2026-04-15 2026, Volume 21 Issue 4

  • Select all
  • RESEARCH ARTICLE
    Kunrong Du , Zhijian Shi , Hang Xu , Yilian Xi , Mengting Zhao , Hui Pan , Haifeng Feng , Yi Du

    Precise control of lattice strain and buckling geometry at the nanoscale enables deterministic manipulation of the electronic properties of quantum materials. Low dimensional Bi(110) possesses topological properties and ferroelectricity, which are strongly tied to its atomic structure. Here, by fabricating an epitaxial heterostructure composed of 2−3 bilayer Bi(110) in black phosphorus (BP) structure and Fe3GeTe2 with hexagonal lattice structure, heterostrain and periodical variation of buckling height h are introduced into Bi(110) via interlayer interactions. Modulation of the electronic states and bandgap of ultra-thin Bi(110) are revealed the study of scanning tunneling microscopy and spectroscopy. The regulation of the electronic properties of Bi(110) by lattice stress and magnetic proximity effect of Fe3GeTe2 substrate are further explained by density functional theory calculations. The atomic scale straintronics method offers a strategy to modify the electronic properties of ultra-thin epitaxial films with potential applications in spintronics and nanoelectronics.

  • RESEARCH ARTICLE
    Xian Wu , Youtao Huang , Han Zhang , Luyao Wan , Yunhui Li , Yaping Yang , Hong Chen , Zhiwei Guo

    Magnetic resonance wireless power transfer (WPT) with parity−time- (PT-)symmetry has been extensively studied due to its high transfer efficiency. However, conventional second-order PT-symmetric systems face several challenges in practical WPT applications. Due to near-field coupling, frequency splitting occurs in the strong coupling region, necessitating frequency tracking to maintain optimal transfer efficiency. Although the system can operate at a fixed frequency in the weak coupling region, the efficiency is significantly reduced. Strict PT-symmetry constraints also limit the system’s flexibility in engineering applications. Additionally, severe field leakage from the transmitter coil in the strong coupling region leads to poor electromagnetic compatibility. Here, we demonstrate efficient WPT by implementing a bound state in the continuum (BIC) in a high-order non-Hermitian system based on a composite transmitter. BICs offer greater flexibility in practical applications as they do not require strict PT-symmetry. Remarkably, the optimized WPT system constructed with a composite transmitter maintains a stable pure real working frequency, reduces field leakage from the transmitter coil, and exhibits significant advantages over conventional second-order PT-symmetric systems. Our finding expands the application of BICs in high-efficiency WPT systems and provides a robust platform for realizing miniaturized and integrated high-order non-Hermitian WPT systems.

  • RESEARCH ARTICLE
    Jinfeng Liang , Qionglin Dai , Haoxin Cheng , Haihong Li , Junzhong Yang

    Non-Hermitian systems have been extensively studied for their unique topological properties and dynamic behaviors. In this paper, we investigate the phenomenon of edge bursts in population dynamics with rock−paper−scissors interactions, focusing on the interplay between non-Hermitian effects and biomass dissipation dynamics. We demonstrate that edge bursts occur when the energy bands form two distinct closed loops that do not intersect the real axis. Our findings reveal that the presence of non-dissipated sites is crucial for the formation of edge bursts, as they act as reservoirs, sustaining solitons near the boundaries and facilitating biomass transport to the edges. This study provides new insights into the behavior of non-Hermitian systems with open boundaries and asymmetric interactions, contributing to a broader understanding of complex phenomena in such systems.

  • RESEARCH ARTICLE
    Xiuye Liu , Jianhua Zeng

    Moiré superlattices, classified as a supercell periodic structure configured from a periodic lattice overlaps with its twisted counterpart, have been demonstrated to exhibit many emergent linear and nonlinear phenomena like moiré induced flat bands, unconventional superconductivity, unique linear classical wave localization and nonlinear localized modes. Recent studies are, however, mainly focused on twisted bilayer structures, the static and nonequilibrium physics of trilayer moiré superlattices have remained largely unknown. We here consider trilayer moiré optical lattices by which Bose−Einstein condensates are trapped, and demonstrate theoretically the emergent flat bands and nonlinear phenomena — localized gap modes in form of gap solitons and vortices with a topological charge s=1. We give a unified picture for constructing optimal (largest) photonic forbidden gaps in such trilayer moiré superlattices and reveal nonlinear localization mechanism therein. Computational studies demonstrated the robustness of these localized modes, enabling insightful inspections of moiré physics and exploring ongoing moiré photonics applications in twisted trilayer superlattices in optics and ultracold atoms.

  • RESEARCH ARTICLE
    Xi Zhang , TianMeng Sun-Huo , XiZheng Zhang

    Nonreciprocity plays a pivotal role in the design of optical and quantum devices. A key mechanism for achieving it lies in the breaking of Lorentz reciprocity. In this paper, we systematically investigate the scattering properties of a non-Hermitian system composed of an arbitrary-dimensional scattering center coupled to two semi-infinite leads. We first propose a general theorem that elucidates how symmetry constrains the transmission and reflection amplitudes. We show that parity−time (PT) symmetric systems can still exhibit reciprocal transmission despite the presence of non-Hermitian terms. The introduction of a magnetic flux that preserves parity symmetry and flux inversion symmetry can break Lorentz reciprocity and thus enable nonreciprocal transport. Based on detailed symmetry analysis, we construct a series of minimal models that demonstrate unidirectional transmission. Our results provide new insights into the mechanisms of nonreciprocal scattering and offer a theoretical foundation for the development of optical diodes and quantum isolators in non-Hermitian systems.

  • RESEARCH ARTICLE
    Mingjun Xu , Dexian Yan , Yi Wang , Xiangjun Li , Le Zhang , Jining Li

    Nonlinear effects in the terahertz regime play a pivotal role in advancing terahertz wave generators with higher frequencies, particularly through harmonic generation processes. However, the development of efficient nonlinear terahertz materials that exhibit high conversion efficiency, compatibility with large-scale on-chip integration, and stable operation at room temperature remains a significant challenge. Graphene-assisted nonlinear metamaterials provide a promising platform for investigating nonlinear effects within the terahertz frequency regime. In this study, we present a transmission-mode nonlinear metamaterial-integrated device that synergistically combines the resonant characteristics of metamaterials with the nonlinear enhancement properties of graphene. This integrated structure enables efficient dual-frequency third harmonic generation (THG) at 9.535 THz and 10.959 THz, achieving a conversion efficiency of 0.127% under a pump intensity of 1 MW/cm2. A comprehensive theoretical analysis is conducted to investigate both the linear and nonlinear operational characteristics of the integrated device. The enhancement mechanism of THG is systematically investigated by examining the electric field distributions and plasmonic resonance characteristics. Additionally, the influences of device structural parameters and terahertz wave incidence angle on the operational characteristics are thoroughly evaluated. The proposed graphene-based nonlinear metamaterial shows exceptional potential for broad applications in terahertz integrated systems and related photonic technologies.

  • TOPICAL REVIEW
    Xue-Ying Yang , Si-Lin Chen , Lin-Xue Wang , Xiao-Fei Zhang , Rui-Fang Dong

    We review our recent theoretical advances in the dynamics of soliton in ultracold atomic gases with different types of interactions, including spin−orbit coupling and nonlocal Rydberg interactions. By using the variational approximation and the numerical simulation of coupled Gross−Pitaevskii equations, the stability and dynamics of soliton are investigated in full parameter space. Both the analytical and numerical results show that the stability and dynamics of solitons, including both bright and ring dark solitons, show strong dependence on the strength of spin−orbit coupling or the Rydberg interaction. Our results open up alternate ways in the quantum control of soliton in ultracold atom system.

  • RESEARCH ARTICLE
    Shulei Gao , Wei Peng , Qihong Huang , Yuan Zhao , Huihong Gong , Siliu Xu

    A two-dimensional (2D) fractional Rydberg atomic system with parity−time (PT) symmetric potentials is studied numerically in this work. We find a family of stable vortex solitons (VSs) with their topological structure and dynamical stability are analyzed in detailed. Control parameters are the Kerr nolinear coefficient, Lévy index, the Rydberg−Rydberg interaction coefficient, and the depth of the PT symmetry potential, which affect the distribution and stability range of the stable 2D VSs. The variation of Lévy index impacts the properties of nonlinear vortex states evidently, including the types, existence domain, power, and stability. Stability domains highlight rich topological phase structures, including fundamental vortices and multi-core configurations. These findings advance the understanding of soliton dynamics in non-Hermitian environments and offer insights for topological photonic applications.

  • RESEARCH ARTICLE
    Wenhao Xu , Zuoang Sun , Wenzhe Wang , Feilong Gao , Min Zhang , Bingyuan Zhang , Qi Song , Bo Dong

    To address the critical challenges of insufficient light−matter interaction, high noise, and poor integration in traditional terahertz detectors, this paper proposes a laser-enhanced terahertz detector based on a 3D microstructure. The detector utilizes room-temperature Weyl semimetal MoWTe2 as the active layer and achieves monolithic integration on a silicon substrate, with core innovations including: (i) employing MoWTe2 as the active layer to enable efficient terahertz absorption and high carrier mobility at room temperature, eliminating the need for cryogenic cooling; (ii) fabricating a 3D rotating rectangular array microstructure on a silicon wafer via sub-pixel micro-scan micro-nano 3D printing technology to excite strong localized surface plasmon (LSP) effects — these effects confine terahertz fields at the subwavelength scale and synergistically enhance light-matter interaction with the topological metasurface effect; and (iii) introducing external laser fields to modulate carrier dynamics via the photoelectric effect and Floquet topological states, thereby further boosting detector performance. Experimental results demonstrate that the detector exhibits exceptional room-temperature performance: responsivity (Ra) reaches 41.96 A/W, noise-equivalent power (NEP) is as low as 11.86 pW/Hz1/2, detectivity (D*) maximizes at 26.67 × 109 cm·Hz1/2/W, the ultrafast carrier transit time is 0.4 picoseconds, and the broad spectral response width is 0.65 THz (covering the 6G communication band). Additionally, the silicon-based fabrication process is fully compatible with CMOS technology, facilitating high integration and large-scale production. This work provides a novel solution for the practical application of terahertz technology in 6G communication, real-time imaging, and high-sensitivity sensing.

  • TOPICAL REVIEW
    Jingwen Ma , Shuangshuang Ding , Xinpeng Gao , Shisong Fan , Xiaoxiao Zhou , Yuli Shang , Shuyun Teng

    In view of the fast development of vector beams and their broad application prospects, the systematical review about the characterizations, generation methods, propagation mechanisms and diverse micro-nano optical applications of various vector beams are provided. Four mathematical characterizations of vector beams are generalized and the relation of different characterization methods is uncovered. The direct and indirect generation methods including some innovation techniques are summarized. The propagation fields of vector beams in different circumstances are analyzed and the related phenomena are explained. The diverse applications in various fields are enumerated. The detailed description of vector beams provides a theoretical basis for deeply understanding of the polarization properties of vector beams. The comparison of several generation methods brings the researchers the purposeful choices in practice works. The analysis about propagation mechanisms of vector beam lays the foundation for predicting the unique phenomena and utilizing reasonably vector beams. The presented applications confirm the significance of vector beams in many fields. We expect this review will bring more help for the deep studies about foundational and applications of vector beams.

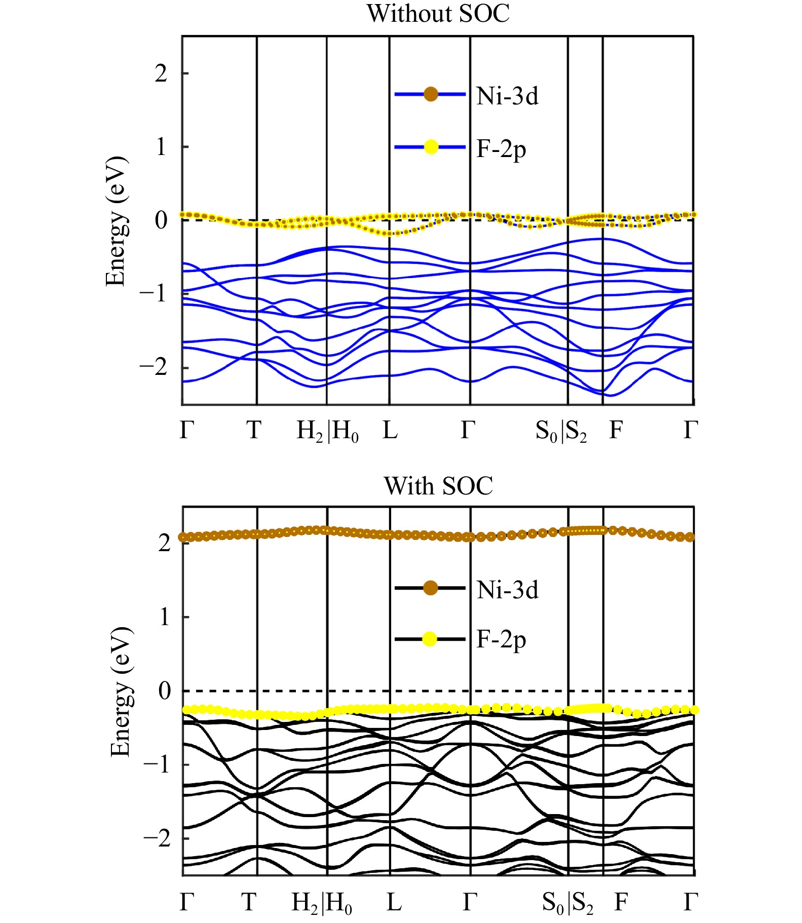
  • RESEARCH ARTICLE
    Shuai Qu , Zhen-Feng Ouyang , Ze-Feng Gao , Hao Sun , Kai Liu , Peng-Jie Guo , Zhong-Yi Lu

    Spin−orbit coupling is a key to realize many novel physical effects in condensed matter physics. Altermagnetic materials possess the duality of real-space antiferromagnetism and reciprocal-space ferromagnetism. It has not been explored that achieving strong spin−orbit coupling effect in light-element altermagnetic materials. In this work, based on symmetry analysis, the first-principles electronic structure calculations plus dynamical mean-field theory, we demonstrate that there is strong spin−orbit coupling effect in light-element altermagnetic materials NiF3 and FeCO3, and then propose a mechanism for realizing such effective spin−orbit coupling. This mechanism reveals the cooperative effect of crystal symmetry, electron occupation, electronegativity, electron correlation, and intrinsic spin−orbit coupling. Our work provides an approach for searching light-element altermagnetic materials with an effective strong spin−orbit coupling.

  • TOPICAL REVIEW
    Ziren Xiong , Hao Zhu , Zhengyang Long , Hao Wang , Lizhikun Gong , Chuanyang Cai , Hui Zeng , Yangyuan Tu , Shoufeng Yang , Lei Yin , Ruiqing Cheng , Yao Wen , Jun He

    With the continuous scaling down of channel dimensions, the relentless miniaturization of CMOS-based integrated circuits is increasingly constrained by short-channel effects, leakage currents, and quantum tunneling phenomena, suggesting that Moore’s Law is approaching its physical limits. Two-dimensional (2D) materials, distinguished by their ultrathin nature, exceptional carrier mobility, and intrinsic passivation characteristics, offer a promising solution to mitigate short-channel effects while maintaining ultra-low leakage currents. Consequently, they are considered a viable pathway for further device miniaturization. In this review, we focus on 2D transistors, elaborating on recent advancements in synthesizing wafer-scale single-crystal 2D semiconductor materials, with particular emphasis on low-temperature (< 450 °C) synthesis techniques. Additionally, this review summarizes innovative strategies for synthesizing 2D dielectric layers that exhibit superior compatible with 2D semiconductor materials. Subsequently, this review discusses strategies to optimize the contact between 2D semiconductor materials and metal electrodes. Crucial advancements in 2D transistor technology, encompassing large-scale integration and unconventional device architectures, are also highlighted. Finally, this review delineates the major technical challenges and potential optimization directions for 2D transistors. This review is confident that resolving these bottlenecks will catalyze unprecedented advancements in post-Moore integrated circuit technology.

Publishing model
2

{"submissionFirstDecision":"30","jcrJfStr":"5.3 (2024)","editorEmail":"wangyy@hep.com.cn"}

Downloads

{"submissionFirstDecision":"30","jcrJfStr":"5.3 (2024)","editorEmail":"wangyy@hep.com.cn"}
1

ISSN 2095-0462 (Print)
ISSN 2095-0470 (Online)
CN 11-5994/O4