2021-10-09 2021, Volume 15 Issue 3
  • Select all
  • EDITORIAL
    Wenfeng SHANGGUAN, Akihiko KUDO, Zhi JIANG, Yuichi YAMAGUCHI
  • MINI REVIEW
    Yuichi YAMAGUCHI, Akihiko KUDO

    To solve resource, energy, and environmental issues, development of sustainable clean energy system is strongly required. In recent years, hydrogen has been paid much attention to as a clean energy. Solar hydrogen production by water splitting using a photocatalyst as artificial photosynthesis is a promising method to solve these issues. Efficient utilization of visible light comprised of solar light is essential for practical use. Three strategies, i.e., doping, control of valence band, and formation of solid solution are often utilized as the useful methods to develop visible light responsive photocatalysts. This mini-review introduces the recent work on visible-light-driven photocatalysts developed by substitution with metal cations of those strategies.

  • REVIEW ARTICLE
    Wenwei LEI, Norihiro SUZUKI, Chiaki TERASHIMA, Akira FUJISHIMA, , , ,

    Photocatalysts have attracted great research interest owing to their excellent properties and potential for simultaneously addressing challenges related to energy needs and environmental pollution. Photocatalytic particles need to be in contact with their respective media to exhibit efficient photocatalytic performances. However, it is difficult to separate nanometer-sized photocatalytic materials from reaction media later, which may lead to secondary pollution and a poor recycling performance. Hydrogel photocatalysts with a three-dimensional (3D) network structures are promising support materials for photocatalysts based on features such as high specific surface areas and adsorption capacities and good environmental compatibility. In this review, hydrogel photocatalysts are classified into two different categories depending on their elemental composition and recent progresses in the methods for preparing hydrogel photocatalysts are summarized. Moreover, current applications of hydrogel photocatalysts in energy conversion and environmental remediation are reviewed. Furthermore, a comprehensive outlook and highlight future challenges in the development of hydrogel photocatalysts are presented.

  • MINI REVIEW
    Zhiliang WANG, Yuang GU, Lianzhou WANG

    Photoelectrochemical (PEC) water splitting is regarded as a promising way for solar hydrogen production, while the fast development of photovoltaic-electrolysis (PV-EC) has pushed PEC research into an embarrassed situation. In this paper, a comparison of PEC and PV-EC in terms of efficiency, cost, and stability is conducted and briefly discussed. It is suggested that the PEC should target on high solar-to-hydrogen efficiency based on cheap semiconductors in order to maintain its role in the technological race of sustainable hydrogen production.

  • REVIEW ARTICLE
    Bing LUO, Yuxin ZHAO, Dengwei JING

    Converting solar energy into hydrogen (H2) by photocatalytic water splitting is a promising approach to simultaneously address the increasing energy demand and environmental issues. Half decade has passed since the discovery of photo-induced water splitting phenomenon on TiO2 photoanode, while the solar to H2 efficiency is still around 1%, far below the least industrial requirement. Therefore, developing efficient photocatalyst with a high energy conversion efficiency is still one of the main tasks to be overcome. Graphitic carbon nitride (g-C3N4) is just such an emerging and potential semiconductor. Therefore, in this review, the state-of-the-art advances in g-C3N4 based photocatalysts for overall water splitting were summarized in three sections according to the strategies used, and future challenges and new directions were discussed.

  • MINI REVIEW
    Haoxuan MA, Chunli LIU, ,

    Photocatalytic water splitting for hydrogen production is a promising strategy to produce renewable energy and decrease production cost. Spinel-ferrites are potential photocatalysts in photocatalytic reaction system due to their room temperature magnetization, the high thermal and chemical stability, narrow bandgap with broader visible light absorption, and proper conduction band energy level with strong oxidation activity for water or organic compounds. However, the fast recombination of the photoexcited electrons and holes is a critical drawback of ferrites. Therefore, the features of crystallinity, particle size, specific surface area, morphology, and band energy structure have been summarized and investigated to solve this issue. Moreover, composites construction with ferrites and the popular support of TiO2 or g-C3N4 are also summarized to illustrate the advanced improvement in photocatalytic hydrogen production. It has been shown that ferrites could induce the formation of metal ions impurity energy levels in TiO2, and the strong oxidation activity of ferrites could accelerate the oxidation reaction kinetics in both TiO2/ferrites and g-C3N4/ferrites systems. Furthermore, two representative reports of CaFe2O4/MgFe2O4 composite and ZnFe2O4/CdS composite are used to show the efficient heterojunction in a ferrite/ferrite composite and the ability of resistance to photo-corrosion, respectively.

  • REVIEW ARTICLE
    Taya (Ko) SAOTHAYANUN, Thipwipa (Tip) SIRINAKORN, Makoto OGAWA

    Uses of layered alkali titanates (A2TinO2n+1; Na2Ti3O7, K2Ti4O9, and Cs2Ti5O11) for energy and environmental issues are summarized. Layered alkali titanates of various structural types and compositions are regarded as a class of nanostructured materials based on titanium oxide frameworks. If compared with commonly known titanium dioxides (anatase and rutile), materials design based on layered alkali titanates is quite versatile due to the unique structure (nanosheet) and morphological characters (anisotropic particle shape). Recent development of various synthetic methods (solid-state reaction, flux method, and hydrothermal reaction) for controlling the particle shape and size of layered alkali titanates are discussed. The ion exchange ability of layered alkali titanate is used for the collection of metal ions from water as well as a way of their functionalization. These possible materials design made layered alkali titanates promising for energy (including catalysis, photocatalysts, and battery) and environmental (metal ion concentration from aqueous environments) applications.

  • REVIEW ARTICLE
    Yating WANG, Chaosheng PENG, Tao JIANG, Xingang LI, , , ,

    In recent years, defect-engineered Zr-based UiO-66 metal-organic frameworks (UiO-66(Zr) metal-organic frameworks (MOFs)) have shown huge advantages in catalytic, functional materials, adsorption, and other fields due to their large surface areas, well-ordered porous structures, and flexible tailorability. It is extremely challenging to introduce defect sites in the synthesis of MOFs to regulate the physicochemical properties of materials such as (energy band structure, pore structure, etc.) to obtain an excellent performance. This paper reviews the recent research results of synthesis methods, characterization technologies, and application fields of defect-engineered UiO-66(Zr) MOFs materials in order to provide new insights to synthesize high-performance UiO-66(Zr) MOFs materials and promote the development of UiO-66(Zr) in various fields.

  • MINI REVIEW
    Saket MATHUR, Benjamin ROGERS, Wei WEI

    Owing to the outstanding characteristics of tailorable electronic and optical properties, semiconducting polymers have attracted considerable attention in recent years. Among them, organic polymer dots process large breadth of potential synthetic diversity are the representative of photocatalysts for hydrogen production, which presents both an opportunity and a challenge. In this mini-review, first, the organic polymer photocatalysts were introduced. Then, recent reports on polymer dots which showed a superior photocatalytic activity and a robust stability under visible-light irradiation, for hydrogen production were summarized. Finally, challenges and outlook on using organic polymer dots-based photocatalysts from hydrogen production were discussed.

  • RESEARCH ARTICLE
    Zehong XU, Qiaohong ZHU, Xinguo XI, Mingyang XING, Jinlong ZHANG, , , , ,

    Photocatalytic water splitting for hydrogen (H2) generation is a potential strategy to solve the problem of energy crisis and environmental deterioration. However, powder-like photocatalysts are difficult to recycle, and the agglomeration of particles would affect the photocatalytic activity. Herein, a direct Z-scheme CdS/WO3 composite photocatalyst was fabricated based on carbon cloth through a two-step process. With the support of carbon cloth, photocatalysts tend to grow uniformly for further applications. The experimental results showed that the H2 yield of adding one piece of CdS/WO3 composite material was 17.28 μmol/h, which was 5.5 times as compared to that of pure CdS-loaded carbon cloth material. A cycle experiment was conducted to verify the stability of the as-prepared material and the result demonstrated that the H2 generation performance of CdS/WO3 decreased slightly after 3 cycles. This work provides new ideas for the development of recyclable photocatalysts and has a positive significance for practical applications.

  • RESEARCH ARTICLE
    Qingyu WEI, Yao WANG, Bin DAI, Yan YANG, Haijun LIU, Huaijie YUAN, Dengwei JING, Liang ZHAO, , , , , , , ,

    In this paper, based on the mixture flow model, an optimized six-flux model is first established and applied to the tubular solar photocatalytic reactor. Parameters influencing photocatalyst distribution and radiation distribution at the reactor outlet, viz. catalyst concentration and circulation speed, are also analyzed. It is found that, at the outlet of the reactor, the optimized six-flux model has better performances (the energy increase by 1900% and 284%, respectively) with a higher catalyst concentration (triple) and a lower speed (one third).

  • RESEARCH ARTICLE
    Junying LIU, Zhidong WEI, Wenfeng SHANGGUAN, , ,

    Surface reconstructed SrTiO3 nanocrystals were synthesized by a thermal treatment process in presence of NaBH4 and SrTiO3 nanocrystals. The surface reconstruction of SrTiO3 nanocrystals is attributed to the introduction of surface oxygen vacancies or Ti sites (such as Ti3+ and Ti2+) during the hydrogenation treatment process. The light absorption and the charge transfer ability of SrTiO3 nanocrystals are simultaneously enhanced due to surface oxygen vacancies or Ti sites (such as Ti3+ and Ti2+), which are beneficial to photocatalytic water splitting. Meanwhile, these defects also change the redox potential of the photocatalysts. Since there existed a synergistic effect between the three, the ratio of hydrogen to oxygen production was also regulated.

  • RESEARCH ARTICLE
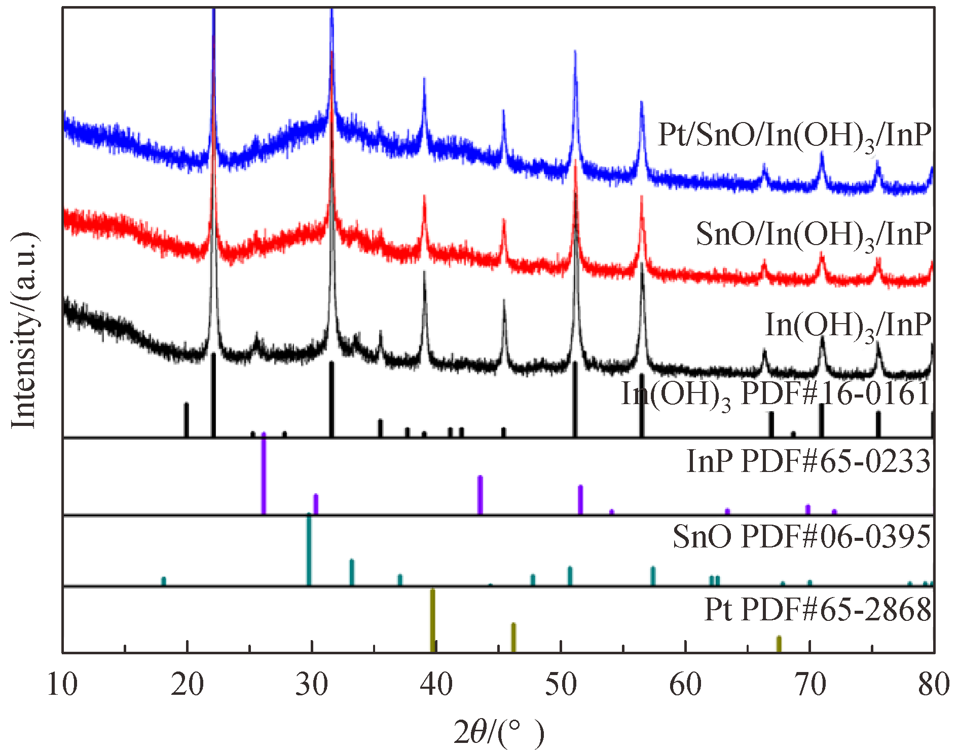
    Jiali DONG, Xuqiang ZHANG, Gongxuan LU, Chengwei WANG

    InP shows a very high efficiency for solar light to electricity conversion in solar cell and may present an expectation property in photocatalytic hydrogen evolution. However, it suffers serious corrosion in water dispersion. In this paper, it is demonstrated that the stability and activity of the InP-based catalyst are effectively enhanced by applying an anti-corrosion SnO layer and In(OH)3 transition layer, which reduces the crystal mismatch between SnO and InP and increases charge transfer. The obtained Pt/SnO/In(OH)3/InP exhibits a hydrogen production rate of 144.42 µmol/g in 3 h under visible light illumination in multi-cycle tests without remarkable decay, 123 times higher than that of naked In(OH)3/InP without any electron donor under visible irradiation.

  • RESEARCH ARTICLE
    Dong LIU, Zhuqing YAN, Peng ZENG, Haoran LIU, Tianyou PENG, Renjie LI, , , , , ,

    Titanium nitride (TiN) decorated N-doped titania (N-TiO2) composite (TiN/N-TiO2) is fabricated via an in situ nitridation using a hydrothermally synthesized TiO2 and melamine (MA) as raw materials. After the optimization of the reaction condition, the resultant TiN/N-TiO2 composite delivers a hydrogen evolution activity of up to 703 μmol/h under the full spectrum irradiation of Xe-lamp, which is approximately 2.6 and 32.0 times more than that of TiO2 and TiN alone, respectively. To explore the underlying photocatalytic mechanism, the crystal phase, morphology, light absorption, energy band structure, element composition, and electrochemical behavior of the composite material are characterized and analyzed. The results indicate that the superior activity is mainly caused by the in situ formation of plasmonic TiN and N-TiO2 with intimate interface contact, which not only extends the spectral response range, but also accelerates the transfer and separation of the photoexcited hot charge carrier of TiN. The present study provides a fascinating approach to in situ forming nonmetallic plasmonic material/N-doped TiO2 composite photocatalysts for high-efficiency water splitting.

  • RESEARCH ARTICLE
    Sabina Ait ABDELKADER, Zhenpeng CUI, Abdelghani LAACHACHI, Christophe COLBEAU-JUSTIN, Mohamed Nawfal GHAZZAL

    In this study, the electronic and photocatalytic properties of core-shell heterojunctions photocatalysts with reversible configuration of TiO2 and Bi2O3 layers were studied. The core-shell nanostructure, obtained by efficient control of the sol-gel polymerization and impregnation method of variable precursors of semiconductors, makes it possible to study selectively the role of the interfacial charge transfer in each configuration. The morphological, optical, and chemical composition of the core-shell nanostructures were characterized by high-resolution transmission electron microscopy, UV-visible spectroscopy and X-ray photoelectron spectroscopy. The results show the formation of homogenous TiO2 anatase and Bi2O3 layers with a thickness of around 10 and 8 nm, respectively. The interfacial charge carrier dynamic was tracked using time resolved microwave conductivity and transition photocurrent density. The charge transfer, their density, and lifetime were found to rely on the layout layers in the core-shell nanostructure. In optimal core-shell design, Bi2O3 collects holes from TiO2, leaving electrons free to react and increase by 5 times the photocatalytic efficiency toward H2 generation. This study provides new insight into the importance of the design and elaboration of optimal heterojunction based on the photocatalyst system to improve the photocatalytic activity.

  • RESEARCH ARTICLE
    Jing BAI, Bo ZHANG, Jinhua LI, Baoxue ZHOU, , , ,

    In this paper, a photoelectrocatalytic (PEC) recovery of toxic H2S into H2 and S system was proposed using a novel bismuth oxyiodide (BiOI)/ tungsten trioxide (WO3) nano-flake arrays (NFA) photoanode. The BiOI/WO3 NFA with a vertically aligned nanostructure were uniformly prepared on the conductive substrate via transformation of tungstate following an impregnating hydroxylation of BiI3. Compared to pure WO3 NFA, the BiOI/WO3 NFA promotes a significant increase of photocurrent by 200%. Owing to the excellent stability and photoactivity of the BiOI/WO3 NFA photoanode and I/I 3 catalytic system, the PEC system toward splitting of H2S totally converted S2– into S without any polysulfide ( Sx n) under solar-light irradiation. Moreover, H2 was simultaneously generated at a rate of about 0.867 mL/(h·cm). The proposed PEC H2S splitting system provides an efficient and sustainable route to recover H2 and S.

  • RESEARCH ARTICLE
    Wei CHEN, Xiang LIU, Shaojie WEI, Qianqian HENG, Binfen WANG, Shilong LIU, Li GAO, Liqun MAO, , , , , , , ,

    An ultrathin MoS2 was grown on CdS nanorod by a solid state method using sulfur powder as sulfur source for photocatalytic H2 production. The characterization result reveals that the ultrathin MoS2 nanosheets loaded on CdS has a good contact state. The photoelectrochemical result shows that MoS2 not only are beneficial for charge separation, but also works as active sites, thus enhancing photocatalytic activity. Compared with pure CdS, the photocatalytic activity of MoS2 loaded CdS was significantly improved. The hydrogen evolution rate on m(MoS2): m(CdS) = 1: 50 (m is mass) reaches 542 μmol/h, which is 6 times of that on pure CdS (92 μmol/h). This work provides a new design for photocatalysts with high photocatalytic activities and provides a deeper understanding of the effect of MoS2 on enhancing photocatalytic activity.

  • RESEARCH ARTICLE
    Ziwei ZHAO, Kaiyi CHEN, Jingwei HUANG, Lei WANG, Houde SHE, Qizhao WANG

    The serious surface charge recombination and fatigued photogenerated carriers transfer of the BiVO4 photoanode restrict its photoelectrochemical (PEC) water splitting performance. In this work, nickel fluoride (NiF2) is applied to revamp pure BiVO4 photoanode by using a facile electrodeposition method. As a result, the as-prepared NiF2/BiVO4 photoanode increases the dramatic photocurrent density by approximately 180% compared with the pristine BiVO4 photoanode. Furthermore, the correlative photon-to-current conversion efficiency, the charge injection, and the separation efficiency, as well as the hydrogen generation of the composite photoanode have been memorably enhanced due to the synergy of NiF2 and BiVO4. This study may furnish a dependable guidance in fabricating the fluoride-based compound/semiconductor composite photoanode system.

  • RESEARCH ARTICLE
    Hongmei WU, Feng LI, Yanqi YUAN, Jing LIU, Liping ZHAO, Peng ZHANG, Lian GAO, , , , , , ,

    MoS2 is a promising electrocatalyst for hydrogen evolution reaction and a good candidate for cocatalyst to enhance the photoelectrochemical (PEC) performance of Si-based photoelectrode in aqueous electrolytes. The main challenge lies in the optimization of the microstructure of MoS2, to improve its catalytic activity and to construct a mechanically and chemically stable cocatalyst/Si photocathode. In this paper, a highly-ordered mesoporous MoS2 was synthesized and decorated onto a TiO2 protected p-silicon substrate. An additional TiO2 necking was introduced to strengthen the bonding between the MoS2 particles and the TiO2 layer. This meso-MoS2/TiO2/p-Si hybrid photocathode exhibited significantly enhanced PEC performance, where an onset potential of +0.06 V (versus RHE) and a current density of −1.8 mA/cm2 at 0 V (versus RHE) with a Faradaic efficiency close to 100% was achieved in 0.5 mol/L H2SO4. Additionally, this meso-MoS2/TiO2/p-Si photocathode showed an excellent PEC ability and durability in alkaline media. This paper provides a promising strategy to enhance and protect the photocathode through high-performance surface cocatalysts.

  • RESEARCH ARTICLE
    Yan ZHANG, Yukun ZHU, Yanhua PENG, Xiaolong YANG, Jian LIU, Wei JIAO, Jianqiang YU

    In this paper, the fabrication of a highly orientated Bi2Fe4O9 (BFO) photoelectrode in the presence of two-dimensional (2D) graphene oxide (GO) was reported. It was found that the GO can be used as a template for controlling the growth of BFO, and the nanoplate composites of BFO/reduced graphene oxide (RGO) with a high orientation can be fabricated. The thickness of the nanoplates became thinner as the ratio of GO increased. As a result, the ferroelectric spontaneous polarization unit arranges itself in the space in a periodic manner, leading to the formation of a polarization field along a special direction. Therefore, the created built-in electric field of the nanoplate composites of BFO/RGO is improved upon the increase of the amount of RGO. As expected, carrier separation is enhanced by the built-in electric field, therefore substantially enhancing the photoelectrochemical (PEC) activity of water splitting compared to pure BFO under the irradiation of visible-light.