2025-03-15 2025, Volume 12 Issue 1

  • Select all
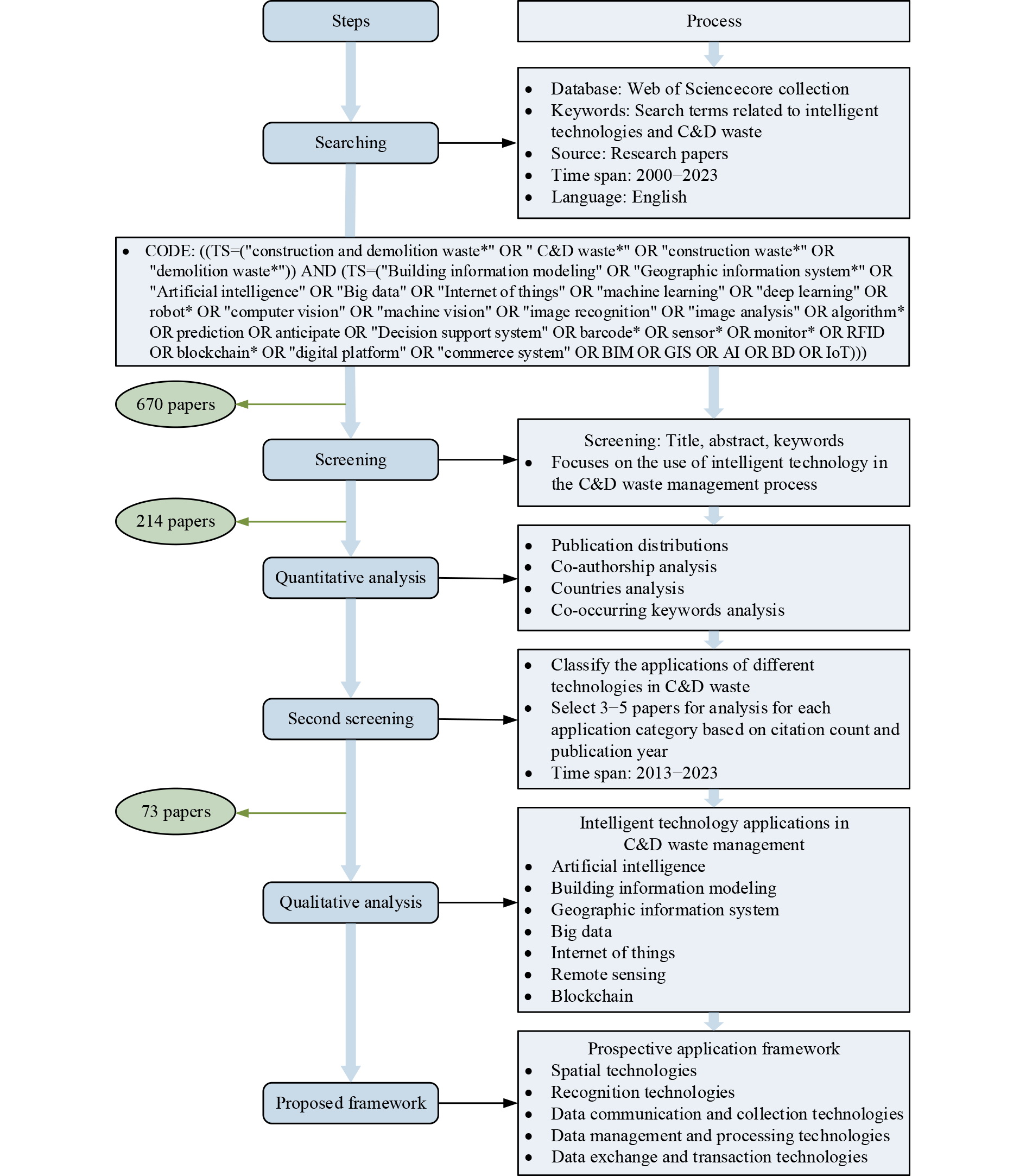
  • REVIEW ARTICLE
    Zezhou WU , Tianjia PEI , Zhikang BAO , S. Thomas NG , Guoyang LU , Ke CHEN

    The rapid increase in global urbanization, along with the growth of the construction industry, highlights the urgent need for effective management of construction and demolition (C&D) waste. Intelligent technologies offer a viable solution to this critical challenge. However, there remains a significant challenge in integrating these technologies into a cohesive framework. This study conducts a quantitative analysis of 214 papers from 2000 to 2023, highlighting the extensive use of artificial intelligence (AI) and building information modeling (BIM), along with geographic information systems (GIS) and big data (BD). A further qualitative analysis of 73 selected papers investigates the use of seven different intelligent technologies in the context of C&D waste management (CDWM). To overcome current limitations in knowledge, future research should concentrate on (1) the comprehensive integration of technology, (2) inclusive studies throughout all lifecycle phases of CDWM, and (3) the continued examination of new technologies, such as blockchain. Based on these insights, this study suggests a strategic framework for the effective implementation of intelligent technologies in CDWM. This framework aims to assist professionals in merging various technologies, undertaking lifecycle-wide research, and narrowing the divide between existing and new technologies. It also lays a solid foundation for future academic work to examine specific intelligent technologies, conduct comparative studies, and refine strategic decisions. Regular updates on technological developments are essential for stakeholders to consistently enhance CDWM standards.

  • REVIEW ARTICLE
    Ke CHEN , Xiaojie ZHOU , Zhikang BAO , Mirosław Jan SKIBNIEWSKI , Weili FANG

    Artificial intelligence (AI) has emerged as a promising technological solution for addressing critical infrastructure construction challenges, such as elevated accident rates, suboptimal productivity, and persistent labor shortages. This review aims to thoroughly analyze the contemporary landscape of AI applications in the infrastructure construction sector. We conducted both quantitative and qualitative analyses based on 594 and 91 selected papers, respectively. The results reveal that the primary focus of current AI research in this field centers on safety monitoring and control, as well as process management. Key technologies such as machine learning, computer vision, and natural language processing are prominent, with significant attention given to the development of smart construction sites. Our review also highlights several areas for future research, including broadening the scope of AI applications, exploring the potential of diverse AI technologies, and improving AI applications through standardized data sets and generative AI models. These directions are promising for further advancements in infrastructure construction, offering potential solutions to its significant challenges.

  • RESEARCH ARTICLE
    Yanan LU , Ke YOU , Yuxiang WANG , Ying LIU , Cheng ZHOU , Yutian JIANG , Zhangang WU

    Large-scale machinery operated in a coordinated manner in earthworks for mining constitutes high safety risks. Efficient scheduling of such machinery, factoring in safety constraints, could save time and significantly improve the overall safety. This paper develops a model of automated equipment scheduling in mining earthworks and presents a scheduling algorithm based on deep reinforcement learning with spatio-temporal safety constraints. The algorithm not only performed well on safety parameters, but also outperformed randomized instances of various sizes set against real mining applications. Further, the study reveals that responsiveness to spatio-temporal safety constraints noticeably increases as the scheduling size increases. This method provides important noticeable improvements to safe automated scheduling in mining.

  • REVIEW ARTICLE
    Mengjun WANG , Jiannan CAI , Da HU , Yuqing HU , Zhu HAN , Shuai LI

    Industrialized buildings, characterized by off-site manufacturing and on-site installation, offer notable improvements in efficiency, cost-effectiveness, and material use. This transition from traditional construction methods not only accelerates building processes but also enhances working efficiencies globally. Despite its widespread adoption, the performance of industrialized building manufacturing (IBM) can still be optimized, particularly in enhancing time efficiency and reducing costs. This paper explores the integration of Artificial Intelligence (AI) and robotics at IBM to improve efficiency, cost-effectiveness, and material use in off-site assembly. Through a narrative literature review, this study systematically categorizes AI-based Robots (AIRs) applications into four critical stages—Cognition, Communication, Control, and Collaboration and Coordination, and then investigates their application in the factory assembly process for industrialized buildings, which is structured into distinct stages: component preparation, sub-assembly, main assembly, finishing tasks, and quality control. Each stage, from positioning components to the integration of larger modules and subsequent quality inspection, often involves robots or human-robot collaboration to enhance precision and efficiency. By examining research from 2014 to 2024, the review highlights the significant improvements AI-based robots have introduced to the construction sector, identifies existing challenges, and outlines future research directions. This comprehensive analysis aims to establish more efficient, precise, and tailored construction processes, paving the way for advanced IBM.

  • RESEARCH ARTICLE
    Bowen CAI , Léah CAMARCAT , Wen-long SHANG , Mohammed QUDDUS

    Predicting short-term traffic crashes is challenging due to an imbalanced data set characterized by excessive zeros in noncrash counts, random crash occurrences, spatiotemporal correlation in crash counts, and inherent heterogeneity. Existing models struggle to effectively address these distinct characteristics in crash data. This paper proposes a new joint model by combining the time-series generalized regression neural network (TGRNN) model and the binomially weighted convolutional neural network (BWCNN) model. The joint model aims to capture all these characteristics in short-term crash prediction. The model was trained and tested using real-world, highly disaggregated traffic data collected with inductive loop detectors on the M1 motorway in the UK in 2019, along with crash data extracted from the UK National Accident Database for the same year. The short-term is defined as a 30-min interval, providing sufficient time for a traffic control center to implement interventions and mitigate potential hazards. The year was segmented into 30-min intervals, resulting in a highly imbalanced data set with over 99.99% noncrash samples. The joint model was applied to predict the probability of a crash occurrence by updating both the crash and traffic data every 30 min. The findings revealed that 75.3% of crashes and 81.6% of noncrash events were correctly predicted in the southbound direction. In the northbound direction, 78.1% of crashes and 80.2% of noncrash events were accurately captured. Causal analysis and model-based interpretation were used to analyze the relative importance of explanatory variables regarding their contribution to crashes. The results reveal that speed variance and speed are the most influential factors contributing to crash occurrence.

  • RESEARCH ARTICLE
    Da HU , Mengjun WANG , Shuai LI

    In healthcare facilities, including hospitals, pathogen transmission can lead to infectious disease outbreaks, highlighting the need for effective disinfection protocols. Although disinfection robots offer a promising solution, their deployment is often hindered by their inability to accurately recognize human activities within these environments. Although numerous studies have addressed Human Activity Recognition (HAR), few have utilized scene graph features that capture the relationships between objects in a scene. To address this gap, our study proposes a novel hybrid multi-classifier information fusion method that combines scene graph analysis with visual feature extraction for enhanced HAR in healthcare settings. We first extract scene graphs, complete with node and edge attributes, from images and use a graph classification network with a graph attention mechanism for activity recognition. Concurrently, we employ Swin Transformer and convolutional neural network models to extract visual features from the same images. The outputs from these three models are then integrated using a hybrid information fusion approach based on Dempster-Shafer theory and a weighted majority vote. Our method is evaluated on a newly compiled hospital activity data set, consisting of 5,770 images across 25 activity categories. The results demonstrate an accuracy of 90.59%, a recall of 90.16%, and a precision of 90.31%, outperforming existing HAR methods and showing its potential for practical applications in healthcare environments.

  • RESEARCH ARTICLE
    Fuzan CHEN , Jing YANG , Haiyang FENG , Harris WU , Minqiang LI

    Quality of Service (QoS) is a key factor for users when choosing cloud services. However, QoS values are often unavailable due to insufficient user evaluations or provider data. To address this, we propose a new QoS prediction method, Multi-source Feature Two-phase Learning (MFTL). MFTL incorporates multiple sources of features influencing QoS and uses a two-phase learning framework to make effective use of these features. In the first phase, coarse-grained learning is performed using a neighborhood-integrated matrix factorization model, along with a strategy for selecting high-quality neighbors for target users. In the second phase, reinforcement learning through a deep neural network is used to capture interactions between users and services. We conducted several experiments using the WS-Dream data set to assess MFTL’s performance in predicting response time QoS. The results show that MFTL outperforms many leading QoS prediction methods.

  • REVIEW ARTICLE
    Feng LIU , Jiaqi JIANG , Yating LU , Zhanyi HUANG , Jiuming JIANG

    The widespread application of large language models (LLMs) has highlighted new security challenges and ethical concerns, attracting significant academic and societal attention. Analysis of the security vulnerabilities of LLMs and their misuse in cybercrime reveals that their advanced text-generation capabilities pose serious threats to personal privacy, data security, and information integrity. In addition, the effectiveness of current LLM-based defense strategies has been reviewed and evaluated. This paper examines the social implications of LLMs and proposes future directions for enhancing their security applications and ethical governance, aiming to inform the development of the field.

  • RESEARCH ARTICLE
    Qiang FENG , Qilong WU , Xingshuo HAI , Yi REN , Changyun WEN , Zili WANG

    Restoration of infrastructure networks (INs) following large disruptions has received much attention lately due to examples of massive localized attacks. Within this challenge are two complex but critical problems: repair route identification and optimizing the sequence of the repair actions for resilience improvement. Existing approaches have not, however, given due consideration to globally optimal enhancement in resilience, especially with multiple repair crews that have uneven capacities. To address this gap, this paper focuses on a resilience optimization (RO) strategy for coordinating multiple crews. The objective is to determine the optimal routes for each crew and the best sequence of repairs for damaged nodes and links. Given the two-layered decision-making required—coordinating between multiple crews and optimizing each crew’s actions—this study develops a deep reinforcement learning (DRL) framework. The framework leverages an actor-critic neural network that processes IN damage data and guides Monte Carlo tree search (MCTS) to identify optimal repair routes and actions for each crew. A case study based on the 228-node power grid, simulated using Python, demonstrates that the proposed DRL approach effectively supports restoration decision-making.

  • REVIEW ARTICLE
    Ruiyu XU , Zheren SONG , Jianguo WU , Chao WANG , Shiyu ZHOU

    Recent advances in deep learning have led to the creation of various methods for change-point detection (CPD). These methods enhance the ability of CPD techniques to handle complex, high-dimensional data, making them more adaptable and less dependent on strict assumptions about data distributions. CPD methods have also demonstrated high accuracy and have been applied across various fields, including manufacturing, healthcare, activity monitoring, finance, and environmental monitoring. This review provides an overview of how these methods are applied, the data sets they use, and how their performance is evaluated. It also organizes techniques into supervised and unsupervised categories, citing key studies. Finally, we explore ongoing challenges and suggest directions for future research to improve interpretability, generalizability, and real-world implementation.

  • REVIEW ARTICLE
    Junming FAN , Yue YIN , Tian WANG , Wenhang DONG , Pai ZHENG , Lihui WANG

    human–robot collaboration (HRC) is set to transform the manufacturing paradigm by leveraging the strengths of human flexibility and robot precision. The recent breakthrough of Large Language Models (LLMs) and Vision-Language Models (VLMs) has motivated the preliminary explorations and adoptions of these models in the smart manufacturing field. However, despite the considerable amount of effort, existing research mainly focused on individual components without a comprehensive perspective to address the full potential of VLMs, especially for HRC in smart manufacturing scenarios. To fill the gap, this work offers a systematic review of the latest advancements and applications of VLMs in HRC for smart manufacturing, which covers the fundamental architectures and pretraining methodologies of LLMs and VLMs, their applications in robotic task planning, navigation, and manipulation, and role in enhancing human–robot skill transfer through multimodal data integration. Lastly, the paper discusses current limitations and future research directions in VLM-based HRC, highlighting the trend in fully realizing the potential of these technologies for smart manufacturing.

  • COMMENTS
    Yong CHEN , Haoyu ZHANG , Chuanjia LI , Ben CHI , Xiqun (Michael) CHEN , Jianjun WU

    Smart city mobility faces mounting challenges as urban mobility systems grow increasingly complex. Large language models (LLMs) have promise in interpreting and processing multi-modal urban data, but issues like model instability, computational inefficiency, and concerns about reliability hinder their implementations. In this Comment, we outline feasible LLM application scenarios, critically evaluate existing challenges, and highlight avenues for advancing LLM-based mobility systems through multi-modal data integration and developing robust, lightweight models.

  • COMMENTS
    Daohan HUANG , Yulong LI , Han SU , Guijun LI , Jie ZHUANG
  • SUPER ENGINEERING
    Zhen ZHANG , Yong HUANG , Mi ZHANG , Zhuang XIONG , Chengcheng LI