2018-12-15 2018, Volume 12 Issue 5
  • Cover illustration

    Heterogeneous photocatalysis has long been considered to be one of the most promising approaches to tackling the myriad environmental issues. In recent years, semiconductor-based heterogeneous photocatalysis as an advanced oxidation process (AOP) has garnered considerable research interest among various reported techniques and has been extensively explored for the abatement of various organic or inorganic contaminants in water or air under artificial or natural light illumination under ambient conditions. Therefore, it is of particular importance to exploit highly [Detail] ...


  • Select all
  • RESEARCH ARTICLE
    Daoud Ali , Huma Ali , Saud Alifiri , Saad Alkahtani , Abdullah A Alkahtane , Shaik Althaf Huasain

    Freshwater snail (Lymnea luteola L.) is good bio indicator of water pollution.

    Profenofos is tested for its molluscicidal activity against Lymnea luteola L. snail.

    Deleterious effects on some oxidative stress were detected.

    Profenofos has a genotoxic effect on Lymnea luteola L. snails.

    Extensive production and use of organophosphate pesticide in agriculture, has risen concerned about its ecotoxicity and risk assessment of insecticides, which are more important. Therefore, the present investigation was aimed to study the induction of oxidative stress and DNA damage by organophosphate insecticide profenofos (PFF) in freshwater snail Lymnea luteola (L. luteola). The median lethal value (96 h LC50) of PFF was estimated as 1.26 mg/L for L. luteola in a semi-static system and on the basis of LC50 value three concentrations viz., 0.126 (1/10 of LC50, Sublethal I), 0.63 (1/2 of LC50, Sublethal II) and 0.84 mg/L (2/3 of LC50, Sublethal III) were determined. Snails were exposed to above-mentioned concentrations of PFF along with solvent control (acetone) and negative control for 96 h. The haemolymph was collected at 24 and 96 h of after treatment. In heamolymph of PFF exposed snail, lipid peroxide, glutathione reduced glutathione S transferase and superoxide dismutase activities at the tested concentrations significantly differ from those in the control. The genotoxicity induced in hemocytes of treated snails was measured by alkaline single cell gel electrophoresis assay. The data of this experiment demonstrated significantly enhancement of oxidative stress and DNA damage in the treated snails as compared to controls. Also, we observed statistically significant correlations of ROS with DNA damage (% tail DNA) (R2 = 0.9708) for 24 h and DNA damage (R2 = 0.9665) for 96 h.

    Results of the current experiment can be useful in risk assessment of PFF among aquatic organisms. The study confirmed the use of comet assay for in vivo laboratory experiments using freshwater snail for selecting the toxic potential of industrial chemicals and environmental contaminants.

    HIGHLIGHTS

    GRAPHIC ABSTRACT

  • RESEARCH ARTICLE
    Yu Miao , Nicholas W. Johnson , Kimberly Heck , Sujin Guo , Camilah D. Powell , Thien Phan , Phillip B. Gedalanga , David T. Adamson , Charles J. Newell , Michael S. Wong , Shaily Mahendra

    Groundwater microbial community was altered after catalysis and chemical oxidation.

    The coupled treatment train removed 90% 1,4-dioxane regardless of co-contaminants.

    Dynamics of microbial populations varied along with different treatment stages.

    Many microbial taxa exhibited resilience against oxidative and catalytic treatments.

    Metagenomic analysis will be valuable for long-term management of polluted sites.

    Post-treatment impacts of a novel combined hydrogen peroxide (H2O2) oxidation and WOx/ZrO2 catalysis used for the removal of 1,4-dioxane and chlorinated volatile organic compound (CVOC) contaminants were investigated in soil and groundwater microbial community. This treatment train removed ~90% 1,4-dioxane regardless of initial concentrations of 1,4-dioxane and CVOCs. The Illumina Miseq platform and bioinformatics were used to study the changes to microbial community structure. This approach determined that dynamic shifts of microbiomes were associated with conditions specific to treatments as well as 1,4-dioxane and CVOCs mixtures. The biodiversity was observed to decrease only after oxidation under conditions that included high levels of 1,4-dioxane and CVOCs, but increased when 1,4-dioxane was present without CVOCs. WOx/ZrO2 catalysis reduced biodiversity across all conditions. Taxonomic classification demonstrated oxidative tolerance for members of the genera Massilia and Rhodococcus, while catalyst tolerance was observed for members of the genera Sphingomonas and Devosia. Linear discriminant analysis effect size was a useful statistical tool to highlight representative microbes, while the multidimensional analysis elucidated the separation of microbiomes under the low 1,4-dioxane-only condition from all other conditions containing CVOCs, as well as the differences of microbial population among original, post-oxidation, and post-catalysis states. The results of this study enhance our understanding of microbial community responses to a promising chemical treatment train, and the metagenomic analysis will help practitioners predict the microbial community status during the post-treatment period, which may have consequences for long-term management strategies that include additional biodegradation treatment or natural attenuation.

  • RESEARCH ARTICLE
    Yueqiao Liu , Aizhong Ding , Yujiao Sun , Xuefeng Xia , Dayi Zhang

    Soil microbial community is not significantly shaped by alkane concentrations

    Alkane concentrations alter dominant alkane degraders in soils

    Different alkanes are preferentially degraded at different contamination level

    Different types of alkane monooxygenase genes responsible for alkane degradation

    Petroleum hydrocarbons, mainly consisting of n-alkanes and polycyclic aromatic hydrocarbons (PAHs), are considered as priority pollutants and biohazards in the environment, eventually affecting the ecosystem and human health. Though many previous studies have investigated the change of bacterial community and alkane degraders during the degradation of petroleum hydrocarbons, there is still lack of understanding on the impacts of soil alkane contamination level. In the present study, microcosms with different n-alkane contamination (1%, 3% and 5%) were set up and our results indicated a complete alkane degradation after 30 and 50 days in 1%- and 3%-alkane treatments, respectively. In all the treatments, alkanes with medium-chain length (C11-C14) were preferentially degraded by soil microbes, followed by C27-alkane in 3% and 5% treatments. Alkane contamination level slightly altered soil bacterial community, and the main change was the presence and abundance of dominant alkane degraders. Thermogemmatisporaceae, Gemmataceae and Thermodesulfovibrionaceae were highly related to the degradation of C14- and C27-alkanes in 5% treatment, but linked to alkanes with medium-chain (C11-C18) in 1% treatment and C21-alkane in 3% treatment, respectively. Additionally, we compared the abundance of three alkane-monooxygenase genes, e.g., alk_A, alk_P and alk_R. The abundance of alk_R gene was highest in soils, and alk_P gene was more correlated with alkane degradation efficiency, especially in 5% treatment. Our results suggested that alkane contamination level showed non-negligible effects on soil bacterial communities to some extents, and particularly shaped alkane degraders and degrading genes significantly. This study provides a better understanding on the response of alkane degraders and bacterial communities to soil alkane concentrations, which affects their biodegradation process.

  • RESEARCH ARTICLE
    Quanhui Ye , Chengyue Liang , Chongyang Wang , Yun Wang , Hui Wang

    The mixed samples of contaminated soil, sludge and coke wastewater showed great phenanthrene methanogenic degradation potential.

    Comamonadaceae, Nocardiaceae and Methanobacterium were dominant members.

    Hexane, hexadecane and benzene could enhance phenanthrene degradation.

    Polycyclic aromatic hydrocarbons (PAHs) often occur in oil-contaminated soil, coke wastewater and domestic sludge; however, associated PAH degraders in these environments are not clear. Here we evaluated phenanthrene degradation potential in the mixed samples of above environments, and obtained a methanogenic community with different microbial profile compared to those from sediments. Phenanthrene was efficiently degraded (1.26 mg/L/d) and nonstoichiometric amount of methane was produced simultaneously. 16S rRNA gene sequencing demonstrated that bacterial populations were mainly associated with Comamonadaceae Nocardiaceae and Thermodesulfobiaceae, and that methanogenic archaea groups were dominated by Methanobacterium and Methanothermobacter. Substances such as hexane, hexadecane, benzene and glucose showed the most positive effects on phenanthrene degradation. Substrate utilization tests indicated that this culture could not utilize other PAHs. These analyses could offer us some suggestions on the putative phenanthrene-degrading microbes in such environments, and might help us develop strategies for the removal of PAHs from contaminated soil and sludge.

  • RESEARCH ARTICLE
    Yonglei Wang , Baozhen Liu , Kefeng Zhang , Yongjian Liu , Xuexin Xu , Junqi Jia

    Microbial metabolism uncoupling, sludge decay is the main mechanism to promote in situ sludge reduction on this biofilm system.

    The main reduction mechanism inside the biofilm is sludge decay in the longitudinal distribution of biofilm.

    Mizugakiibacter and Azospira anaerobic fermentation bacterium dominate the FSC organisms indicating the dominant mechanism on the biofilm is sludge decay.

    The floating spherical carriers with compound of the polyurethane and two fiber balls can effectively blocking suspended sludge, improving Biofilm formation efficiency significantly.

    Biofilm is an effective simultaneous denitrification and in situ sludge reduction system, and the characteristics of different biofilm carrier have important implications for biofilm growth and in situ sludge reduction. In this study, the performance and mechanism of in situ sludge reduction were compared between FSC-SBBR and SC-SBBR with constructed by composite floating spherical carriers (FSC) and multi-faceted polyethylene suspension carriers (SC), respectively. The variation of EPS concentration indicated that the biofilm formation of FSC was faster than SC. Compared with SC-SBBR, the FSC-SBBR yielded 0.16 g MLSS/g COD, almost 27.27% less sludge. The average removal rates of COD and NH4+ -N were 93.39% and 96.66%, respectively, which were 5.21% and 1.43% higher than the average removal rate of SC-SBBR. Investigation of the mechanisms of sludge reduction revealed that, energy uncoupling metabolism and sludge decay were the main factors for sludge reduction inducing 43.13% and 49.65% less sludge, respectively, in FSC-SBBR. EEM fluorescence spectroscopy and SUVA analysis showed that the hydrolytic capacity of biofilm attached in FSC was stronger than those of SC, and the hydrolysis of EPS released more DOM contributed to lysis-cryptic growth metabolism. In additional, Bacteroidetes and Mizugakiibacter associated with sludge reduction were the dominant phylum and genus in FCS-SBBR. Thus, the effect of simultaneous in situ sludge reduction and pollutant removal in FSC-SBBR was better.

  • RESEARCH ARTICLE
    Jiping Jiang , Feng Han , Yi Zheng , Nannan Wang , Yixing Yuan

    Uncertainty rules of pollution source inversion are revealed by stochastic analysis

    A release load is most easily inversed and source locations own largest uncertainty

    Instantaneous spill assumption has much less uncertainty than continuous spill

    The estimated release locations and times negatively deviate from real values

    The new findings improve monitoring network design and emergency response to spills

    Identifying source information after river chemical spill occurrences is critical for emergency responses. However, the inverse uncertainty characteristics of this kind of pollution source inversion problem have not yet been clearly elucidated. To fill this gap, stochastic analysis approaches, including a regional sensitivity analysis method (RSA), identifiability plot and perturbation methods, were employed to conduct an empirical investigation on generic inverse uncertainty characteristics under a well-accepted uncertainty analysis framework. Case studies based on field tracer experiments and synthetic numerical tracer experiments revealed several new rules. For example, the release load can be most easily inverted, and the source location is responsible for the largest uncertainty among the source parameters. The diffusion and convection processes are more sensitive than the dilution and pollutant attenuation processes to the optimization of objective functions in terms of structural uncertainty. The differences among the different objective functions are smaller for instantaneous release than for continuous release cases. Small monitoring errors affect the inversion results only slightly, which can be ignored in practice. Interestingly, the estimated values of the release location and time negatively deviate from the real values, and the extent is positively correlated with the relative size of the mixing zone to the objective river reach. These new findings improve decision making in emergency responses to sudden water pollution and guide the monitoring network design.

  • RESEARCH ARTICLE
    Yilan Cui , Xing Xie , Yi Liu

    Check-in and survey data are explored to identify personal activity-specific places.

    Ways for detecting and moderating sample bias of Weibo check-in data is proposed.

    A graphic representation of urban activity intensity in Beijing, China is presented.

    The potential application of Weibo check-in data for urban analysis is introduced.

    In this paper, we present a three-step methodological framework, including location identification, bias modification, and out-of-sample validation, so as to promote human mobility analysis with social media data. More specifically, we propose ways of identifying personal activity-specific places and commuting patterns in Beijing, China, based on Weibo (China’s Twitter) check-in records, as well as modifying sample bias of check-in data with population synthesis technique. An independent citywide travel logistic survey is used as the benchmark for validating the results. Obvious differences are discerned from Weibo users’ and survey respondents’ activity-mobility patterns, while there is a large variation of population representativeness between data from the two sources. After bias modification, the similarity coefficient between commuting distance distributions of Weibo data and survey observations increases substantially from 23% to 63%. Synthetic data proves to be a satisfactory cost-effective alternative source of mobility information. The proposed framework can inform many applications related to human mobility, ranging from transportation, through urban planning to transport emission modeling.

  • RESEARCH ARTICLE
    Weihua Zhao , Meixiang Wang , Jianwei Li , Yu Huang , Baikun Li , Cong Pan , Xiyao Li , Yongzhen Peng

    A novel two sludge pre-A2NSBR system was developed.

    Advanced N and P removal was optimized to treat real domestic wastewater.

    Nitrifiers and PAOs were enriched with 19.41% and 26.48%, respectively.

    Acetate was demonstrated as the high-quality carbon source type.

    Because the efficiency of biological nutrient removal is always limited by the deficient carbon source for the low carbon/nitrogen (C/N) ratio in real domestic sewage, the denitrifying phosphorus removal (DNPR) was developed as a simple and efficient method to remove nitrogen and phosphorous. In addition, this method has the advantage of saving aeration energy while reducing the sludge production. In this context, a pre-denitrification anaerobic/anoxic/post-aeration+ nitrification sequence batch reactor (pre-A2NSBR) system, which could also reduce high ammonia effluent concentration in the traditional two-sludge DNPR process, is proposed in this work. The pre-A2NSBR process was mainly composed of a DNPR SBR and a nitrifying SBR, operating as alternating anaerobic/anoxic/post-aeration+ nitrification sequence. Herein, the long-term performance of different nitrate recycling ratios (0–300%) and C/N ratios (2.5–8.8), carbon source type, and functional microbial community were studied. The results showed that the removal efficiency of total inorganic nitrogen (TIN, including NH4+-N, NO2 -N, and NO3 -N) gradually increased with the nitrate recycling ratios, and the system reached the highest DNPR efficiency of 94.45% at the nitrate recycling ratio of 300%. The optimum C/N ratio was around 3.9–7.3 with a nitrogen and phosphorus removal efficiency of 80.15% and 93.57%, respectively. The acetate was proved to be a high-quality carbon source for DNPR process. The results of fluorescence in situ hybridization (FISH) analysis indicated that nitrifiers and phosphorus accumulating organisms (PAOs) were accumulated with a proportion of 19.41% and 26.48%, respectively.

  • SHORT COMMUNICATION
    Yaobin Lu , Songli He , Dantong Wang , Siyuan Luo , Aiping Liu , Haiping Luo , Guangli Liu , Renduo Zhang

    • A new pulsed switching peroxi-coagulation (PSPC) system was developed.

    • The ECT for 2,4-D removal in the PSPC was lower than that in the EF.

    • The iron consumption for 2,4-D removal in the PSPC was lower than that in the PC.

    The aim of this study was to develop a new pulsed switching peroxi-coagulation system to control hydroxyl radical (∙OH) production and to enhance 2,4-Dichlorophenoxyacetic acid (2,4-D) degradation. The system was constructed with a sacrifice iron anode, a Pt anode, and a gas diffusion cathode. Production of H2O2 and Fe2+ was controlled separately by time delayers with different pulsed switching frequencies. Under current densities of 5.0 mA/cm2 (H2O2) and 0.5 mA/cm2 (Fe2+), the ∙OH production was optimized with the pulsed switching frequency of 1.0 s (H2O2):0.3 s (Fe2+) and the ratio of H2O2 to Fe2+ molar concentrations of 6.6. Under the optimal condition, 2,4-D with an initial concentration of 500 mg/L was completely removed in the system within 240 min. The energy consumption for the 2,4-D removal in the system was much lower than that in the electro-Fenton process (68±6 vs. 136±10 kWh/kg TOC). The iron consumption in the system was ~20 times as low as that in the peroxi-coagulation process (196±20 vs. 3940±400 mg/L) within 240 min. The system should be a promising peroxi-coagulation method for organic pollutants removal in wastewater.

  • RESEARCH ARTICLE
    Guangqing Song , Hongbo Xi , Xiumei Sun , Yudong Song , Yuexi Zhou

    The inhibition ratio sharply increased with the increasing COD.

    The absorbance of UV-vis at 420 nm showed a linear correlation with the SMA.

    The molecular structure of EPS has changed when COD was 9585 mg/L.

    Illumina Miseq sequencing was employed to reveal the microbial composition.

    The synthesis of 2-butenal, which is a vital raw material for the production of sorbic acid as a food preservative, generates some toxic by-products, so it is urgent to seek better detoxification strategies for the treatment of 2-butenal manufacture wastewater. In this study, batch experiments were carried out to investigate the inhibition effect of wastewater on the methanogenic activity. To understand the wastewater toxicity to anaerobic granular sludge, variations of the specific methanogenic activity (SMA) and extracellular polymeric substance (EPS) constituents at various wastewater CODs were investigated. Ultraviolet-visible (UV-vis) spectra and Fourier transform infrared (FT-IR) spectra were employed to analyze the structure of the EPS. The results showed that the inhibitory ratio of 2-butenal manufacture wastewater was less than 8.4% on the anaerobic granular sludge when the CODs were less than 959 mg/L. However, the inhibitory ratio increased from 36.4% to 93.6% when CODs increased from 2396 mg/L to 9585 mg/L, with the SMA decreasing from 39.1 mL CH4/(gVSS·d) to 3.2 mL CH4/(gVSS·d). The diversity of the microbial community under various CODs was researched by Illumina 16S rRNA Miseq sequencing and the results demonstrated that ProteiniphilumPetrimonas and Syntrophobacter were the dominant bacteria genera in all sample. Regarding archaea, Methanobacterium was the most dominated archaea genera, followed by the Methanosaeta group in all samples. Moreover, the bacterial communities had changed obviously with increasing CODs, which indicated high CODs played a negative impact on the richness and diversity of bacterial community in the sludge samples.

  • RESEARCH ARTICLE
    Xiaohui Song , Chunlai Jiang , Yu Lei , Yuezhi Zhong , Yanchao Wang

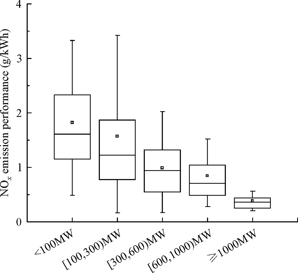
    We proposed the SO2 and NOx emission performance standards for coal-fired power plants based on the best available control technology.

    The CFPGUs’ SO2 emission performance reference values should be 0.34 g/kWh for active units in general areas and 0.13 g/kWh for newly built units and active units in key areas.

    The CFPGUs’ NOx emission performance standard reference values should be 0.35 g/kWh for active units in general areas and 0.175 g/kWh for new units and active units in key areas.

    Based on the activity level and technical information of coal-fired power-generating units (CFPGU) obtained in China from 2011 to 2015, we, 1) analyzed the time and spatial distribution of SO2 and NOx emission performance of CFPGUs in China; 2) studied the impact of installed capacity, sulfur content of coal combustion, and unit operation starting time on CFPGUs’ pollutant emission performance; and 3) proposed the SO2 and NOx emission performance standards for coal-fired power plants based on the best available control technology. Our results show that: 1) the larger the capacity of a CFPGU, the higher the control level and the faster the improvement; 2) the CFPGUs in the developed eastern regions had significantly lower SO2 and NOx emission performance values than those in other provinces due to better economic and technological development and higher environmental management levels; 3) the SO2 and NOx emission performance of the Chinese thermal power industry was significantly affected by the single-unit capacity, coal sulfur content, and unit operation starting time; and 4) based on the achievability analysis of best available pollution control technology, we believe that the CFPGUs’ SO2 emission performance reference values should be 0.34 g/kWh for active units in general areas, 0.8 g/kWh for active units in high-sulfur coal areas, and 0.13 g/kWh for newly built units and active units in key areas. In addition, the NOx emission performance reference values should be 0.35 g/kWh for active units in general areas and 0.175 g/kWh for new units and active units in key areas.

  • RESEARCH ARTICLE
    Shi Yin , Yan-Qiu Chen , Yue-Li Li , Wang-Lai Cen , Hua-Qiang Yin

    To derive liquid fuel from waste engine oil and plastics thorough pyrolysis process.

    To make equal blend of waste engine oil and plastics with diesel fuel.

    To find the suitability of fuel from waste in diesel engine through performance, emission and combustion characteristics.

    Porous carbon material facilitates the reaction SO2 + O2 + H2O → H2SO4 in coal-burned flue gas for sulfur resources recovery at mild conditions. It draws a long-term mystery on its heterogeneous catalysis due to the complicated synergic effect between its microstructure and chemical components. To decouple the effects of geometric structure from chemical components, classical molecular dynamics method was used to investigate the static and dynamic characteristics of the reactants (H2O, SO2 and O2) in the confined space truncated by double-layer graphene (DLG). Strong adsorption of SO2 and O2 by the DLG was observed, which results in the filling of the solute molecules into the interior of the DLG and the depletion of H2O. This effect mainly results from the different affinity of the DLG to the species and can be tuned by the separation of the two graphene layers. Such dimension dependence of the static and dynamic properties like distribution profile, molecular cluster, hydrogen bond and diffusion coefficient were also studied. The conclusions drawn in this work could be helpful to the further understanding of the underlying reaction mechanism of desulfurization process in porous carbon materials and other applications of carbon-based catalysts.

  • RESEARCH ARTICLE
    Yi Chen , Shilong He , Mengmeng Zhou , Tingting Pan , Yujia Xu , Yingxin Gao , Hengkang Wang

    The UASB system successfully treated sulfamethoxazole pharmaceutical wastewater.

    High concentration sulfate of this wastewater was the main refractory factor.

    UASB recovery performance after a few days of inflow arrest was studied.

    The optimal UASB operating conditions for practical application were determined.

    Treatment of sulfamethoxazole pharmaceutical wastewater is a big challenge. In this study, a series of anaerobic evaluation tests on pharmaceutical wastewater from different operating units was conducted to evaluate the feasibility of using anaerobic digestion, and the results indicated that the key refractory factor for anaerobic treatment of this wastewater was the high sulfate concentration. A laboratory-scale up-flow anaerobic sludge blanket (UASB) reactor was operated for 195 days to investigate the effects of the influent chemical oxygen demand (COD), organic loading rate (OLR), and COD/SO42 ratio on the biodegradation of sulfamethoxazole in pharmaceutical wastewater and the process performance. The electron flow indicated that methanogenesis was still the dominant reaction although sulfidogenesis was enhanced with a stepwise decrease in the influent COD/SO42 ratio. For the treated sulfamethoxazole pharmaceutical wastewater, a COD of 4983 mg/L (diluted by 50%), OLR of 2.5 kg COD/(m3·d), and COD/SO42 ratio of more than 5 were suitable for practical applications. The recovery performance indicated that the system could resume operation quickly even if production was halted for a few days.

  • FEATURE ARTICLE
    Xin Li , Jun Xie , Chuanjia Jiang , Jiaguo Yu , Pengyi Zhang

    Fundamentals on the photocatalytic degradation were systematically summarized.

    Charge carrier dynamics for the photocatalytic degradation were reviewed.

    Adsorption and photodegradation kinetics of reactants were highlighted.

    The mechanism aspects, including O2 reduction, reactive oxidation species and key intermediates were also addressed.

    Selectivity and stability of semiconductors for photodegradation were clarified.

    Heterogeneous photocatalysis has long been considered to be one of the most promising approaches to tackling the myriad environmental issues. However, there are still many challenges for designing efficient and cost-effective photocatalysts and photocatalytic degradation systems for application in practical environmental remediation. In this review, we first systematically introduced the fundamental principles on the photocatalytic pollutant degradation. Then, the important considerations in the design of photocatalytic degradation systems are carefully addressed, including charge carrier dynamics, catalytic selectivity, photocatalyst stability, pollutant adsorption and photodegradation kinetics. Especially, the underlying mechanisms are thoroughly reviewed, including investigation of oxygen reduction properties and identification of reactive oxygen species and key intermediates. This review in environmental photocatalysis may inspire exciting new directions and methods for designing, fabricating and evaluating photocatalytic degradation systems for better environmental remediation and possibly other relevant fields, such as photocatalytic disinfection, water oxidation, and selective organic transformations.

  • RESEARCH ARTICLE
    Bingjie Xu , Gang Xue , Xing Yang

    • An ibuprofen-degrading strain, Serratia marcescens BL1, was isolated and identified.

    • The effects of various factors on ibuprofen degradation by BL1 were evaluated.

    • Strain BL1 was applied to a laboratory-scale biological aerated filter system.

    • Strain BL1 was stable in both static tests and in the biological aerated filter system.

    Ibuprofen (IBU) is widely used in the world as anti-inflammatory drug, which posed health risk to the environment. A bacterium capable of degrading IBU was isolated from activated sludge in a sewage treatment plant. According to its morphological, physiologic, and biochemical characteristics, as well as 16S rRNA sequence analysis, the strain was identified as Serratia marcescens BL1 (BL1). Degradation of IBU required the presence of primary substrate. After a five-day cultivation with yeast powder at 30℃ and pH 7, the highest degradation (93.47%±2.37%) was achieved. The process of BL1 degrading IBU followed first-order reaction kinetics. The BL1 strain was applied to a small biological aerated filter (BAF) device to form a biofilm with activated sludge. IBU removal by the BAF was consistent with the results of static tests. The removal of IBU was 32.01% to 44.04% higher than for a BAF without BL1. The indigenous bacterial community was able to effectively remove CODMn (permanganate index) and ammonia nitrogen in the presence of BL1.