:P and N:P ratios and a decrease in the enzyme vector angle, suggesting alleviation of P limitation in the soil microbial community. Hierarchical partitioning and Pearson correlation analyses revealed that enzymatic stoichiometry and the vector angle were key regulators of soil N mineralization. These results indicate that PA can not only increase the concentration of soil P but also enhance the soil N supply in subtropical P-limited forests, primarily through changes in microbial nutrient limitation rather than in microbial biomass or community structure.

  • RESEARCH ARTICLE
    Sudharsanam Abinandan , Kuppan Praveen , Kadiyala Venkateswarlu , Mallavarapu Megharaj

    Microalgae play a key role as primary colonizers of soil, enhancing plant growth and improving soil health. Seed priming is a widely used method to improve seedling performance, counteract soil-related stresses, and boost plant productivity. Here we investigated the impact of priming dwarf pea seeds with live cells or disrupted cell mass of two microalgae, Desmodesmus sp. MAS1 and Heterochlorella sp. MAS3, on plant growth response and rhizosphere health. Plant growth metrics, rhizosphere health parameters, and nutrient status indicators were investigated 21 days after sowing in two different soils (designated as A and B) with varying pH. Results revealed that priming significantly improved the biochemistry of rhizosphere in soil B (pH 8), with over 30% increases in leaf count and fresh weight compared to soil A (pH 6). While flowering rates remained low, priming with strain MAS1 significantly enhanced chlorophyll (20%), indole-3-acetic acid (61%), and dehydrogenase activity (50%). Furthermore, strain MAS1 boosted nutrient availability in the rhizosphere, with a 30%–60% increase in carbon and nitrogen levels, promoting exopolysaccharide release. Our findings thus demonstrate the potential of seed priming with microalgae in modulating rhizosphere health, thereby enhancing plant growth and productivity.

  • RESEARCH ARTICLE
    Lukang Song , Li Liu , Linjiao Wang , Maoyin Sheng

    To understand the sequestration characteristics and mechanisms of soil PhytOC (phytolith-occluded organic carbon) in large-diameter bamboo forests, the soil PhytOC accumulation of the P. edulis forests and B. emeiensis forests in the karst and non-karst zones of southwest China were studied by the methods of field sampling, laboratory measurement, and statistic analysis. The study yielded the following results and conclusions: 1) The PhytOC content and storage in the 0‒30 cm soil profile of the P. edulis forests range from 0.16‒1.85 g kg‒1 and 0.14‒1.41 t hm‒2, respectively. Similarly, the PhytOC content and storage in the 0‒30 cm soil profile of the B. emeiensis forests vary between 0.56‒2.44 g kg‒1 and 0.49‒2.07 t hm‒2, respectively. 2) Stand age and bedrock type significantly influence the accumulation of soil PhytOC in both P. edulis forests and B. emeiensis forests. The mature forests exhibit the highest soil PhytOC content and storage in both types of bamboo forests. Additionally, the soil PhytOC content in karst bamboo forests is notably higher compared to that in the non-karst area. 3) Soil available Si is identified as one of the critical factors affecting the soil PhytOC accumulation in bamboo forests. Results of the present study are of great significance for estimating the phytolith carbon sequestration capacity of bamboo forests and for bamboo forest construction and management aimed at enhancing carbon sequestration.

  • RESEARCH ARTICLE
    Chenxia Su , Ronghua Kang , Wentao Huang , Ang Wang , Xue Li , Kai Huang , Qiang Zhou , Yunting Fang

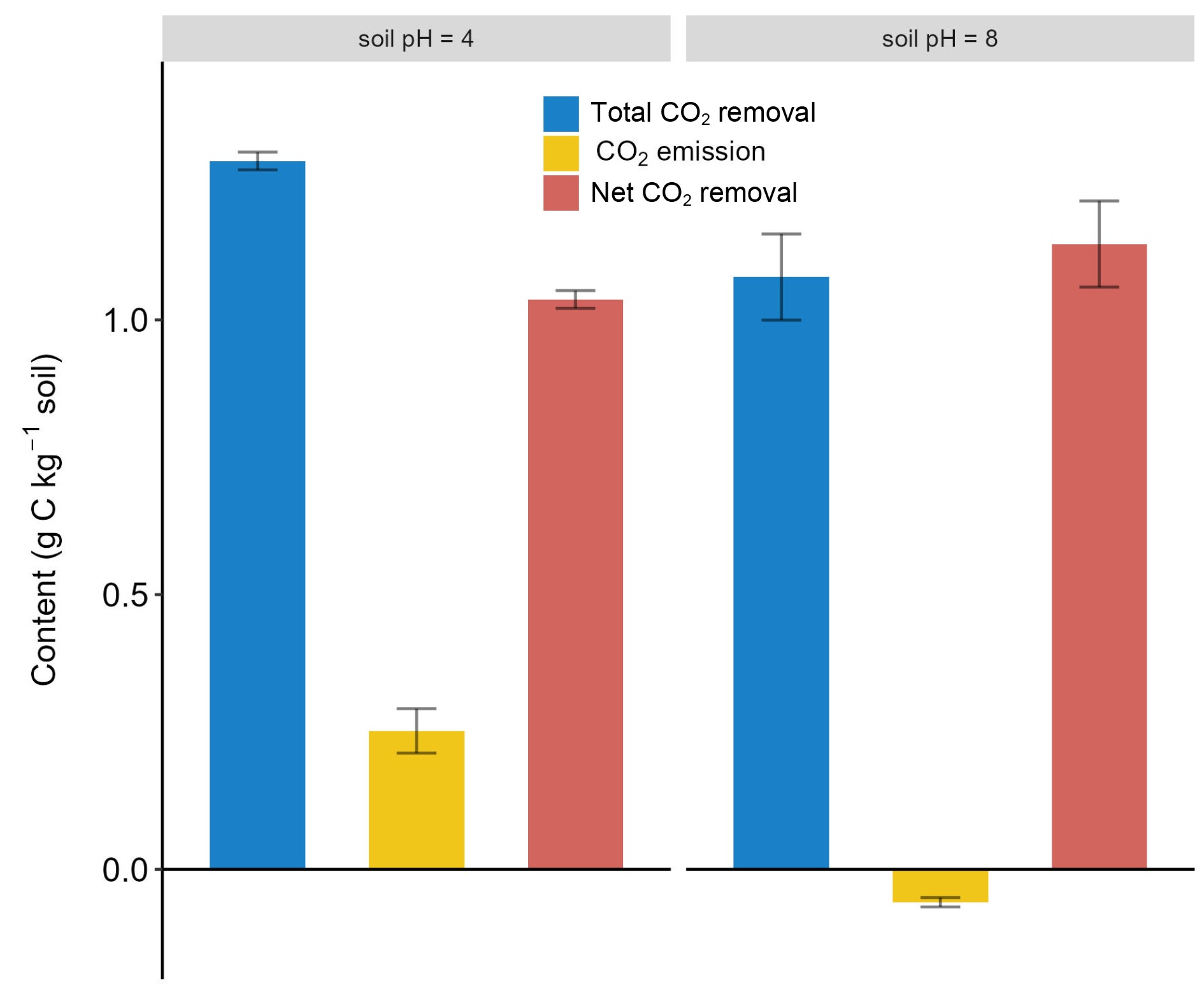
    The application of silicate rock powder to agricultural soils is a promising strategy for atmospheric CO2 removal. However, most research focuses on inorganic carbon sequestration via enhanced rock weathering, overlooking its impact on soil organic carbon (SOC) decomposition, which is essential for quantifying net CO2 removal. To address this gap, we conducted a 233-day incubation experiment to investigate the impact of wollastonite powder on soil CO2 emissions, SOC decomposition, pH, and cation concentrations across three agricultural soils with pH levels of 4.4, 5.6, and 7.7. Results showed 89.0% and 74.4% rock powder weathering in the most acidic and alkaline soils, respectively. In acidic soils, wollastonite powder addition increased CO2 emissions due to the release of intrinsic CaCO3 containing in wollastonite or/and SOC. However, these CO2 emissions accounted for less than 20% of the total CO2 removal by wollastonite weathering. In contrast, alkaline soils experienced a reduction in CO2 emissions with wollastonite powder amendment. Net CO2 removal for soils with pH 4.4 and 7.7 were 1.0 and 1.1 g C kg−1 soil, respectively. This study confirms that wollastonite weathering is effective for CO2 mitigation regardless of soil pH.

  • RESEARCH ARTICLE
    Jie Fang , Zihao Liu , Yongcui Deng , Bin Song , Xiangzhen Li , Jonathan M. Adams

    Biogeographic patterns of microbial communities in wetland soils at broad scales remain underexplored compared to those in well-drained soils, particularly regarding abundant and rare taxa. Here, we investigated the ecological distributions and assembly mechanisms of abundant and rare bacterial sub-communities and explored their underlying environmental drivers in inland wetland soils across eastern China. Both bacterial sub-communities exhibited significant distance-decay relationships (DDR), with a stronger DDR observed for abundant sub-communities due to more pronounced environmental filtering and dispersal limitation. Deterministic processes predominantly governed bacterial communities (62%‒97%), while stochasticity played a larger role in rare sub-communities (38%) compared to abundant ones (4.0%). Soil pH emerged as a dominant factor influencing bacterial communities and mediated the assembly of both sub-communities. The diversity of overall and rare taxa increased with pH and peaked at pH of 8.31, followed by an abrupt decline, suggesting a threshold effect on their ecological distributions. When pH exceeded 8.31, bacterial communities rapidly converged to more deterministic assemblages (especially for abundant taxa), with decreased species coexistence and increased negative cohesion (i.e., reflecting the degree of competition), suggesting intensified niche-based exclusion among bacterial communities. Collectively, this broad-scale study provides new insights into pH-related rules governing wetland bacterial biospheres and underscores the distinct biogeographic patterns between abundant and rare bacteria. The abrupt threshold of soil bacteria identified can inform effective adaptation and conservation efforts to sustain wetland ecosystem functioning.

  • RESEARCH ARTICLE
    Lihua Wang , Wenjing Liu , Xueya Zhou , Shenglei Fu , Ping Yang , Chuan Tong , Hong Yang , Dongyao Sun , Linhai Zhang , Wanyi Zhu , Kam W. Tang

    Labile organic carbon (LOC) plays a pivotal role in soil biogeochemistry and ecological functions. China’s coastal wetlands have been profoundly impacted due to plant invasion and land use change, but the effects on soil LOC quantity and composition are unclear. This study analyzed the soil LOC components—namely, dissolved organic carbon (DOC), easily oxidizable carbon (EOC), and microbial biomass carbon (MBC)—across twenty-one coastal wetlands in southeastern China. These wetlands underwent a uniform land cover transition from native mudflats (MFs) to Spartina alterniflora marshes (SAs), and eventually to aquaculture ponds (APs). The results indicated that EOC was the dominant component of soil organic carbon (SOC) (57.5%–61.6%), followed by MBC (3.5%–4.5%) and DOC (<0.5%). The transition from MFs to SAs led to a rise in mean EOC and DOC by 18.6% and 41.4%, respectively. Subsequent conversion of SAs to APs resulted in a reduction in mean EOC and DOC by 5.9% and 20.3%, respectively. MBC did not differ significantly among habitat types. Total nitrogen availability was the main driver of changes in LOC across both land cover change scenarios. The mineralization rate of SOC were more strongly correlated with DOC than EOC and MBC. Microbial turnover of EOC was temperature dependent across the geographical range. These finds highlighted that plant invasion and land use change affected LOC fractions and subsequent SOC stability and carbon emissions in coastal wetlands.

  • RESEARCH ARTICLE
    Xinghan Zhao , Zhi Quan , Geshere Abdisa Gurmesa , Bin Huang , Haoming Yu , Feifei Zhu , Zhifeng Xun , Chang Liu , Dong Liu , Xiusen Yang , Jie Li , Yunting Fang , Caiyan Lu , Xin Chen

    The application of nitrification inhibitors (NIs) and crop straw with nitrogen (N) fertilizers is a common practice aimed at enhancing soil N conservation and improving crop N use. However, their effects on gaseous N emissions from soils, particularly for N2, are less understood. We conducted a 60-day soil incubation experiment under controlled conditions (80% water-filled pore space and 25°C) to investigate the effects of NI or maize straw application on N2O and N2 emissions from two typical upland soils: a Mollisol and an Inceptisol, which have contrasting pH values. Both soils were fertilized with 15N-labeled urea. During the incubation period, cumulative N2O and N2 emissions for the urea-only treatment in the Mollisol were 0.5 and 12 mg N kg‒1 soil, respectively, while emissions in the Inceptisol reached 15 and 176 mg N kg‒1. The application of NI (dicyandiamide) reduced N2O emissions by 66%‒72% in both soils and decreased N2 emissions by 81% in the Inceptisol, although it increased N2 emissions by 15% in the Mollisol. Straw application also reduced N2O emissions by 60% in the Mollisol and by 4% in the Inceptisol, but it increased N2 emissions by 75%‒96% in both soils. Notably, the increased N2 emissions following straw incorporation were primarily soil-derived rather than fertilizer-derived in both soils. These findings reveal that the applications of NIs or straw have varying impacts on N2O and N2 emissions across different soils, and that NI application could be a promising strategy to reduce high gaseous N losses in Inceptisol following N fertilization.

  • RESEARCH ARTICLE
    Huiying Li , Bo Tang , Anika Lehmann , Rebecca Rongstock , Yanjie Zhu , Matthias C. Rillig

    A range of land management practices are available to achieve better soil quality, but their combined effects remain understudied. We hypothesize that more diverse management practices, meaning higher dissimilarity, lead to stronger effects on soil functions and properties. Eight practices (biochar, compost, clay, amorphous silica, basalt, microbial inoculum, reduced physical disturbance and organic matter diversity) were selected with 20 replicates for treatments involving 2, 4, or 6 factors and 10 replicates for 8 factor treatments. We investigated the impact of individual factors, factor number, factor dissimilarity and factor composition on soil respiration, soil enzymatic activities (β-glucosidase, β-D-cellobiosidase, β-N-acetylglucosaminidase and phosphatase), soil pH, water stable aggregates and permanganate oxidizable carbon fraction. By including dissimilarity in addition to factor number, variance explained for soil respiration and enzymatic activities increased up to 54.21%. For soil pH and water-stable aggregates, explained variability increased to 65.57% and 57.38%, respectively. More diverse management practices boosted soil microbial activities, enhanced soil aggregate stability, improved soil pH while reducing labile carbon, whereas factor number only influenced water stable aggregates and soil pH. Our study highlights the importance of management practices diversity in soil functions and properties and calls for further research on synergistic combinations of diverse interventions.

  • RESEARCH ARTICLE
    Martin Aguirrebengoa , Beatriz Moreno , Nuria Guirado , Rafael Núñez , María L. Fernández-Sierra , Fernando Reyes , Jesús Martín , Emilio Benítez

    The objective of this study was to investigate the combined effect of soil amendments and pest attack on plant-induced defense and their impact on a biological control agent’s behavior. The effects of olive mill wastes revalorized through vermicomposting on the aboveground tri-trophic interactions among olive trees (Olea europaea), the olive seed-feeder, Prays oleae, and its natural predator, Chrysoperla carnea, were evaluated. The findings demonstrate that soil nitrogen and organic carbon levels, in conjunction with fungal diversity and functionality within olive roots, exert a significant influence on the volatile compounds emitted by the plant underattack that are most appealing to C. carnea. Moreover, the attractivenessof aerial volatiles was found to correlate with soil organic carbon content and the taxonomic and functional diversity of both bacteria and fungi in the olive root system. It is worthy of note that three particular volatile compounds, namely 5-hepten-2-one-6-methyl, acetic acid and nonanal, were consistently observed to attract C. carnea. These findings highlight the potential of soil amendments to enhance biological control strategies. Future research should prioritise the validation the greenhouse findings through large-scale field trials and the assessment of the practical applications of soil amendments in pest management programmes.

Publishing model
1

{"submissionFirstDecision":"30","jcrJfStr":"4.3 (2024)","editorEmail":"zhangxl@hep.com.cn"}

Downloads

{"submissionFirstDecision":"30","jcrJfStr":"4.3 (2024)","editorEmail":"zhangxl@hep.com.cn"}
1

ISSN 2662-2289 (Print)
ISSN 2662-2297 (Online)