2026-03-15 2026, Volume 21 Issue 3

  • Select all
  • RESEARCH ARTICLE
    Zibin Zhao , Guilong Li , Huan-Bo Luo , Bin Liu , Gui-Hua Chen , Boris A. Malomed , Yongyao Li

    Hopfions are a class of three-dimensional (3D) solitons which are built as vortex tori carrying intrinsic twist of the toroidal core. They are characterized by two independent topological charges, viz., vorticity S and winding number M of the intrinsic twist, whose product determines the Hopf number, QH=MS, which is the basic characteristic of the hopfions. We construct hopfion-like states (HLSs) as solutions of the 3D Gross−Pitaevskii equations (GPEs) for Bose−Einstein condensates in binary atomic gases. The GPE system includes the cubic mean-field self-attraction, competing with the quartic self-repulsive Lee−Huang−Yang (LHY) term, which represents effects of quantum fluctuations around the mean-field state, and a trapping toroidal potential (TP). Although our system exhibits two independent topological charges, it does not fully conform to the Hopf map structure, and therefore does not constitute hopfions in the complete sense. A systematic numerical analysis demonstrates that families of the states with S=1,M=0, i.e., QH=0, are stable, provided that the inner TP radius R0 exceeds a critical value. Furthermore, HLSs with S=1,M=17, which correspond, accordingly, to QH=17, also form partly stable families, including the case of the LHY superfluid, in which the nonlinearity is represented solely by the LHY term. On the other hand, the HLSs family is completely unstable in the absence of the LHY term, when only the mean-field nonlinearity is present. We illustrate the knot-like structure of the HLSs by means of an elementary geometric picture. For QH=0, circles which represent the preimage of the full state do not intersect. On the contrary, for QH1 they intersect at points whose number is identical to QH. The intersecting curves form multi-petal structures with the number of petals also equal to QH.

  • RESEARCH ARTICLE
    Jun-liang Duan , Linkang Han , Junke Liao , Jingying Chen , Xu-jie Chai , Jin-hui Chen , Shan Zhu , Huanyang Chen

    Owing to the formal analogy between their governing equations, concepts from electromagnetic wave physics have been successfully extended to water-wave systems. Here, we propose and experimentally demonstrate the water-wave metagratings (WMGs) capable of wavefront modulation based on the generalized Snell’s law. These WMGs generate anomalous diffraction, including both retroreflection and negative refraction, by engineering the integer parity of supercells. As a proof of concept, we realize broadband water-wave focusing using WMGs. This work opens new avenues for compact and tunable water-wave devices, with potential applications in wave-energy harvesting and marine engineering.

  • TOPICAL REVIEW
    Shaozheng Ji , Zepeng Sun , Jingchao Liu , Junqing Guo , Ling Tong , Ying Deng , Jiangteng Guo , Can Liu , Xiang Chen , Cuntao Gao , Fang Liu , Min Feng , Shibin Deng , Xuewen Fu

    In the realm of condensed matter physics, the properties of material are largely determined by the degrees of freedom associated with lattice, charge, orbital, and spin, as well as their intricate interplay. Unveiling the coupling mechanisms between these freedoms and effectively manipulating them necessitate a profound exploration into ultrafast dynamics, owing to the nanoseconds, femtoseconds, and even attoseconds timescales governing these fundamental interactions. Ultrafast transmission electron microscopy (UTEM) emerges as a powerful technique enabling the research of ultrafast dynamics with exceptional spatial-temporal resolution, showcasing diverse applications within nanoscale systems. Over the past decades, UTEM has witnessed significant advancements in instrument development, fostering its widespread utilization across various domains. This review firstly introduces the fundamental principles of UTEM and traces its historical evolution, intricately involving the integration of the pump-probe principle with transmission electron microscopy. Subsequently, the key performance characteristics of UTEM are succinctly summarized. Moreover, a detailed exposition is provided on the manifold applications of UTEM, encompassing structural dynamics, magnetic phenomena, and near-field optics, each delineated according to their respective time-resolved methodologies. Concluding the review, a forward-looking perspective on the UTEM technique is presented, envisioning its significance in the realm of ultrafast dynamics research.

  • RESEARCH ARTICLE
    Hai-Xiao Wang , Wei Li , Junhui Hu , Jian-Hua Jiang

    Recent studies on the interplay between band topology and topological defects in real space offer an unprecedented opportunity to design photonic cavities. Here, we propose a concept of gradient dislocation by placing two chunks of square-lattice photonic crystals with the same width but differing by one period together, which is described by a one-dimensional Dirac equation with a position-dependent and sign-switching mass distribution. A photonic bound state, dubbed the Dirac cavity mode, localized at the center of the gradient dislocation is demonstrated. Compared to higher-order Dirac cavity modes, the Dirac cavity mode exhibits the smallest modal area and a relatively high Q-factor, with its frequency demonstrating robustness against certain perturbations. We also discuss a potential application in index sensing by designing a coupled cavity-waveguide system based on the photonic Dirac cavity. Our work presents an ultracompact photonic cavity design and paves the way toward future photonic integrated circuits.

  • RESEARCH ARTICLE
    Mucheng Guo , Qiangrui Li , Zhehao Xu , Shuping Liu , Fudong Wang , Manjin Zhong

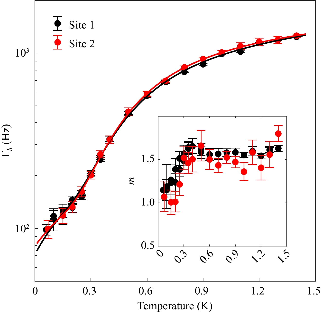
    Erbium-doped crystals are promising candidates for fiber-compatible quantum memories due to their optical transition in the telecommunication C-band. Here, we investigate the optical decoherence dynamics of isotopically enriched 167Er3+:Y2SiO5 (YSO) at sub-Kelvin temperatures and low magnetic fields (<1 T). We observed an optical homogeneous linwidth of 100 Hz at 100 mK and 0.2 T – significantly narrower than previous values obtained at 7 T in a sample with the same 167Er3+ concentration. We analyze the dependence of coherence properties on magnetic field orientation and temperature, identifying spectral diffusion resulted from the host spin bath as key decoherence mechanisms. We further identified that superhyperfine interactions between the 167Er3+ and the host bath spins pose challenges for long-term storage protocols requiring precise spectral tailoring. To address this issue, we propose a strategy that combined the Stark modulation memory scheme with noiseless photon echo storage protocol, which is expected to achieve spin-wave quantum storage with lower noise and higher efficiency.

  • TOPICAL REVIEW
    Zheng-Yuan Xue , Cheng-Yun Ding

    The geometric phase stands as a foundational concept in quantum physics, revealing deep connections between geometric structures and quantum dynamical evolution. Unlike dynamical phases, geometric phases exhibit intrinsic resilience to certain types of perturbation, making them particularly valuable for quantum information processing, where maintaining coherent quantum operations is essential. This article provides a review of geometric phases in the context of universal quantum gate construction, i.e., the geometric quantum computation (GQC), with special attention to recent progress in nonadiabatic implementations that enhance gate fidelity and/or operational robustness. We first review a unified theoretical framework that can encompass all existing nonadiabatic GQC approaches, then systematically examine the design principles of nonadiabatic geometric gates with a particular focus on how optimal control techniques can be leveraged to improve the accuracy and noise resistance. In addition, we conducted detailed numerical comparisons of various nonadiabatic GQC protocols, offering a quantitative assessment of their respective performance characteristics and practical limitations. Through this focused investigation, our aim is to provide researchers with both fundamental insights and practical guidance for advancing geometric approaches in quantum computing.

  • TOPICAL REVIEW
    HuangJingWei Li , Jiaxin Li , Ziyu Mi , Huaiyu Chang , Jiahui Xian , Wan Ru Leow

    The small-molecule electrocatalytic refining technology is a sustainable and eco-friendly strategy for converting renewable feedstocks and energy into transportable fuels and high-value chemicals in water (H2O). The key to implementing this technology hinges on designing appropriate reactions and highly efficient electrocatalysts that can selectively break and form specific chemical bonds with precision for targeted refining processes. H2O serves as an ideal medium for clean, green, and sustainable hydrogen and oxygen sources in refining reactions. Selective hydrogenation and oxidation reactions in water provide a mild and effective approach for producing high-value chemicals through precise refining. This review introduces the fundamental theories of multiphase electrocatalysis and selective hydrogenation/oxidation reactions. We then discuss relevant reaction types, including coupling, paired, and cascade reactions. Additionally, we summarize the design principles and strategies for electrocatalysts to effectively control reaction intermediates and pathways for precise refining. Finally, we explore the challenges and future opportunities in this field.

  • RESEARCH ARTICLE
    Xiaoyu Cheng , Hui Jiang , Jun Chen , Lei Zhang , Yee Sin Ang , Ching Hua Lee

    In non-Hermitian systems, disorder-induced localization is generally regarded as a competitive mechanism to the highly non-local influence of the non-Hermitian skin effect (NHSE). In this work, we reveal a more intricate interplay between these two phenomena by investigating structural disorder that modifies asymmetric hopping amplitudes in multi-orbital lattices. Through a comparative analysis under periodic and open boundary conditions, we show that disorder can counterintuitively enhance the NHSE, restoring the effectiveness of PT symmetry with suppression of imaginary energies. This intriguing observation can be attributed to the translation-breaking clustering of displaced atoms, which can strengthen the NHSE overall while suppressing state amplification simultaneously. Our findings are substantiated through extensive numerical simulations and are expected to hold qualitatively in generic amorphous setups harboring the NHSE, as can be readily simulated in present-day metamaterials and quantum setups.

  • RESEARCH ARTICLE
    Jingxiu Liu , Zhijie Yang , Zeru Liu , Chenfei Shi , Haohuan Peng , Baojuan Kang , Rongrong Jia , Xiaoxuan Ma , Shixun Cao

    Rare-earth orthoferrites (RFeO3), which are canted antiferromagnets exhibiting weak ferromagnetism, are potential materials for spintronic devices. The temperature of spin reorientation transition (SRT) in Tm1xPrxFeO3 (x = 0, 0.15, 0.25, 0.5) single crystals shifts to a lower region with the increase of x, attributing to the exchange energy of Pr3+Fe3+ being less than that of Tm3+Fe3+. Both type-I of spin switching (SSW-I) and the type-II of spin switching (SSW-II) are observed along the a-axis when x = 0.15 and 0.2. The changes of magnetic interaction are analyzed through structural distortion and transforming Curi−Weiss fitting. A rare SSW-II phenomenon is observed along the c-axis during both the cooling and warming processes when x = 0.15, 0.25, 0.5. In addition, a weak ferromagnetic moment (WFM) component is observed despite the antiferromagnetic behavior at high temperature in Tm0.5Pr0.5FeO3 single crystal. The WFM decreases gradually with the increase in temperature, indicating the occurrence of SRT. And the field-induced spin switching (SSW) is observed along the a-axis at 70 K when x = 0.5. The magnetic properties of Pr3+ doped TmFeO3 single crystals are obviously different from TmFeO3 and PrFeO3 single crystals, indicating the complex magnetic interaction among Pr3+, Tm3+ and Fe3+. The complex and abundant magnetic phenomena in Tm1xPrxFeO3 single crystals offer significant potential for studying altermagnet and magneto-optical coupling, and are expected to become a new generation of spintronic devices.

  • RESEARCH ARTICLE
    Jingjing Cheng , Jiayan Zhang , Fuming Xu , Yanxia Xing

    Through analytic derivation within the nonequilibrium Green’s function (NEGF) formalism, we present a comprehensive study of a quantum-coherent single-electron emitter. This emitter is based on a quantum RC circuit driven by periodic square-wave potentials with temporal period T and angular frequency ω=2π/T. Our theoretical results reveal three key characteristics of the single-electron emitter: (i) the characteristic time α of the exponentially decaying current J(t)(et/α) matches the intrinsic coherence time τ of the quantum dot; (ii) the Fourier spectrum of the current J(mω) carries information of both external driving amplitude U and internal energy levels ϵd of the quantum dot; (iii) the quantization of fundamental Fourier component |J1|=2ef (f=1/T) accompanies the half-quantized relaxation resistance Rq=h/(2e2), featuring quantized dynamics in AC transport through the single-electron emitter. These findings offers new perspectives into the dynamic properties of quantum-coherent AC transport.

  • RESEARCH ARTICLE
    Hong-Xue Jiang , Jia-Wan Li , Shi-Bo Zhao , Jie Wang , Yusheng Hou

    Half-Heusler alloys have emerged as promising candidates for novel spintronic applications due to their exceptional properties including the high Curie temperature (TC) above room temperature and large anomalous Hall conductivity (AHC). In this work, we systematically study the magnetic and electronic properties of PtMnBi in α-, β-, and γ-phase using first-principles calculations and Monte Carlo simulations. The three phases are found to be ferromagnetic metals. In particular, the α-phase PtMnBi shows a high TC up to 802 K and a relatively large Gilbert damping of 0.085. Additionally, the γ-phase PtMnBi possesses a non-negligible AHC, reaching 203 Ω−1·cm−1 at the Fermi level. To evaluate its potential in nanoscale devices, we further investigate the α-phase PtMnBi thin films. The Gilbert dampings of α-phase PtMnBi thin films varies with film thickness and we attribute this variation to the distinct band structures at the high-symmetry point Γ, which arise from differences in film thickness. Moreover, the 1-layer (1L) α-phase thin film retains robust ferromagnetism (TC = 688 K) and shows enhanced Gilbert damping (0.14) and AHC (1116 Ω−1·cm−1) compared to the bulk. Intriguingly, under a 2% in-plane biaxial compressive strain, the Gilbert damping of 1L α-phase PtMnBi thin film increases to 0.17 and the AHC reaches 2386 Ω−1·cm−1. The coexistence of giant Gilbert damping and large AHC makes α-phase PtMnBi a compelling platform for practical spintronic applications, and highlights the potential of half-Heusler alloys in spintronic device design.

  • VIEW & PERSPECTIVE
    Shu Wang , Jia Wei , Lena Du , Cong Wang , Guozhong Zhao

    The emergence of transformer-based artificial intelligence (AI) models has made a great impact on modern AI computing paradigms, where the attention mechanisms in transformer models dynamically generate weights and require computations involving global parameters. These requirements pose unprecedented challenges for memristor performance in in-memory computing, which demands memristor arrays with exceptional endurance, latency, energy consumption, and device uniformity. This perspective focuses on the alignment between AI computational requirements and memristor specifications, highlighting recent breakthroughs in materials, mechanisms, and applications for next-generation in-memory computing. Through this comprehensive analysis, our perspective provides critical insights into advancing memristor-based computing research toward practical AI applications. It also underscores key research priorities and the necessity for interdisciplinary collaboration to propel the future of AI innovation.

  • RESEARCH ARTICLE
    Rui Xu , Dandan Xu , Lars Andersson , Pau Amaro Seoane , Lijing Shao

    We put into test the idea of replacing dark energy by a vector field against the cosmic microwave background (CMB) observation using the simplest vector-tensor theory, where a massive vector field couples to the Ricci scalar and the Ricci tensor quadratically. First, a remarkable Friedmann−Lemaître−Robertson−Walker (FLRW) metric solution that is completely independent of the matter-energy compositions of the universe is found. Second, based on the FLRW solution as well as the perturbation equations, a numerical code calculating the CMB temperature power spectrum is built. We find that though the FLRW solution can mimic the evolution of the universe in the standard ΛCDM model, the calculated CMB temperature power spectrum shows unavoidable discrepancies from the CMB power spectrum measurements.

Publishing model
2

{"submissionFirstDecision":"30","jcrJfStr":"5.3 (2024)","editorEmail":"wangyy@hep.com.cn"}

Downloads

{"submissionFirstDecision":"30","jcrJfStr":"5.3 (2024)","editorEmail":"wangyy@hep.com.cn"}
1

ISSN 2095-0462 (Print)
ISSN 2095-0470 (Online)
CN 11-5994/O4