2017-03-17 2017, Volume 11 Issue 1
  • Cover illustration

    (Ting Yuan, Yakun Guo, Junkai Dong, Tianyi Li, Tong Zhou, Kaiwen Sun, Mei Zhang, Qingyu Wu, Zhen Xie, Yizhi Cai, Limin Cao, Junbiao Dai, pp. 107-116)
    One critical step in metabolic engineering is to optimize, both spatially and temporally, the expression of key enzymes, maximizing the metabolic flux to a desired product. Here a genome-wide collection of native promoter libraries were constructed to drive the expression of a yellow fluorescent protein (YFP) reporter in Saccharomyces cerevisiae, allowing fast and accurate measurement of activity of ea [Detail] ...


  • Select all
  • Editorial
  • REVIEW ARTICLE
    Michael D. Dressler , Corey J. Clark , Chelsea A. Thachettu , Yasmine Zakaria , Omar Tonsi Eldakar , Robert P. Smith

    Cooperation is ubiquitous in biological systems. However, if natural selection favors traits that confer an advantage to one individual over another, then helping others would be paradoxical. Nevertheless, cooperation persists and is critical in maintaining homeostasis in systems ranging from populations of bacteria to groupings of mammals. Developing an understanding of the dynamics and mechanisms by which cooperation operates is critical in understanding ecological and evolutionary relationships. Over the past decade, synthetic biology has emerged as a powerful tool to study social dynamics. By engineering rationally controlled and modulatable behavior into microbes, we have increased our overall understanding of how cooperation enhances, or conversely constrains, populations. Furthermore, it has increased our understanding of how cooperation is maintained within populations, which may provide a useful framework to influence populations by altering cooperation. As many bacterial pathogens require cooperation to infect the host and survive, the principles developed using synthetic biology offer promise of developing novel tools and strategies to treat infections, which may reduce the use of antimicrobial agents. Overall, the use of engineered cooperative microbes has allowed the field to verify existing, and develop novel, theories that may govern cooperative behaviors at all levels of biology.

  • REVIEW ARTICLE
    Qingzhuo Wang , Shuang-Yan Tang , Sheng Yang

    Overproduction of small-molecule chemicals using engineered microbial cells has greatly reduced the production cost and promoted environmental protection. Notably, the rapid and sensitive evaluation of the in vivo concentrations of the desired products greatly facilitates the optimization process of cell factories. For this purpose, many genetic components have been adapted into in vivo biosensors of small molecules, which couple the intracellular concentrations of small molecules to easily detectable readouts such as fluorescence, absorbance, and cell growth. Such biosensors allow a high-throughput screening of the small-molecule products, and can be roughly classified as protein-based and RNA-based biosensors. This review summarizes the recent developments in the design and applications of biosensors for small-molecule products.

  • REVIEW ARTICLE
    Qingxin Li

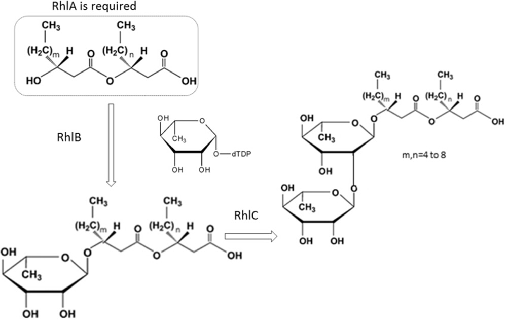
    Rhamnolipids are one of the most effective biosurfactants that are of great interest in industrial applications such as enhancing oil recovery, health care, cosmetics, pharmaceutical processes, food processing, detergents for protein folding, and bioremediation due to their unique characteristics such as low toxicity, surface active property to reduce surface/interfacial tensions, and excellent biodegradability. The genes and metabolic pathways for rhamnolipid synthesis have been well elucidated, but its cost-effective production is still challenging. Pseudomonas aeruginosa, the most powerful rhamnolipid producer, is an opportunistic pathogen, which limits its large scale production and applications. Rhamnolipid production using engineered strains other than Pseudomonas aeruginosa such as E. coli and Pseudomonas putida has received much attention. The highest yield of rhamnolipids is achieved when oil-type carbon sources are used, but using cheaper and renewable carbon sources such as lignocellulose would be an attractive strategy to reduce the production cost of rhamnolipids for various industrial applications.

  • REVIEW ARTICLE
    Kylie Standage-Beier , Xiao Wang

    The ability to go from a digitized DNA sequence to a predictable biological function is central to synthetic biology. Genome engineering tools facilitate rewriting and implementation of engineered DNA sequences. Recent development of new programmable tools to reengineer genomes has spurred myriad advances in synthetic biology. Tools such as clustered regularly interspace short palindromic repeats enable RNA-guided rational redesign of organisms and implementation of synthetic gene systems. New directed evolution methods generate organisms with radically restructured genomes. These restructured organisms have useful new phenotypes for biotechnology, such as bacteriophage resistance and increased genetic stability. Advanced DNA synthesis and assembly methods have also enabled the construction of fully synthetic organisms, such as J. Craig Venter Institute (JCVI)-syn 3.0. Here we summarize the recent advances in programmable genome engineering tools.

  • REVIEW ARTICLE
    Hajime Nakatani , Katsutoshi Hori

    Cell surface protein engineering facilitated by accumulation of information on genome and protein structure involves heterologous production and modification of cell surface proteins using genetic engineering, and is important for the development of high-performance whole-cell catalysts. In this field, cell surface display is a major technology by exposing target proteins, such as enzymes, on the cell surface using a carrier protein. The target proteins are fused to the carrier proteins that transport and tether them to the cell surface, as well as to a secretion signal. This paper reviews cell surface display systems for prokaryotic and eukaryotic cells from the perspective of carrier proteins, which determine the number of displayed molecules, and the localization, size, and direction (N- or C-terminal anchoring) of the passengers. We also discuss advanced methods for displaying multiple enzymes and a new method for the immobilization of whole-cell catalysts using adhesive surface proteins.

  • REVIEW ARTICLE
    Fernando Villarreal , Cheemeng Tan

    The advent of synthetic biology has ushered in new applications of cell-free transcription-translation systems. These cell-free systems are reconstituted using cellular proteins, and are amenable to modular control of their composition. Here, we discuss the historical advancement of cell-free systems, as well as their new applications in the rapid design of synthetic genetic circuits and components, directed evolution of biomolecules, diagnosis of infectious diseases, and synthesis of vaccines. Finally, we present our vision on the future direction of cell-free synthetic biology.

  • REVIEW ARTICLE
    Jongmoon Park , Yunnam Choi

    Cyanobacteria can produce useful renewable fuels and high-value chemicals using sunlight and atmospheric carbon dioxide by photosynthesis. Genetic manipulation has increased the variety of chemicals that cyanobacteria can produce. However, their uniquely abundant NADPH-pool, in other words insufficient supply of NADH, tends to limit their production yields in case of utilizing NADH-dependent enzyme, which is quite common in heterotrophic microbes. To overcome this cofactor imbalance and enhance cyanobacterial fuel and chemical production, various approaches for cofactor engineering have been employed. In this review, we focus on three approaches: (1) utilization of NADPH-dependent enzymes, (2) increasing NADH production, and (3) changing cofactor specificity of NADH-dependent enzymes from NADH to NADPH.

  • RESEARCH ARTICLE
    Hui Wan , Yu Xia , Jianghua Li , Zhen Kang , Jingwen Zhou

    Pyrroloquinoline quinone (PQQ) plays a significant role as a redox cofactor in combination with dehydrogenases in bacteria. These dehydrogenases play key roles in the oxidation of important substrates for the biotechnology industry, such as vitamin C production. While biosynthesis of PQQ genes has been widely studied, PQQ-transport mechanisms remain unclear. Herein, we used both two-dimensional fluorescence-difference gel electrophoresis tandem mass spectrometry and RNA sequencing to investigate the effects of pqqB overexpression in an industrial strain of Gluconobacter oxydans WSH-003. We have identified 73 differentially expressed proteins and 99 differentially expressed genes, a majority of which are related to oxidation-reduction and transport processes by gene ontology analysis. We also described several putative candidate effectors that responded to increased PQQ levels resulting from pqqB overexpression. Furthermore, quantitative PCR was used to verify five putative PQQ-transport genes among different PQQ producing strains, and the results showed that ompW, B932_1930 and B932_2186 were upregulated in all conditions. Then the three genes were over-expressed in G. oxydans WSH-003 and PQQ production were detected. The results showed that extracellular PQQ of B932_1930 (a transporter) and B932_2186 (an ABC transporter permease) overexpression strains were enhanced by 1.77-fold and 1.67-fold, respectively. The results suggest that the proteins encoded by PqqB, B932_1930 and B932_2186 might enhance the PQQ secretion process.

  • RESEARCH ARTICLE
    Ruizhao Wang , Xiaoli Gu , Mingdong Yao , Caihui Pan , Hong Liu , Wenhai Xiao , Ying Wang , Yingjin Yuan

    The conversion of β-carotene to astaxanthin is a complex pathway network, in which two steps of hydroxylation and two steps of ketolation are catalyzed by β-carotene hydroxylase (CrtZ) and β-carotene ketolase (CrtW) respectively. Here, astaxanthin biosynthesis pathway was constructed in Saccharomyces cerevisiae by introducing heterologous CrtZ and CrtW into an existing high β-carotene producing strain. Both genes crtZ and crtW were codon optimized and expressed under the control of constitutive promoters. Through combinatorial expression of CrtZ and CrtW from diverse species, nine strains in dark red were visually chosen from thirty combinations. In all the selected strains, strain SyBE_Sc118060 with CrtW from Brevundimonas vesicularis DC263 and CrtZ from Alcaligenes sp. strain PC-1 achieved the highest astaxanthin yield of 3.1 mg/g DCW. Protein phylogenetic analysis shows that the shorter evolutionary distance of CrtW is, the higher astaxanthin titer is. Further, when the promoter of crtZ in strain SyBE_Sc118060 was replaced from FBA1p to TEF1p, the astaxanthin yield was increased by 30.4% (from 3.4 to 4.5 mg/g DCW). In the meanwhile, 33.5-fold increase on crtZ transcription level and 39.1-fold enhancement on the transcriptional ratio of crtZ to crtW were observed at early exponential phase in medium with 4% (w/v) glucose. Otherwise, although the ratio of crtZ to crtW were increased at mid-, late-exponential phases in medium with 2% (w/v) glucose, the transcription level of both crtZ and crtW were actually decreased during the whole time course, consequently leading to no significant improvement on astaxanthin production. Finally, through high cell density fed-batch fermentation using a carbon source restriction strategy, the production of astaxanthin in a 5-L bioreactor reached to 81.0 mg/L, which was the highest astaxanthin titer reported in yeast. This study provides a reference to greatly enhance desired compounds accumulation by employing the key enzyme(s) in microbes.

  • RESEARCH ARTICLE
    Shaojie Wang , Zhihong Ma , Ting Zhang , Meidan Bao , Haijia Su

    The production of bio-hydrogen from raw cassava starch via a mixed-culture dark fermentation process was investigated. The production yield of H2 was optimized by adjusting the substrate concentration and the microorganism mixture ratio. A maximum H2 yield of 1.72 mol H2/mol glucose was obtained with a cassava starch concentration of 10 g/L to give a 90% utilization rate. The kinetics of the substrate utilization and of the generation of both hydrogen and volatile fatty acids were also investigated. The substrate utilization follows pseudo first order reaction kinetics, whereas the production of both H2 and the VFAs correlate with the Gompertz equation. These results show that cassava is a good candidate for the production of biohydrogen.

  • RESEARCH ARTICLE
    Ting Yuan , Yakun Guo , Junkai Dong , Tianyi Li , Tong Zhou , Kaiwen Sun , Mei Zhang , Qingyu Wu , Zhen Xie , Yizhi Cai , Limin Cao , Junbiao Dai

    Promoters are critical elements to control gene expression but could behave differently under various growth conditions. Here we report the construction of a genome-wide promoter library, in which each native promoter in Saccharomyces cerevisiae was cloned upstream of a yellow fluorescent protein (YFP) reporter gene. Nine libraries were arbitrarily defined and assembled in bacteria. The resulting pools of promoters could be prepared and transformed into a yeast strain either as centromeric plasmids or integrated into a genomic locus upon enzymatic treatment. Using fluorescence activated cell sorting, we classified the yeast strains based on YFP fluorescence intensity and arbitrarily divided the entire library into 12 bins, representing weak to strong promoters. Several strong promoters were identified from the most active bins and their activities were assayed under different growth conditions. Finally, these promoters were applied to drive the expression of genes in xylose utilization to improve fermentation efficiency. Together, this library could provide a quick solution to identify and utilize desired promoters under user-defined growth conditions.

  • RESEARCH ARTICLE
    Duo Liu , Bingzhi Li , Hong Liu , Xuejiao Guo , Yingjin Yuan

    Metabolic engineering of heterologous resveratrol production in Saccharomyces cerevisiae faces challenges as the precursor L-tyrosine is stringently regulated by a complex biosynthetic system. We overexpressed the main gene targets in the upstream pathways to investigate their influences on the downstream resveratrol production. Single-gene overexpression and DNA assembly-directed multigene overexpression affect the production of resveratrol as well as its precursor p-coumaric acid. Finally, the collaboration of selected gene targets leads to an optimal resveratrol production of 66.14±3.74 mg·L–1, 2.27 times higher than the initial production in YPD medium (4% glucose). The newly discovered gene targets TRP1 expressing phosphoribosylanthranilate isomerase, ARO3 expressing 3-deoxy-D-arabino-heptulosonate-7-phosphate synthase, and 4CL expressing 4-coumaryl-CoA ligase show notable positive impacts on resveratrol production in S. cerevisiae.

  • COMMUNICATION
    Lidan Ye , Xiaomei Lv , Hongwei Yu

    A robust and versatile tool for multigene pathway assembly is a key to the biosynthesis of high-value chemicals. Here we report the rapid construction of biosynthetic pathways in Saccharomyces cerevisiae using a marker recyclable integrative toolbox (pUMRI) developed in our research group, which has features of ready-to-use, convenient marker recycling, arbitrary element replacement, shuttle plasmid, auxotrophic marker independence, GAL regulation, and decentralized assembly. Functional isoprenoid biosynthesis pathways containing 4–11 genes with lengths ranging from ~10 to ~22 kb were assembled using this toolbox within 1–5 rounds of reiterative recombination. In combination with GAL-regulated metabolic engineering, high production of isoprenoids (e.g., 16.3 mg∙g‒1 dcw carotenoids) was achieved. These results demonstrate the wide range of application and the efficiency of the pUMRI toolbox in multigene pathway construction of S. cerevisiae.

  • COMMUNICATION
    Kata Kiss , Wei Ting Ng , Qingxin Li

    Rhamnolipids are a class of biosurfactants that have a great potential to be used in industries. Five proteins/enzymes, namely RhlA, RhlB, RhlC, RhlG and RhlI, are critical for the production of rhamnolipids in Pseudomonas aeruginosa. Four of the 5 proteins except RhlC were successfully over-expressed in E. coli and three of them (RhlA, RhlB and RhlI) were purified and obtained in milligram quantities. The purified proteins were shown to be folded in solution. Homology models were built for RhlA, RhlB and RhlI. These results lay a basis for further structural and functional characterization of these proteins in vitro to favor the construction of super strains for rhamnolipids production.

  • VIEWS & COMMENTS
    Seiichi Taguchi

    Establishment of the regeneratable whole-cell catalyst platform for the production of biobased polymeric materials is a typical topic of synthetic biology. In this commentary, discovery story of a “lactate-polymerizing enzyme” (LPE) and LPE-based achievements for creating a new variety of polyesters with incorporated unnatural monomers are presented. Besides the importance of microbial platform itself is discussed referring to the “ballooning”-Escherichia coli.