2024-12-15 2024, Volume 17 Issue 4
  • Cover illustration

    Harnessing the unique properties of light, photonic quantum computing revolutionizes data processing by encoding information in photons, offering unprecedented speed and efficiency for solving complex problems that traditional methods struggle to address. Photonic quantum computers can exponentially accelerate computational tasks in applications such as cryptography, material science simulations, and optimization algorithms. Their practical uses extend to healthcare, artificial intelligenFor more details, please refer to the article entitled “Information processing at the speed of light” by Muhammad AbuGhanem, Front. Optoelectron., 2024, 17(4): 33.
    [Detail] ...

    Download cover

  • Select all
  • LETTER
    Zihao Song, Gaozhu Wang, Jincong Pang, Zhiping Zheng, Ling Xu, Ying Zhou, Guangda Niu, Jiang Tang

    Direct X-ray detectors based on semiconductors have drawn great attention from researchers in the pursuing of higher imaging quality. However, many previous works focused on the optimization of detection performances but seldomly watch them in an overall view and analyze how they will influence the detective quantum efficiency (DQE) value. Here, we propose a numerical model which shows the quantitative relationship between DQE and the properties of X-ray detectors and electric circuits. Our results point out that pursuing high sensitivity only is meaningless. To reduce the medical X-ray dose by 80%, the requirement for X-ray sensitivity is only at a magnitude of 103 µCGy-1·cm-2. To achieve the DQE = 0.7 at X-ray sensitivity air from 1248 to 8171 µCGy-1air·cm-2, the requirements on dark current density ranges from 10 to 100 nA·cm-2 and the fluctuation of current density should fall in 0.21 to 1.37 nA·cm-2.

  • REVIEW ARTICLE
    Muhammad AbuGhanem

    In recent years, quantum computing has made significant strides, particularly in light-based technology. The introduction of quantum photonic chips has ushered in an era marked by scalability, stability, and cost-effectiveness, paving the way for innovative possibilities within compact footprints. This article provides a comprehensive exploration of photonic quantum computing, covering key aspects such as encoding information in photons, the merits of photonic qubits, and essential photonic device components including light squeezers, quantum light sources, interferometers, photodetectors, and wave-guides. The article also examines photonic quantum communication and internet, and its implications for secure systems, detailing implementations such as quantum key distribution and long-distance communication. Emerging trends in quantum communication and essential reconfigurable elements for advancing photonic quantum internet are discussed. The review further navigates the path towards establishing scalable and fault-tolerant photonic quantum computers, highlighting quantum computational advantages achieved using photons. Additionally, the discussion extends to programmable photonic circuits, integrated photonics and transformative applications. Lastly, the review addresses prospects, implications, and challenges in photonic quantum computing, offering valuable insights into current advancements and promising future directions in this technology.

  • RESEARCH ARTICLE
    Jing Wang, Shuang Liu, Weili Fan, Shuo Wang, Cuicui Lu, Yafeng He, Fucheng Liu, Xiaoyong Hu

    Continuous development of photonic crystals (PCs) over the last 30 years has carved out many new scientific frontiers. However, creating tunable PCs that enable flexible control of geometric configurations remains a challenge. Here we present a scheme to produce a tunable plasma photonic crystal (PPC) ‘kaleidoscope’ with rich diversity of structural configurations in dielectric barrier discharge. Multi-freedom control of the PPCs, including the symmetry, dielectric constant, crystal orientation, lattice constant, topological state, and structures of scattering elements, has been realized. Four types of lattice reconfigurations are demonstrated, including transitions from periodic to periodic, disordered to ordered, non-topological to topological, and striped to honeycomb Moiré lattices. Furthermore, alterations in photonic band structures corresponding to the reconstruction of various PPCs have been investigated. Our system presents a promising platform for generating a PPC ‘kaleidoscope’, offering benefits such as reduced equipment requirements, low cost, rapid response, and enhanced flexibility. This development opens up new opportunities for both fundamental and applied research.

  • RESEARCH ARTICLE
    Guobao Zhao, Xi Zheng, Xiao Huang, Yijun Lu, Zhong Chen, Weijie Guo

    Mini-LED backlight has emerged as a promising technology for high performance LCDs, yet the massive detection of dead pixels and precise LEDs placement are constrained by the miniature scale of the Mini-LEDs. The high-resolution network (Hrnet) with mixed dilated convolution and dense upsampling convolution (MDC-DUC) module and a residual global context attention (RGCA) module has been proposed to detect the quality of vehicular Mini-LED backlights. The proposed model outperforms the baseline networks of Unet, Pspnet, Deeplabv3+, and Hrnet, with a mean intersection over union (Miou) of 86.91%. Furthermore, compared to the four baseline detection networks, our proposed model has a lower root-mean-square error (RMSE) when analyzing the position and defective count of Mini-LEDs in the prediction map by canny algorithm. This work incorporates deep learning to support production lines improve quality of Mini-LED backlights.

  • RESEARCH ARTICLE
    Huanjie Cheng, Guosheng Lin, Di Xia, Liyang Luo, Siqi Lu, Changyuan Yu, Bin Zhang

    Mid-infrared (MIR) Kerr microcombs are of significant interest for portable dual-comb spectroscopy and precision molecular sensing due to strong molecular vibrational absorption in the MIR band. However, achieving a compact, octave-spanning MIR Kerr microcomb remains a challenge due to the lack of suitable MIR photonic materials for the core and cladding of integrated devices and appropriate MIR continuous-wave (CW) pump lasers. Here, we propose a novel slot concentric dual-ring (SCDR) microresonator based on an integrated chalcogenide glass chip, which offers excellent transmission performance and flexible dispersion engineering in the MIR band. This device achieves both phase-matching and group velocity matching in two separated anomalous dispersion regions, enabling phase-locked, two-color solitons in the MIR region with a commercial 2-μm CW laser as the pump source. Moreover, the spectral locking of the two-color soliton enhances pump wavelength selectivity, providing precise control over soliton dynamics. By leveraging the dispersion characteristics of the SCDR microresonator, we have demonstrated a multi-octave-spanning, two-color soliton microcomb, covering a spectral range from 1156.07 to 5054.95 nm (200 THz) at a -40 dB level, highlighting the versatility and broad applicability of our approach. And the proposed multi-octave MIR frequency comb is relevant for applications such as dual-comb spectroscopy and trace-gas sensing.

  • CORRECTION
    Yitong Lin, Yu Zhong, Yangpeng Lin, Jiawei Lin, Lei Pang, Zhilong Zhang, Yi Zhao, Xiao-Ying Huang, Ke-Zhao Du
  • RESEARCH ARTICLE
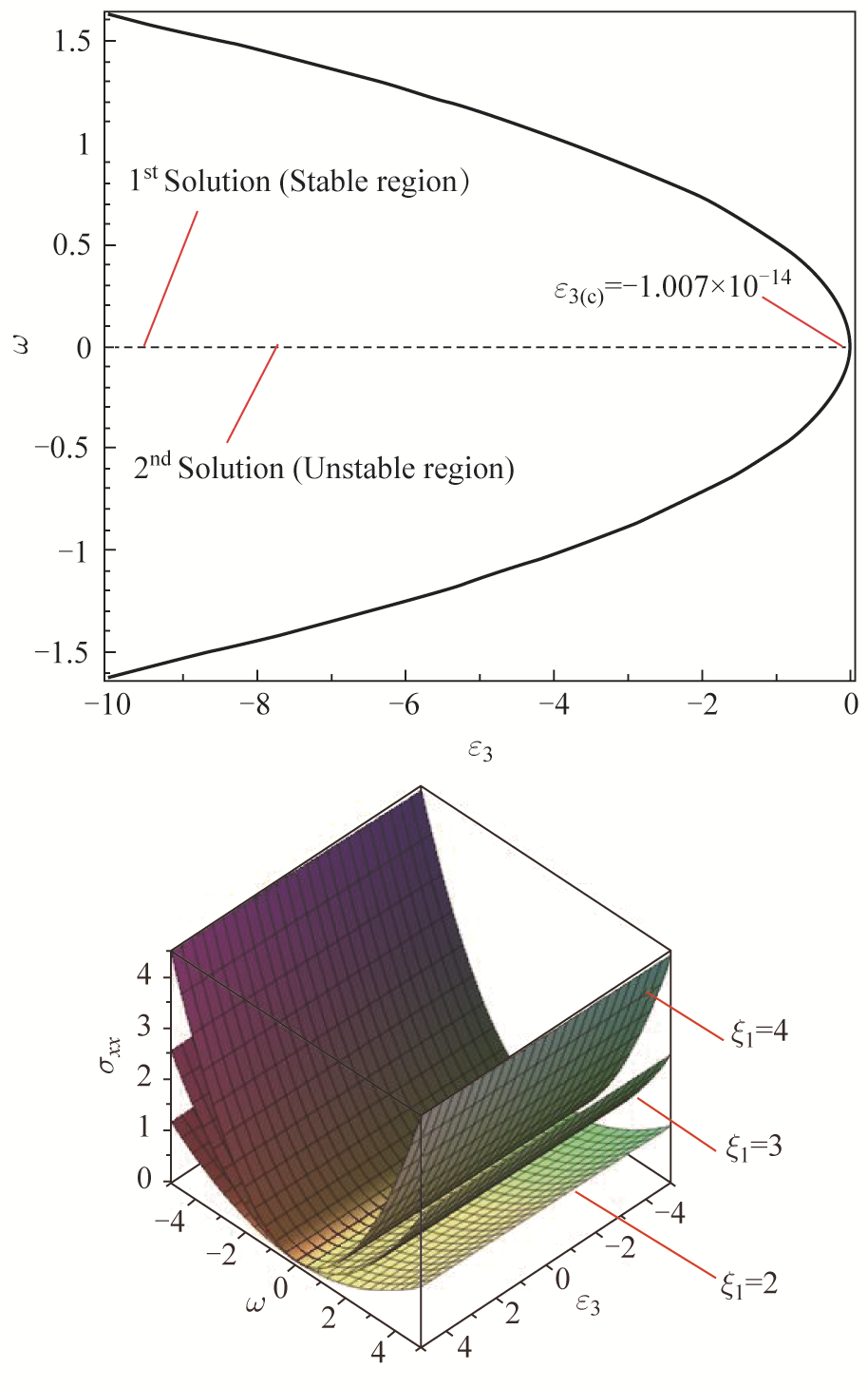
    A. El-Dali, Mohamed I. A. Othman

    In the current work, we investigate a novel technique specialized in stability perturbation theory to analyze the primary variations such as thermal, carrier, elastic, and mechanical waves in photothermal theory. The interface of the non-local semiconductor material is utilized to study the stability analysis. The problem is established using a 1D opto-electronic-thermoelastic deformation in the context of the photo-thermoelasticity (PTE) framework. The Laplace transform method is used to convert the system from the time domain into the frequency domain, and the boundary conditions for the thermal, elastic, and plasma waves are applied to the interface of the medium. The homotopy perturbation method was used as an innovative approach to analyze the stability of the non-local silicon’s primary physical fields. The numerical inversion method is applied, yielding many graphs focusing on important numerical factors such as non-local effects, thermo-energy, and thermo-electric coupling parameters. Investigating dual solutions between stable and unstable regions for critical parameters like thermo-electric and thermo-energy coupling factors demonstrates that the homotopy perturbation technique can effectively analyze the stability analysis. The comparison between silicon and germanium is illustrated graphically. Utilizing the homotopy perturbation technique, we can effectively examine the stability of the primary physical variations with the effect of some values for eigenvalues approaches.

  • RESEARCH ARTICLE
    Huibin Yang, Minhui Xu, Honghui He, Nan Zeng, Jiawei Song, Tongyu Huang, Ziyang Liang, Hui Ma

    Achilles tendon injuries, as a widely existing disease, have attracted a lot of research interest. Mueller matrix polarimetry, as a novel label-free quantitative imaging method, has been widely used in various applications of lesion identification and pathological diagnosis. However, focusing on the recovery process of Achilles tendon injuries, current optical imaging methods have not yet achieved the label-free precise identification and quantitative evaluation. In this study, using Mueller matrix polarimetry, various Achilles tendon injury samples were characterized specifically, and the efficacy of different recovery schemes was evaluated accordingly. Experiments indicate that injured Achilles tendons show less phase retardance, larger diattenuation, and relatively disordered orientation. The combination of experiments with Monte Carlo simulation results illustrate the microscopic mechanism of the Achilles tendon recovery process from three aspects, that is, the increased fiber diameter, a more consistent fiber orientation, and greater birefringence induced by more collagen protein. Finally, based on the statistical distribution of polarization measurements, a polarization specific characterization parameter was extracted to construct a label-free image, which cannot only intuitively show the injury and recovery of Achilles tendon samples, but also give a quantitative evaluation of the treatment.

  • COMMENT
    Lu Fang

Publishing model
0

{"submissionFirstDecision":"30","jcrJfStr":"5.2 (2024)","editorEmail":"mamm@hep.com.cn"}

Downloads

{"submissionFirstDecision":"30","jcrJfStr":"5.2 (2024)","editorEmail":"mamm@hep.com.cn"}
1

ISSN 2095-2759 (Print)
ISSN 2095-2767 (Online)
CN 10-1029/TN