2020-10-15 2020, Volume 14 Issue 5
  • Cover illustration

    (Zhaoyou Zhu, Guoxuan Li, Yao Dai, Peizhe Cui, Dongmei Xu, Yinglong Wang, pp. 824‒833)
    The traditional approach of solvent selection in the extractive distillation process strictly focuses on the change in relative volatility of the light-heavy component caused by the solvent. However, the total annual cost of the process may not be minimal when the solvent causes the greatest change in relative volatility. This work presents a heuristic method to select the optimal solvent to minimize the total annual cost. The functional relationship between the relative v [Detail] ...


  • Select all
  • REVIEW ARTICLE
    You Han , Yulian Wang , Tengzhou Ma , Wei Li , Jinli Zhang , Minhua Zhang

    Copper has received extensive attention in the field of catalysis due to its rich natural reserves, low cost, and superior catalytic performance. Herein, we reviewed two modification mechanisms of co-catalyst on the coordination environment change of Cu-based catalysts: (1) change the electronic orbitals and geometric structure of Cu without any catalytic functions; (2) act as an additional active site with a certain catalytic function, as well as their catalytic mechanism in major reactions, including the hydrogenation to alcohols, dehydrogenation of alcohols, water gas shift reaction, reduction of nitrogenous compounds, electrocatalysis and others. The influencing mechanisms of different types of auxiliary metals on the structure-activity relationship of Cu-based catalysts in these reactions were especially summarized and discussed. The mechanistic understanding can provide significant guidance for the design and controllable synthesis of novel Cu-based catalysts used in many industrial reactions.

  • REVIEW ARTICLE
    Edward Mohamed Hadji , Bo Fu , Ayob Abebe , Hafiz Muhammad Bilal , Jingtao Wang

    Elimination of leaked oil from aquatic environs has recently gained importance owing to the disasters associated with leakages into marine environments. The need for an environmentally friendly and viable line of action concerning the environs has brought forward numerous affordable, non-toxic, and decomposable materials; further, diverse biomasses for fabricating nano- to micro-scale materials, membranes, and sponges/aerogels have also been incorporated for the elimination and retrieval of oils from water. Moreover, selectivity, sorption capacity, and reusability of these materials after the retrieval of oils are also desired from the viewpoint of sustainability. This review encompasses the recent progress in the field of elimination and retrieval of oil spills using various sponge-based materials.

  • RESEARCH ARTICLE
    Sen Wang , Shiyun Liu , Danhua Mei , Rusen Zhou , Congcong Jiang , Xianhui Zhang , Zhi Fang , Kostya (Ken) Ostrikov

    Non-thermal plasma exhibits unique advantages in biomass conversion for the sustainable production of higher-value energy carriers. Different homogeneous catalysts are usually required for plasma-enabled biomass liquefaction to achieve time-and energy-efficient conversions. However, the effects of such catalysts on the plasma-assisted liquefaction process and of the plasma on those catalysts have not been thoroughly studied. In this study, an electrical discharge plasma is employed to promote the direct liquefaction of sawdust in a mixture of polyethylene glycol 200 and glycerol. Three commonly used chemicals, sulfuric acid, nitric acid and sodium p-toluene sulfate, were selected as catalysts. The effects of the type of catalyst and concentration on the liquefaction yield were examined; further, the roles of the catalysts in the plasma liquefaction process have been discussed. The results showed that the liquefaction yield attains a value of 90% within 5 min when 1% sulfuric acid was employed as the catalyst. Compared with the other catalysts, sulfuric acid presents the highest efficiency for the liquefaction of sawdust. It was observed that hydrogen ions from the catalyst were primarily responsible for the significant thermal effects on the liquefaction system and the generation of large quantities of active species; these effects directly contributed to a higher efficacy of the plasma-enabled liquefaction process.

  • RESEARCH ARTICLE
    Baoyu Liu , Qiaowen Mu , Jiajin Huang , Wei Tan , Jing Xiao

    Titanosilicate pillared MFI zeolite nanosheets were successfully synthesized by infiltrating the mixed tetraethyl orthosilicate (TEOS)/tetrabutyl orthotitanate (TBOT) solvent into the gallery space between adjacent MFI zeolite layers. The obtained zeolite catalysts were characterized using powder X-ray diffraction, N2 adsorption/desorption isotherms, scanning electron microscopy, transmission electron microscopy, ultraviolet–visible spectroscopy, X-ray photoelectron spectroscopy, and Fourier-transform infrared spectroscopy techniques. The H2O2 oxidation of dibenzothiophene (DBT) was used to evaluate the catalytic performance of the obtained titanosilicate pillared MFI zeolites. The conversion of DBT and selectivity of dibenzothiophene sulfone (DBTS) were most affected by the textural properties of the zeolites. This was attributed to the DBT and DBTS molecules being larger than micropores of the MFI zeolites. The conversion of DBT and yield of DBTS could be systematically tailored by tuning the molar ratio of the TEOS/TBOT solvent. These results implied that a balance between the meso- and microporosity of zeolites and tetrahedrally coordinated Ti(IV) active sites of titanosilicate pillars can be achieved for the preparation of desired catalysts during the oxidation of bulk S compounds.

  • RESEARCH ARTICLE
    Shumei Wei , Yarong Xu , Zhaoyang Jin , Xuedong Zhu

    The conversion of n-hexane and methanol into value-added aromatic compounds is a promising method for their industrially relevant utilization. In this study, intergrown ZSM-5/ZSM-11 crystals were synthesized and their resulting catalytic performance was investigated and compared to those of the isolated ZSM-5 and ZSM-11 zeolites. The physicochemical properties of ZSM-5/ZSM-11 intergrown zeolite were analyzed using X-ray diffraction, N2 isothermal adsorption-desorption, the temperature-programmed desorption of ammonium, scanning electron microscopy, Fourier transform infrared spectra of adsorbed pyridine, and nuclear magnetic resonance of 27Al , and compared with those of the ZSM-5 and ZSM-11 zeolites. The catalytic performances of the materials were evaluated during the co-feeding reaction of methanol and n-hexane under the fixed bed conditions of 400°C, 0.5 MPa (N2), methanol:꞉n-hexane=7꞉:3 (mass ratio), and weight hourly space velocity=1 h–1 (methanol). Compared to the ZSM-5 and ZSM-11 zeolites, the ZSM-5/ZSM-11 zeolite exhibited the largest specific surface area, a unique crystal structure, moderate acidity, and suitable Brønsted/Lewis acid ratio. The evaluation results showed that ZSM-5/ZSM-11 catalyst exhibited better catalytic reactivity than the ZSM-5 and ZSM-11 catalysts in terms of methanol conversion rate, n-hexane conversion rate, and aromatic selectivity. The outstanding catalytic property of the intergrown ZSM-5/ZSM-11 was attributed to the enhanced diffusion associated with its unique crystal structure. The benefit of using zeolite intergrowth in the co-conversion of methanol and alkanes offers a novel route for future catalyst development.

  • RESEARCH ARTICLE
    Chenggang Qiu , Alei Zhang , Sha Tao , Kang Li , Kequan Chen , Pingkai Ouyang

    Strain QCG of the aerobic bacteria Bacillus cereus is capable of producing 1-naphthol from naphthalene, this strain was first isolated and characterized in this study. Strain QCG was mutagenized to enhance 1-naphthol production, using atmospheric and room temperature plasma (ARTP) technology. Then, a microbial clone screening system was used to accelerate the operation. Meanwhile, a novel color-mediated high-throughput screening using 4-aminoantipyrine was performed to screen mutants. The optimal mutant strain QCG4 produced 19.58±0.34 mg∙L1 1-naphthol from naphthalene that was 47.32% higher than that of the original strain (13.29±0.28 mg∙L1). In addition, the optimal conditions for 1-naphthol production via whole-cell catalysis of strain QCG4 were determined to be an OD600 of 40, 150 mg∙L1 naphthalene, and 7.5% dimethyl formamide as a co-solvent at pH 7.5 and 26°C for 3 h, resulting in 41.18±0.12 mg∙L1 1-naphthol, i.e., the mutant strain produces a 2.1-fold higher yield compared to the original strain.

  • RESEARCH ARTICLE
    Yifei Wang , Shouying Huang , Xinsheng Teng , Hongyu Wang , Jian Wang , Qiao Zhao , Yue Wang , Xinbin Ma

    The Fischer–Tropsch synthesis (FTS) continues to be an attractive alternative for producing a broad range of fuels and chemicals through the conversion of syngas (H2 and CO), which can be derived from various sources, such as coal, natural gas, and biomass. Among iron carbides, Fe2C, as an active phase, has barely been studied due to its thermodynamic instability. Here, we fabricated a series of Fe2C embedded in hollow carbon sphere (HCS) catalysts. By varying the crystallization time, the shell thickness of the HCS was manipulated, which significantly influenced the catalytic performance in the FTS. To investigate the relationship between the geometric structure of the HCS and the physic-chemical properties of Fe species, transmission electron microscopy, X-ray diffraction, N2 physical adsorption, X-ray photoelectron spectroscopy, hydrogen temperature-programmed reduction, Raman spectroscopy, and Mössbauer spectroscopy techniques were employed to characterize the catalysts before and after the reaction. Evidently, a suitable thickness of the carbon layer was beneficial for enhancing the catalytic activity in the FTS due to its high porosity, appropriate electronic environment, and relatively high Fe2C content.

  • RESEARCH ARTICLE
    Mengyun Wang , Shengbo Zhang , Mei Li , Aiguo Han , Xinli Zhu , Qingfeng Ge , Jinyu Han , Hua Wang

    Novel, hierarchical, flower-like Ag/Cu2O and Au/Cu2O nanostructures were successfully fabricated and applied as efficient electrocatalysts for the electrochemical reduction of CO2. Cu2O nanospheres with a uniform size of ~180 nm were initially synthesized. Thereafter, Cu2O was used as a sacrificial template to prepare a series of Ag/Cu2O composites through galvanic replacement. By varying the Ag/Cu atomic ratio, Ag0.125/Cu2O, having a hierarchical, flower-like nanostructure with intersecting Ag nanoflakes encompassing an inner Cu2O sphere, was prepared. The as-prepared Agx/Cu2O samples presented higher Faradaic efficiencies (FE) for CO and relatively suppressed H2 evolution than the parent Cu2O nanospheres due to the combination of Ag with Cu2O in the former. Notably, the highest CO evolution rate was achieved with Ag0.125/Cu2O due to the larger electroactive surface area furnished by the hierarchical structure. The same hierarchical flower-like structure was also obtained for the Au0.6/Cu2O composite, where the FECO (10%) was even higher than that of Ag0.125/Cu2O. Importantly, the results reveal that Ag0.125/Cu2O and Au0.6/Cu2O both exhibit remarkably improved stability relative to Cu2O. This study presents a facile method of developing hierarchical metal-oxide composites as efficient and stable electrocatalysts for the electrochemical reduction of CO2.

  • RESEARCH ARTICLE
    Zhaoyou Zhu , Guoxuan Li , Yao Dai , Peizhe Cui , Dongmei Xu , Yinglong Wang

    The traditional approach to solvent selection in the extractive distillation process strictly focuses on the change in the relative volatility of light-heavy components induced by the solvent. However, the total annual cost of the process may not be minimal when the solvent induces the largest change in relative volatility. This work presents a heuristic method for selecting the optimal solvent to minimize the total annual cost. The functional relationship between the relative volatility and the total annual cost is established, where the main factors, such as the relative volatility of the light-heavy components and the relative volatility of the heavy-component solvent, are taken into account. Binary azeotropic mixtures of methanol-toluene and methanol-acetone are separated to verify the feasibility of the model. The results show that using the solvent with the minimal two-column extractive distillation index, the process achieves a minimal total annual cost. The method is conducive for sustainable advancements in chemistry and engineering because a suitable solvent can be selected without simulation verification.

  • RESEARCH ARTICLE
    Hongzhe Hou , Yiqing Luo

    An improved matrix method for generating distillation configurations with (N−1) and less than (N−1) columns was proposed for the separation of an N-component mixture into essentially pure product streams based on the concepts of streams matrix and 0–1 matrixes proposed by Agrawal. In contrast with the matrix method developed by Agrawal, the present method removes the intermediate process centered on the splits, and complex column configurations, allowing the direct generation of multi-feeds and multi-product streams. Furthermore, certain configurations that cannot be generated directly and that are missing in the matrix method are obtained. Through rigorous simulations and optimization, we have demonstrated that these configurations have the potential to outperform certain existing configurations.

  • RESEARCH ARTICLE
    Jie Gao , Zhikai Li , Mei Dong , Weibin Fan , Jianguo Wang

    Coal-based ethanol production by hydration of ethylene is limited by the low equilibrium ethylene conversion at elevated temperature. To improve ethylene conversion, coupling hydration of ethylene with a potential ethanol consumption reaction was analyzed thermodynamically. Five reactions have been attempted and compared: (1) dehydration of ethanol to ethyl ether (2C2H5OHC2H5OC2H5+H2O), (2) dehydrogenation of ethanol to acetaldehyde (C2H5OHCH3CHO+H2), (3) esterification of acetic acid with ethanol (C2H5OH+CH3COOHCH3COOC2H5+H2O), (4) dehydrogenation of ethanol to ethyl acetate (2C2H5OHCH3COOC2H5+2H2), and (5) oxidative dehydrogenation of ethanol to ethyl acetate (2C2H5OH+O2CH3COOC2H5+2H2O). The equilibrium constants and equilibrium distributions of the coupled reactions were calculated and the effects of feed composition, temperature and pressure upon the ethylene equilibrium conversion were examined. The results show that dehydrogenation of ethanol to acetaldehyde has little effect on ethylene conversion, whereas for dehydrogenation of ethanol to acetaldehyde and ethyl acetate, ethylene conversion can be improved from 8% to 12.8% and 18.5%, respectively, under conditions of H2O/C2H4 = 2, 10 atm and 300°C. The esterification of acetic acid with ethanol can greatly enhance the ethylene conversion to 22.5%; in particular, ethylene can be actually completely converted to ethyl acetate by coupling oxidative dehydrogenation of ethanol.

  • RESEARCH ARTICLE
    Jun Wei , Jianbo Zhao , Di Cai , Wenqiang Ren , Hui Cao , Tianwei Tan

    In addition to the specific surface area, surface topography and characteristics such as the pore size, pore size distribution, and micro/mesopores ratio are factors that determine the performance of porous carbons (PCs) in the fields of energy, catalysis, and adsorption. Based on the mechanism of weight loss of polyaspartic acid at high temperatures, this study provided a new method for adjusting the surface morphology of PCs by changing the cross-linking ratio of the precursor, where cross-linked polyaspartic acid was used as precursor without additional activating agents. N2 adsorption analysis indicated that the specific surface area of the obtained PCs was as high as 1458 m2·g–1, of which 1200 m2·g–1 was the contribution of the microporous area and the highest pore volume was 1.13 cm3·g–1, of which the micropore volume was 0.636 cm3·g–1. The thermogravimetric analysis results of the precursor, and also the scanning electron microscopy and Brunauer–Emmet–Teller analysis results of the carbonization product confirmed that the prepared PCs presented multilevel pore structure, and the diameters of most pores were 0.78 and 3.97 nm; moreover, the pore size distribution was relatively uniform. This conferred the PCs the ultrahigh hydrogen adsorption capacity of up to 4.52 wt-% at 77 K and 1.13 bar, in addition to their great energy storage and catalytic potential.

  • RESEARCH ARTICLE
    Jiang-Wei Shen , Xue Cai , Bao-Juan Dou , Feng-Yu Qi , Xiao-Jian Zhang , Zhi-Qiang Liu , Yu-Guo Zheng

    A lipase from Sporisorium reilianum SRZ2 (SRL) with 73% amino acid sequence identity to Candida antarctica lipase B (CALB) was cloned and overexpressed in Pichia pastoris. The recombinant SRL showed a preference for short-chain p-nitrophenyl esters. It achieved maximum activity at pH 8.0 and 65°C for p-nitrophenyl hexanoate (C6) with Km and kcat/Km values of 0.14 mmol∙L−1 and 1712 min−1∙mmol∙L−1 at 30°C, respectively. SRL displayed excellent thermostability and pH stability, retaining more than 79% of its initial activity after incubation at 60°C for 72 h and 75% at pH 3 to 11 for 72 h. It also maintained most of its activity in the presence of inhibitors and detergents except sodium dodecyl sulfate, and it tolerated organic solvents. SRL was covalently immobilized and successfully used for ethyl hexanoate synthesis in cyclohexane or in a solvent-free system with a high conversion yield (>95%). Furthermore, high conversion yield was also achieved for the synthesis of various short-chain flavor esters when high substrate concentrations of 2 mol∙L−1 were applied. This study indicated that a CALB-type lipase from S. reilianum SRZ2 showed great potential in organic ester synthesis.

  • RESEARCH ARTICLE
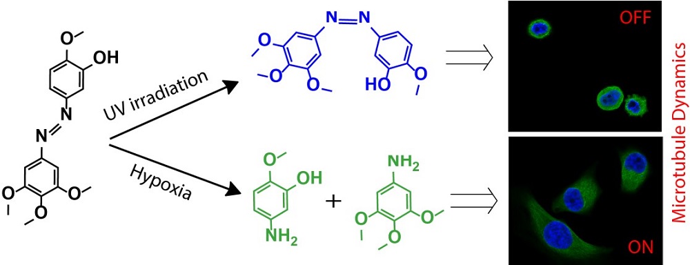
    Yang An , Chao Chen , Jundong Zhu , Pankaj Dwivedi , Yanjun Zhao , Zheng Wang

    The conformation-dependent activity of azobenzene combretastatin A4 (Azo-CA4) provides a unique approach to reduce the side-effects of chemotherapy, due to the light-triggered conformation transition of its azobenzene moiety. Under hypoxic tumor microenvironment, however, the high expression of azoreductase can reduce azobenzene to aniline. It was postulated that the Azo-CA4 might be degraded under hypoxia, resulting in the decrease of its anti-tumor activity. The aim of this study was to verify such hypothesis in HeLa cells in vitro. The quantitative drug concentration analysis shows the ratiometric formation of degradation end-products, confirming the bioreduction of Azo-CA4. The tubulin staining study indicates that Azo-CA4 loses the potency of switching off microtubule dynamics under hypoxia. Furthermore, the cell cycle analysis shows that the ability of Azo-CA4 to induce mitotic arrest is lost at low oxygen content. Therefore, the cytotoxicity of Azo-CA4 is compromised under hypoxia. In contrast, combretastatin A4 as a positive control maintains the potency to inhibit tubulin polymerization and break down the nuclei irrespective of light irradiation and oxygen level. This work highlights the influence of hypoxic tumor microenvironment on the anti-tumor potency of Azo-CA4, which should be considered during the early stage of designing translational Azo-CA4 delivery systems.

  • RESEARCH ARTICLE
    Xinghong Duo , Lingchuang Bai , Jun Wang , Jintang Guo , Xiangkui Ren , Shihai Xia , Wencheng Zhang , Abraham Domb , Yakai Feng

    Gene therapy has drawn great attention in the treatments of many diseases, especially for cardiovascular diseases. However, the development of gene carriers with low cytotoxicity and multitargeting function is still a challenge. Herein, the multitargeting REDV-G-TAT-G-NLS peptide was conjugated to amphiphilic cationic copolymer poly(ε-caprolactone-co-3(S)-methyl-morpholine-2,5-dione)-g-polyethyleneimine (PCLMD-g-PEI) via a heterobifunctional orthopyridyl disulfide-poly(ethylene glycol)-N-hydroxysuccinimide (OPSS-PEG-NHS) linker to prepare PCLMD-g-PEI-PEG-REDV-G-TAT-G-NLS copolymers with the aim to develop the gene carriers with low cytotoxicity and high transfection efficiency. The multitargeting micelles were prepared from PCLMD-g-PEI-PEG-REDV-G-TAT-G-NLS copolymers by self-assembly method and used to load pEGFP-ZNF580 plasmids (pDNA) to form gene complexes for enhancing the proliferation and migration of endothelial cells (ECs). The loading pDNA capacity was proved by agarose gel electrophoresis assay. These multitargeting gene complexes exhibited low cytotoxicity by 3-(4,5-dimethylthiazol-2-yl)-2,5-diphenyltetrazolium bromide assay. The high internalization efficiency of these gene complexes was confirmed by flow cytometry. The results of in vitro transfection demonstrated that these multitargeting gene complexes possessed relatively high transfection efficiency. The rapid migration of ECs transfected by these gene complexes was verified by wound healing assay. Owing to ECs-targeting ability, cell-penetrating ability and nuclear targeting capacity of REDV-G-TAT-G-NLS peptide, the multitargeting polycationic gene carrier with low cytotoxicity and high transfection efficiency has great potential in gene therapy.

  • RESEARCH ARTICLE
    Zishuai Liu , Yimin Zhang , Zilin Dai , Jing Huang , Cong Liu

    High-manganese containing vanadium wastewater (HMVW) is commonly produced during the vanadium extraction process from vanadium titano-magnetite. HMVW cannot be reused and discharged directly, and is harmful to the environment and affect product quality due to heavy metals in the wastewater. The wastewater is usually treated by lime neutralization, but valuable metals (especially V and Mn) cannot be recovered. In this study, an efficient and environmentally friendly method was developed to recover valuable metals by using a solvent extraction-precipitation process. In the solvent extraction process, 98.15% of vanadium was recovered, and the V2O5 product, with a purity of 98.60%, was obtained under optimal conditions. For the precipitation process, 91.05% of manganese was recovered as MnCO3 which meets the III grade standard of HG/T 2836-2011. Thermodynamic simulation analysis indicated that MnCO3 was selectively precipitated at pH 6.5 while Mg and Ca could hardly be precipitated. The results of X-ray diffraction and scanning electron microscopy demonstrated that the obtained V2O5 and MnCO3 displayed a good degree of crystallinity. The treated wastewater can be returned for leaching, and resources (V and Mn) in the wastewater were utilized efficiently in an environmentally friendly way. Therefore, this study provides a novel method for the coextraction of V and Mn from HMVW.

  • RESEARCH ARTICLE
    Eniko Haaz , Botond Szilagyi , Daniel Fozer , Andras Jozsef Toth

    The separation of non-ideal mixtures using distillation can be an extremely complex process and there continues to be a need to further improve these techniques. A new method which combines extractive heterogeneous-azeotropic distillation (EHAD) and hydrophilic pervaporation (HPV) for the separation of non-ideal ternary mixtures is demonstrated. This improved distillation method combines the benefits of heterogeneous-azeotropic and extractive distillations in one column but no added materials are needed as is usually the case with pervaporation. The separation of water-methanol-ethyl acetate and water-methanol-isopropyl acetate mixtures were investigated to demonstrate the accuracy of the combined EHAD/HPV technique. There is not currently an established treatment strategy for the separation of the second mixtures in the literature. These separation processes were rigorously modelled and optimized using a professional flowsheet. The objective functions were total cost and energy consumption and heat integration was also investigated. The verification of the process modelling was carried out using laboratory-scale measurements. Extractive heterogeneous-distillation combined with methanol dehydration was found to be more efficient than conventional distillation for the separation of these highly non-ideal mixtures.