2022-09-15 2022, Volume 16 Issue 3

  • Select all
  • RESEARCH ARTICLE
    Yingchun GUO , Pengwei WANG , Xiao CHEN , Xinxin FANG

    Determination of gas adsorption capacity under geological conditions is essential in evaluating shale gas resource potential. A quantitative determination of gas adsorption capacity was proposed through 1) investigating controlling geological factors (including both internal ones and external ones) of gas adsorption capacity in organic-rich marine shale with geochemical analysis, XRD diffraction, field-emission scanning electron microscopy, and methane sorption isotherms; 2) defining the relationship between gas adsorption capacity and single controlling factor; 3) establishing a comprehensive determination model with the consideration of all these controlling factors. The primary controlling factors of the sorption capacity for the studied O3w-Lower S1l shale are TOC, illite and quartz, temperature, pressure, Ro, and moisture (water saturation). Specifically, TOC, thermal maturity, illite, and pressure are positively correlated with sorption capacity, whereas, quartz and temperature contribute negatively to the sorption capacity. We present the quantitative model along with application examples from the Wufeng-Lower Longmaxi Shale in the southeast Sichuan Basin, west China, to demonstrate the approach in shale gas evaluation. The result shows that the comprehensive determination model provides a good and unbiased estimate of gas adsorption capacities with a high correlation coefficient (0.96) and bell-shaped residues centered at zero.

  • RESEARCH ARTICLE
    Kun LUO , Zhaoyun ZONG

    The delineation of shale oil sweet spots is a crucial step in the exploration of shale oil reservoirs. A single attribute such as total organic carbon (TOC) is conventionally used to evaluate the sweet spots of shale oil. This study proposes a probabilistic Fisher discriminant approach for estimating shale oil sweet spots, in which the probabilistic method and Gaussian mixture model are incorporated. Statistical features of shale oil facies are obtained based on the well log interpretation of the samples. Several key parameters of shale oil are projected to data sets with low dimensions in each shale oil facies. Furthermore, the posterior distribution of different shale oil facies is built based on the classification of each shale oil facies. Various key physical parameters of shale oil facies are inversed by the Bayesian method, and important elastic properties are extracted from the elastic impedance inversion (EVA-DSVD method). The method proposed in this paper has been successfully used to delineate the sweet spots of shale oil reservoirs with multiple attributes from the real pre-stack seismic data sets and is validated by the well log data.

  • RESEARCH ARTICLE
    Fahad ALI , Shiqi ZHANG , Muhammad HANIF , Mohibullah MOHIBULLAH , Yaxuan ZHANG , Muhammad USMAN , Sheng WANG , Xueliang LIU , Pengjie MA , Dongmou HUANG

    The Lower to Middle Jurassic sedimentary succession is dominated by siliciclastics with a significant amount of black shales in the Indus Basin, Pakistan. Several outcrop samples have been studied using an integrated approach to interpret the conceptual depositional setting from carbon and oxygen isotopes (δ13C & δ18O), organic geochemistry, and palynofacies with major and trace element analysis. For interpretation of trace element data, various single and elemental ratios have been used in this research to unlock the geological history of the studied strata. Ti/Al is 1.96 for high-potential source rock and 7.82 for non-potential source rock, and Cr (less than 1) indicates low clastic input with low oxygen for stratified and stagnant water. The ratios of V/(V+ Cr), V/(V+ Ni), V/Mo, V/Ni, (Cu+ Mo)/Zn, Mo/Al, isotopic values of δ13C and δ18O and besides the V/Cr elemental ratio, all proxies indicate that there are oxygen-depleted anoxic conditions at high potentials, while in non-potential source rock, these ratios show oxic to sub-oxic settings. In addition to the trace element correlation with total organic carbon, the influx of organic matter is determined by the palynoafacies analysis, which indicates mixed terrestrial and marine organic influx in high-potential source rock and vice versa. Furthermore, the studies of palynofaceis DFPF A-D and SFPF A-B suggest that the depositional setting of black shale occurred in the anoxic proximal to distal shelf. The results suggest that the regional and local occurrence of black shale during the Lower to Middle Jurassic and its geological condition were addressed, and these play an important role in its depositional and paleooceanographic setting in the Eastern Tethys.

  • RESEARCH ARTICLE
    Jin LAI , Xiaojiao PANG , Meng BAO , Bing WANG , Jianan YIN , Guiwen WANG , Xuechun FAN

    Diagenesis exerts an important control on porosity evolution, and research of diagenesis and diagenetic minerals provides insights into reservoir quality evaluation and CO2 storage. Thin section, XRD (X-ray diffraction), CT (Computed Tomography), scanning electron microscopy (SEM), and NMR (Nuclear Magnetic Resonance) tests were used to investigate composition, texture, pore spaces, and diagenesis of sandstones in Paleogene Dongying Formation in Bohai Bay Basin, China, with special aims to unravel diagentic dissolution along bedding planes. The oversized pores, remnants in feldspar-hosted pores, and kaolinite within feldspar grains indicate a high degree of dissolution the framework grains experienced during burial. The CO2-rich or organic acids are responsible for the feldspar dissolution. Grain size plays the primary role in enhancing bedding dissolution process, and bedding planes in fine-medium grained sandstones with high content of feldspars are frequently enlarged by dissolution. The CT scanning image confirms dissolution pores are distributed discontinuously along the bedding planes. The dissolution pores along bedding planes have large pore size, and correspond to the right peak of the bi-modal T2 (transverse relaxation time) spectrum. The laminated sandstones and siltstones, or sandstones with cross beddings help improve framework grain dissolution. These new findings help improve the understanding of diagenetic models, and have implications in reservoir quality prediction and resource assessments in sandstones.

  • RESEARCH ARTICLE
    Tianchen GE , Xiangchun CHANG , Yuan ZHUANG , Xiaojun LI

    The Jiyang Depression is an important oil and gas production zone in the Bohai Bay Basin. Through a systematic investigation of the gas components and stable carbon isotopes, the genetic types of natural gas found in the Jiyang Depression were determined, that is, biogas, oil-associated gas, coal-derived gas, high-mature oil-related gas, and mantle-derived carbon dioxide (CO2). From the results, natural gas in the Jiyang Depression can be divided into four groups. Group I, which is distributed in the northwest area, is the only typical oil-associated gas. Group II, distributed in the northeast area, is dominated by oil-associated gas, and involves biogas, coal-derived gas, and high-mature oil-related gas. Group III, distributed in the southeast area, has all genetic types of gas that are dominated by oil-associated gas and have mantle-derived CO2. Group IV, distributed in the southwest area, is dominated by biogas and involves coal-derived gas and oil-associated gas. The differences in each group illustrate the lateral distribution of the natural gas types is characterized by the eastern and southern areas being more complex than the western and northern areas, the vertical distribution of gas reservoirs has no obvious evolutionary law. The main controlling factor analysis of the spatiotemporal changes of the gas reservoirs revealed that the synergy of geochemical characteristics, thermal evolution of the Shahejie Formation and Carboniferous-Permian source rocks, and sealing properties of various faults are jointly responsible for determining the gas reservoir spatiotemporal changes.

  • RESEARCH ARTICLE
    Li DONG , Anlai MA , Huixi LIN , Lu YUN , Weilong PENG , Xiuxiang ZHU , Xian WU

    The ultra-deep Ordovician reservoirs in the North Shuntuoguole Oilfield (or Shunbei Oilfield) of SINOPEC have achieved annual production of one million ton, and the oil & gas in different faults show different physical properties and fluid phases. In this study, the 28 oil samples from the ultra-deep Ordovician were analyzed using whole oil chromatography. The heptane and isoheptane values of the oil samples were in the range of 29.79%‒46.86% and 1.01%–3.06%, respectively, indicating the oils are high mature. The maturity that calculated based on light hydrocarbon values was higher than which calculated by using aromatic hydrocarbon parameters, suggesting the light hydrocarbon maturity mostly reflects the maturity of the late charged hydrocarbon. The 2M-/3M-C 5 and 2M-/3M-C6 ratios varied in the ranges of 1.41‒1.81 and 0.79–1.09, respectively, and the iC5/nC5 and 3M-C5/nC6 ratios were 0.31‒0.90 and 0.16–0.37, respectively, indicating that ultra-deep Ordovician reservoirs have not experienced biodegradation. The Mango parameter K1 of the oil samples ranges 0.96‒1.01 except for the oil from Well SB4, which suggests that most of the reservoirs have not suffered thermochemical sulfur reduction (TSR). Meanwhile, the oils have not experienced evaporative fractionation since the toluene/nC7 and nC7/MCC6 ratios range from 0.10–0.38 and 1.50‒1.80, respectively. The close correlation between P3 and P2 + N2 and between P2 and N2/P3 indicates that the oils from different faults have the same origin. According to the characteristics of LHs rich in n-alkane, as well as other biomarkers, such as aryl isoprenoids, and aromatic hydrocarbon parameters, the oil originated from the source rock of the Lower Cambrian Yu’ertusi Formation. Meanwhile, the source rocks in different fault zones slightly differed in organic facies.

  • RESEARCH ARTICLE
    Li DONG , Ying LI , Dongdong WANG , Haiyan LIU , Guangzeng SONG , Zengxue LI , Fanfei KONG , Lusheng YIN

    In this study, an in-depth analysis of the types, characteristics, and formation mechanisms of micro-laminae and microscopic laminae was conducted in order to precisely examine the link or intersection of stratigraphy and petrology. This study was essentially a sedimentary examination of the minuteness-macro and micro-tiny layers between laminae and pore structure, as well as the types of structures and sedimentation. The results of this study bear important basic subject attributes and significance, as well as practical value for the basic theories and exploration applications of unconventional oil and gas geology. The quantitative data were obtained using the following: field macroscopic observations; measurements; intensive sampling processes; XRD mineral content analysis; scanning electron microscopy; high-power polarizing microscope observations; and micro-scale measurements. The quantitative parameters, such as laminae thicknesses, laminae properties, organic matter laminae, and laminae spatial distributions were unified within a framework, and the correlations among them were established for the purpose of forming a fine-grained deposition micro-laminae evaluation system. The results obtained in this research investigation established a basis for the classification of micro-laminae, and divided the micro-laminae into four categories and 20 sub-categories according to the development thicknesses, material compositions, organic matter content levels, and the spatial distributions of the micro-laminae. The classification scheme of the micro-laminae was divided into two categories and 12 sub-categories. Then, in accordance with the comprehensive characteristics of spatial morphology, the micro-laminae was further divided into the following categories: continuous horizontal laminae; near horizontal laminae; slow wavy laminae; wavy laminae; discontinuous laminae; and lenticular laminae. According to the structural properties of the laminae development, the micro-laminae was divided into the following categories: single laminae structures; laminated laminae structures; interlaminar structures; multiple mixed laminae structures; cyclic laminae structures; and progressive laminae structures. The research results were considered to be applicable for the scientific evaluations of reservoir spaces related to unconventional oil and gas resources.

  • RESEARCH ARTICLE
    Huihuang FANG , Shuxun SANG , Shiqi LIU , Huihu LIU , Hongjie XU , Yanhui HUANG

    Representative elementary volume (REV) is the key to study the heterogeneity of digital coal and characterize its macroscopic and microscopic properties. The permeability evolution law of digital coal based on REV analysis can provide theoretical support for the application of permeability prediction model in multi-scale reservoirs. This study takes typical coal samples from Bofang and Sihe coal mines in Qinshui basin as research object. First, the nondestructive information of two samples is scanned and visualized. Secondly, the calculation methods of two-dimensional (2D) and three-dimensional (3D) fractal dimensions of pores and fractures are illustrated. Then, the determination methods of REV based on porosity and fractal dimension are compared. Finally, the distribution pattern of fractal dimension and porosity curves is studied, the relationship between 2D and 3D fractal dimension is characterized, and the application of fractal permeability model in permeability analysis of multi-scale reservoir is further discussed. The REV size varies greatly in different vertex directions of the same sample and between samples, so REV analysis can only be performed in specific directions. When the REV based on fractal dimension is determined, the porosity curve continues to maintain a downward trend and then tends to be stable. The 2D fractal dimension has a positive linear correlation with the 3D fractal dimension, and the porosity can be expressed as a linear function of the fractal dimension. The permeability through REV analysis domain is mainly affected by fractal dimension, dip angle, azimuth angle and maximum fracture length, which is of great significance for exploring permeability evolution law of coal reservoir at different scales. This study is of great significance for enriching the determination methods of REV in digital coal and exploring the permeability evolution law of multi-scale reservoirs.

  • RESEARCH ARTICLE
    Chong WANG , Qing XU , Yongcun CHENG , Yi PAN , Hong LI

    A nonlinear artificial intelligence ensemble forecast model has been developed in this paper for predicting tropical cyclone (TC) tracks based on the deep neural network (DNN) by using the 24-h forecast data from the China Meteorological Administration (CMA), Japan Meteorological Agency (JMA) and Joint Typhoon Warning Center (JTWC). Data from a total of 287 TC cases over the Northwest Pacific Ocean from 2004 to 2015 were used to train and validate the DNN based ensemble forecast (DNNEF) model. The comparison of model results with Best Track data of TCs shows that the DNNEF model has a higher accuracy than any individual forecast center or the traditional ensemble forecast model. The average 24-h forecast error of 82 TCs from 2016 to 2018 is 63 km, which has been reduced by 17.1%, 16.0%, 20.3%, and 4.6%, respectively, compared with that of CMA, JMA, JTWC, and the error-estimation based ensemble method. The results indicate that the nonlinear DNNEF model has the capability of adjusting the model parameter dynamically and automatically, thus improving the accuracy and stability of TC prediction.

  • RESEARCH ARTICLE
    Kazem RANGZAN , Mostafa KABOLIZADEH , Sajad ZAREIE , Adel SAKI , Danya KARIMI

    To date, there are very few studies about the spectroscopy of lithium-containing minerals (LCMs) in the scientific community. The main objective of this study is to investigate the capability of Sentinel-2 image and FieldSpec3 spectro-radiometer in terms of mapping five important LCMs, including spodumene, lepidolite, amblygonite, petalite, and eucryptite. Therefore, first the FieldSpec3 spectro-radiometer was used to create the spectral curves of the LCMs. Then, accurate spectral analysis and comparison of the studied LCMs were performed using The Spectral Geologist (TSG) and the Prism software. These two software can show even slight difference in absorption features of different LCMs, which can discriminate and identify these minerals. Lithium-bearing rocks show absorption features at ~365, ~2200, and ~2350 nm and reflective features at ~550–770 nm. These features are consistent with Sentinel-2 bands. Therefore, the created spectral curves were utilized for calibration of Sentinel-2 optical image to detect and map the potential zones of the rock units containing minerals mentioned above in a part of the central Iranian terrane. By using the Spectral Angle Mapper (SAM) classifier module, the potential areas were demarcated. Out of the five LCMs, petalite and spodumene showed more extensive coverage in the study area. Generally speaking, the largest concentration of those LCMs can be seen in southern and centraleastern parts of the study area. The comparison between spectral curves of reference and classified minerals confirmed the high capability of Sentinel-2 image for LCMs mapping. ASTER image classification results also confirmed the presence of the LCMs, but it cannot distinguish the LCMs type successfully.

  • RESEARCH ARTICLE
    Juan TENG , Zhigang WEN , Chen LI , Lingye MENG

    Deformation of coals under tectonic movements could cause reduction of mechanical strength and enhancement of gas adsorption, which might result in coal and gas outburst, and cause safety and environmental issues. In this study, geophysical characteristics of coals with various structures were investigated with a special emphasis on characterization of pore size distribution, rock mechanical strength, acoustic emission, resistivity and acoustic velocity of anthracites with three types of structures in the Qinshui Basin, north China. The studied No. 3 coal seam developed three types of structures, namely undeformed coal, cataclastic coal, and granular coal. Petrographic observations under scanning electron microscope and pore size distribution using N2 and CO2 adsorption of anthracites of three types show that the undeformed coal consists of primary micropores, and cataclastic coal is mainly composed of mesopores and well-connected fractures. In comparison, granular coal has the least mesopores. Rock mechanical strength, acoustic emission, resistivity and acoustic velocity of coals with three structure types were investigated under uniaxial and triaxial compression. With increasing degree of deformation of anthracites, compression strength, Young’s modulus, density, acoustic emission counting and acoustic velocity decreases, while resistivity increases. We suggest that the evolution of pore size distribution of anthracites with increasing degree of deformation contributed to variations of geophysical characteristics of coals with different structures to some extent.

  • RESEARCH ARTICLE
    Jing TIAN , Shenglian GUO , Jiabo YIN , Zhengke PAN , Feng XIONG , Shaokun HE

    Climate change and land use/cover change (LUCC) can both exert great impacts on the generation processes of precipitation and runoff. However, previous studies usually neglected considering the contribution component of future LUCC in evaluating changes in hydrological cycles. In this study, an integrated framework is developed to quantify and partition the impact of climate change and LUCC on future runoff evolution. First, a daily bias correction (DBC) method and the Cellular Automaton-Markov (CA-Markov) model are used to project future climate and LUCC scenarios, and then future runoff is simulated by the calibrated Soil and Water Assessment Tool (SWAT) model with different climate and LUCC scenarios. Finally, the uncertainty of future runoff and the contribution rate of the two driving factors are systematically quantified. The Han River basin in China was selected as a case study. Results indicate that: 1) both climate change and LUCC will contribute to future runoff intensification, the variation of future runoff under combined climate and LUCC is larger than these under climate change or LUCC alone; 2) the projected uncertainty of median value of multi-models under RCP4.5 (RCP8.5) will reach 18.14% (20.34%), 12.18% (14.71%), 11.01% (13.95%), and 11.41% (14.34%) at Baihe, Ankang, Danjiangkou, and Huangzhuang stations, respectively; 3) the contribution rate of climate change to runoff at Baihe, Ankang, Danjiangkou, and Huangzhuang stations under RCP4.5 (RCP8.5) are 91%–98% (84%–94%), while LUCC to runoff under RCP4.5 (RCP8.5) only accounts for 2%–9% (6%–16%) in the annual scale. This study may provide useful adaptive strategies for policymakers on future water resources planning and management.

  • RESEARCH ARTICLE
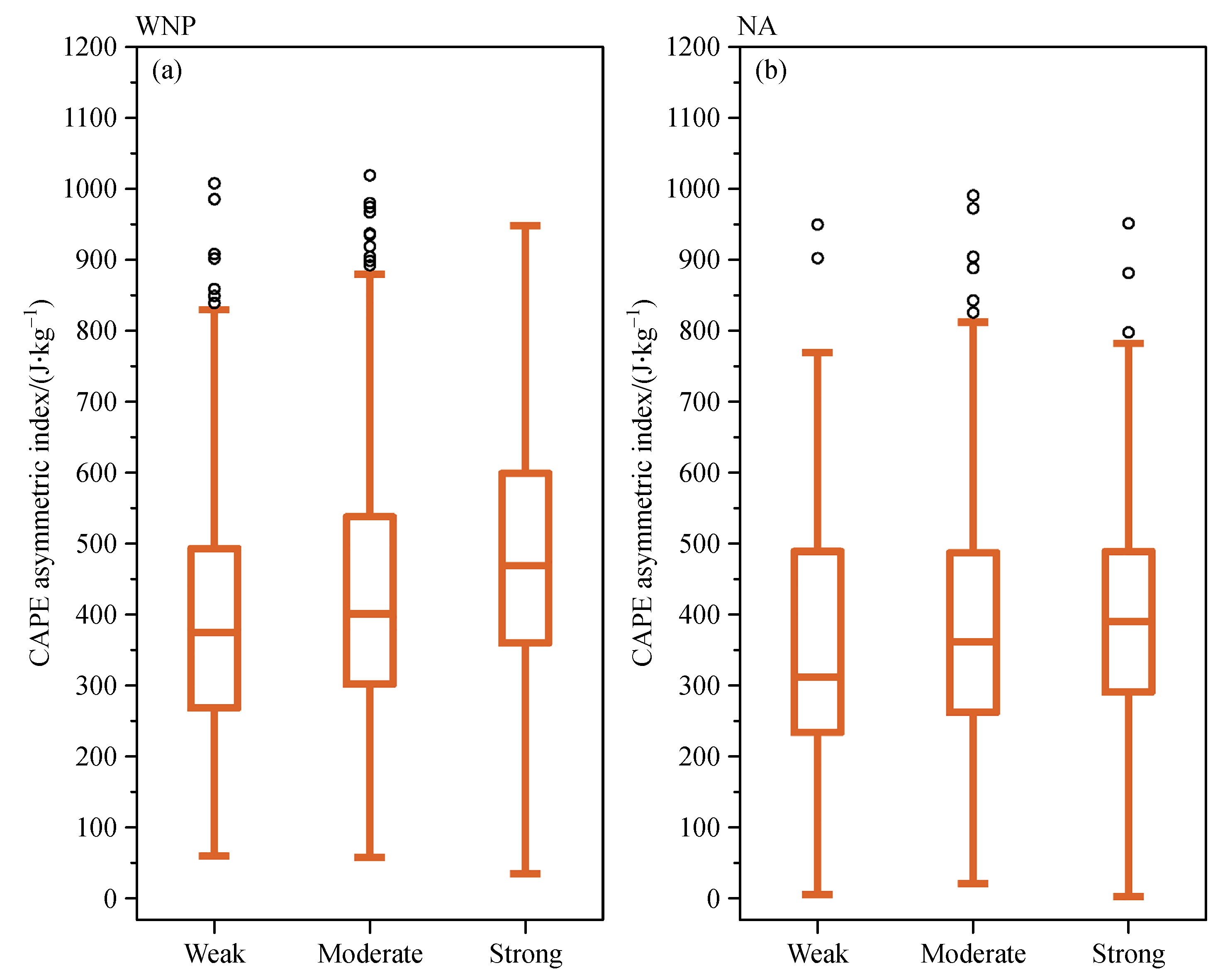
    Yufan DAI , Qingqing LI , Lijuan WANG , Hong CHEN

    The asymmetric distribution of convective available potential energy (CAPE) in the outer core of sheared tropical cyclones (TCs) is examined using the National Centers for Environmental Prediction Final operational global analysis data. Larger (smaller) CAPE tends to appear in the downshear (upshear) semicircle. This downshear-upshear contrast in CAPE magnitude becomes much more statistically significant in moderate-to-strong shear. The azimuthally asymmetric CAPE is closely associated with the near-surface equivalent potential temperature (θe). Larger surface winds occur in the upshear semicircle in strongly sheared TCs, contributing to larger surface latent heat fluxes in those quadrants. More low-level air well fueled by the larger surface latent heat fluxes in the upshear quadrants is cyclonically advected into the downstream quadrants. As a result, larger near-surface θe and CAPE are found in the outer core in the downshear quadrants.

  • RESEARCH ARTICLE
    Cai LIU , Haiyan ZHANG , Fuping GAN , Yunge LU , Hao WANG , Jiahong ZHANG , Xing JU

    Human activities have significantly degraded ecosystems and their associated services. By understanding the spatio-temporal variability and drivers of human activity intensity (HAI), we can better evaluate the interactions between human and terrestrial ecosystems, which is essential for land-use related decision making and eco-environmental construction. As the “third pole,” the Tibetan Plateau (TP) plays a strong role in shaping the global environment, and acts as an important ecological security barrier for China. Based on land-use/cover change data, environmental geographic data, and socioeconomic data, we adopted a method for converting different land use/cover types into construction land equivalent to calculate the HAI value and applied the Getis–Ord Gi* statistic to analyze the spatio-temporal dynamics associated with HAI since 1980 on the TP. Thereafter, we explored the forces driving the HAI changes using GeoDetector software and a correlation analysis. The main conclusions are as follows: It was observed that HAI increased slowly from 3.52% to 3.65% during the 1980–2020 period, with notable increases in the western part of the Qaidam Basin and Hehuang Valley. Spatially, HAI was associated with a significant agglomeration effect, which was mainly concentrated in the regions of the Yarlung Zangbo and Yellow–Huangshui rivers. Both natural and anthropogenic factors were identified as important driving forces behind the spatial changes in HAI, of which soil type, gross domestic product, and population density had the greatest influence. Meanwhile, the temporal changes in HAI were largely driven by economic development. This information provides crucial guidance for territory development planning and ecological-protection policy decisions.

  • REVIEW ARTICLE
    Yuan ZHANG , Shengshan BI , Jiangtao WU

    As a platform for longer-term continuous moon-based earth radiation observation (MERO) which includes reflected solar short-wave (SW) radiation and long-wave infrared (LW) radiation, the huge lunar surface space can provide multiple location choices. It is important to analyze the influence of lunar surface position on irradiance which is the aim of the present work based on a radiation heat transfer model. To compare the differences caused by positions, the site of 0°E 0°N was selected as the reference site and a good agreement of the calculation results was verified by the comparison with the NISTAR’s actual detected data. By analyzing the spatial characteris-tics of the irradiance, the results showed that the irradiance on the lunar surface was of circular distribution and the instrument that was placed in the region of 65°W–65°E and 65°S–65°N could detect the irradiance most effectively. The relative deviation between the reference site and the marginal area (region of>65°S or 65°N or>65°W or 65°E) was less than 0.9 mW∙m−2 and the small regional differences make a small-scale network conducive to radiometric calibration between instruments. To achieve accurate measurement of the irradiance, the sensitivity design goal of the MERO instrument should be better than 1 mW∙m−2 in a future actual design. Because the lunar polar region is the priority region for future exploration, the irradiance at the poles has also been analyzed. The results show that the irradiance changes periodically and exhibits complementary characteristics of time. The variation range of irradiance for short-wave radiation is greater than long-wave radiation and the irradiance of SW reaches the maximum at different times. The MERO at the polar region will provide valuable practical experiment for the follow-up study of the moon-based earth observation in low latitudes.

  • Research Article
    Jiantao XUE , Xueying ZHANG , Jinzhi LI , Zhiqi ZHANG , Huaiying YAO

    Leaf wax n-alkane compositions have been widely applied to reconstruct paleoclimate histories in peat deposits, yet understanding of how the n-alkanes vary during seasonal plant growth remains limited. Here we report variations in the molecular and wax-derived n-alkane hydrogen isotope (δ2Halk) in the three dominant vascular plant species (Sanguisorba officinalis, Carex argyi, Euphorbia esula) and surface peat deposits nearby from the Dajiuhu peatland over a growing season. All three species show a relatively high carbon preference index (CPI) in the beginning of the growing season, with the CPI values reaching as high as 50 in two of the three species. Two species (S. officinalis, E. esula) display relatively stable average chain length (ACL) values over the four sampling intervals, with standard derivations of 0.2–0.3. In contrast, C. argyi exhibits a significant fluctuation of ACL values (averaging 28.1±1.4) over the growing season. The δ2Halk in all three species decreased during leaf growth. In the final stage of growth, the δ2Halk values of the three species are similar to those in the surface peats collected from the peatland. Combining the results of our measurements of alkane concentration and δ2H values, it is likely that de novo synthesis of leaf wax n-alkanes in the peat-forming plant species is mainly at the early stage of leaf development. In the following months, the removal process exceeds renewal, resulting in a general decrease of the concentration of the total n-alkanes and the integrated δ2Halk values. Thus the δ2Halk values probably integrate the environmental variations at the end of the plant growth period rather than the whole period or the early growth period. These results are significant and have the potential to improve the utility of δ2Halk values in paleoenvironmental reconstructions.

  • RESEARCH ARTICLE
    Thulasi Veedu SWETHA , Girish GOPINATH , Arun BHADRAN , Arjun P

    An assessment of anomalies in the hierarchical organization of the drainage network in the Kuttiyadi River Basin (KuRB), Kerala, has been performed by considering various morphometric parameters such as bifurcation index (R), hierarchical anomaly index (Δa), hierarchical anomaly density (ga), and stream gradient index (SL) in a geographical information system (GIS) platform. Further, a digital elevation model (DEM) of the area has been generated from Cartosat stereo pair data at 2.5-m resolution. The computed quantitative information about drainage characteristics reveals the highest drainage anomaly is observed in sub-watersheds (SW) III and IV. It is observed that neo-tectonic activity caused the development of younger stage drainage patterns of structural controls in the sub-watersheds of this river basin. The tectonic activity-induced diffusion, high energy fluvial erosion, and anthropogenic interferences altered the hierarchical organization of the drainage network of the sub-watersheds in mature to old stages of geomorphic evolution. The results of finding validated with asymmetry factor and ratio of the hierarchical index (Δa) with hierarchical anomaly number (A), bifurcation index (R), direct bifurcation ratio (Rdb), stream gradient index (SL), and denudation index (logTu). From the denudation index analysis, the sediment yield of the river basin is identified as 0.67 t·km−2·yr−1. Moreover, the asymmetric factor (AF) in the KuRB shows the imprints of Paleo−Neo Proterozoic crustal tilting toward a NNW−SSE direction.

  • RESEARCH ARTICLE
    Wei ZHAO , Yuping ZHONG , Qinglan LI , Minghua LI , Jia LIU , Li TANG

    Based on the 2-min average wind speed observations at 100 automatic weather stations in Shenzhen from January 2008 to December 2018, this study tries to explore the ways to improve wind interpolation quality over the Shenzhen region. Three IDW based methods, i.e., traditional inverse distance weight (IDW), modified inverse distance weight (MIDW), and gradient inverse distance weight (GIDW) are used to interpolate the near surface wind field in Shenzhen. In addition, the gradient boosted regression trees (GBRT) model is used to correct the wind interpolation results based on the three IDW based methods. The results show that among the three methods, GIDW has better interpolation effects than the other two in the case of stratified sampling. The MSE and R2 for the GIDW’s in different months are in the range of 1.096–1.605 m/s and 0.340–0.419, respectively. However, in the case of leave-one-group-out cross-validation, GIDW has no advantage over the other two methods. For the stratified sampling, GBRT effectively corrects the interpolated results by the three IDW based methods. MSE decreases to the range of 0.778–0.923 m/s, and R2 increases to the range of 0.530–0.671. In the non-station area, the correction effect of GBRT is still robust, even though the elevation frequency distribution of the non-station area is different from that of the stations’ area. The correction performance of GBRT mainly comes from its consideration of the nonlinear relationship between wind speed and the elevation, and the combination of historical and current observation data.

  • RESEARCH ARTICLE
    Jingyi WANG , Xiaochun CHEN , Guilin ZHANG , Guowen ZHANG , Yan WU

    Understanding the role of agriculture in the development of human societies around the world is an important field of study with many unanswered questions. As a step toward that greater understanding, we have studied the archeobotanical remains at the Jingshuidun site in the mountainous areas of the lower reaches of the Yangtze River in southern Anhui Province which are part of the core area of rice cultivation today. Our analyses of macrobotanical remains and phytoliths formed the basis for the reconstruction of the subsistence economy of ancient humans at the Jingshuidun site from the late Neolithic to early historical times. When our data are combined with that of previous archeobotanical work, we obtain a clearer picture of the development of rice and millet agriculture in the southern Anhui Province region, as well as the spread of millet cultivation. Macrobotanical remains and phytoliths of domesticated rice are present in layers at the Jingshuidun site dated to 4874–4820 cal. yr B.P. (middle-late Liangzhu Period) and 2667–2568 cal. yr B.P. (late Western Zhou Dynasty to the early Spring and Autumn Period). Moreover, macrobotanical remains and phytoliths from the site document the earliest remains of foxtail millet (Setaria italica) in southern Anhui Province, from a layer dating to the late Western Zhou Dynasty and the early Spring and Autumn Period (2667–2568 cal. yr B.P.). These results suggest that the people occupying the Jingshuidun site used single rice farming as far back as 4874–4820 cal. yr B.P., and they began to plant millet by at least 2667–2568 cal. yr B.P., documenting the spread of millet agriculture to the southern area by that time.

  • RESEARCH ARTICLE
    Guihua LIU , Britta SCHMALZ , Qi ZHANG , Shuhua QI , Lichao ZHANG , Shiyu LIU

    The effects of land use and land cover changes on hydrological processes and sediment yield are important issues in regional hydrology. The Xunwu River catchment located in the red soil hilly region of southern China has experienced drastic land use changes in the past 30 years, with orchard increases of approximately 42% and forest decreases of approximately 40%. These changes have resulted in some alterations of runoff and sediment yield. This study aims to evaluate effects of land use/land cover on runoff and sediment yield in the Xunwu River catchment. The SWAT model (Soil and Water Assessment Tool) was used for runoff and sediment simulation, and the results met the requirements of the model acceptance based on evaluation statistics of R2 (the coefficient of determination), PBIAS (percent bias), and NSE (Nash-Sutcliffe efficiency). Four land use scenarios representing the gradual expansion of orchards in the past 26 years were developed for assessment of hydrological processes and sediment yield simulation. As a result, both runoff and sediment yield were changed insignificantly with decrease rates of 1.84% and 5.29%, respectively. In addition, surface runoff accounts for the largest share of the runoff components, but the lateral flow changed more than other runoff components with a decrease rate of 10.96%. The results show that orchard expansion does not reveal severe water and soil loss. This study can contribute to the rational utilization of land and water resources in the red soil hilly area of southern Jiangxi Province.