2026-08-15 2026, Volume 21 Issue 8

  • Select all
  • RESEARCH ARTICLE
    Guang Ping He

    Finding gradients is a crucial step in training machine learning models. For quantum neural networks, computing gradients using the parameter-shift rule requires calculating the cost function twice for each adjustable parameter in the network. When the total number of parameters is large, the quantum circuit must be repeatedly adjusted and executed, leading to significant computational overhead. Here, we propose an approach to compute all gradients using only a single circuit, significantly reducing both the circuit depth and the number of classical registers required. Although the theoretical complexity of gradient calculation and the total number of measurements are not reduced by this approach, a considerable reduction in the number of unique circuit compilations and job submissions is achieved. We experimentally validate our approach on both quantum simulators and IBM’s real quantum hardware, demonstrating that our method significantly reduces circuit compilation time compared to the conventional approach, resulting in a substantial speedup in total runtime.

  • RESEARCH ARTICLE
    Chadi Ellouzi, Farhood Aghdasi, Ali Zabihi, Shuaiguo Zhao, Chen Shen

    Acoustic vortex beams, which inherently carry orbital angular momentum, are emerging as powerful tools for applications ranging from particle manipulation to biomedical imaging and underwater communication. However, generating such beams with precise spatial control remains challenging and often requires complex transducer arrays. In this study, we introduce a unified design framework for tailoring underwater acoustic vortex beams using 3D-printed metalenses. By engineering the local phase profile of the metalens, this approach enables distinct functionalities, including the generation of tilted vortex beams, precise control of off-axis singularities, and the creation of dual-focus vortex beams via coaxial spiral zones. Furthermore, a frequency multiplexing strategy is implemented in the dual-focus configuration, enabling independent control of vortex foci at distinct frequencies using a single compact lens. The ability of these metalenses to shape acoustic pressure fields with high precision is validated through both numerical simulations and underwater measurements. This work demonstrates a versatile, fabrication-ready platform for the tunable spatial and spectral control of acoustic vortex beams, offering new possibilities for applications in acoustofluidics, therapeutic ultrasound, and underwater sensing and communication.

  • RESEARCH ARTICLE
    Yuping Wang, Mengjie He, Ting Li, Congxin Xia, Jun He

    Two-dimensional (2D) Janus semiconductor materials have attracted widespread research interest due to their unique asymmetric structures and promising optoelectronic applications. Here, we investigate the interfacial effects on band alignment and photodetection performance by constructing van der Waals heterostructures (vdWHs) based on monolayer CrS2 and Janus MoSO, alongside engineering the interlayer distance, biaxial strain, and external electric field. The S-terminated and O-terminated interfaces induce direct and indirect band structures, respectively, while maintaining a robust type-II band alignment. Moreover, the O-terminated interface vdWH photodetector exhibits higher photocurrent density and external quantum efficiency compared with the S-terminated counterpart. These results provide an effective strategy for designing interface-engineered optoelectronic devices based on 2D Janus semiconductors.

  • RESEARCH ARTICLE
    Shiyu Lu, Yifeng Duan, Dongxing Yu, Haiming Dong

    Magnetic chiral bobbers (CBs) are three-dimensional (3D) topological spin textures that consist of a tapered skyrmion tube terminating in a Bloch point, promising applications in high-density spintronics. However, the mechanisms controlling their size and the dynamics of their annihilation are still not fully understood. In this study, we present an analytical model that predicts the radius R of the CB as a function of the external magnetic field, the Dzyaloshinskii−Moriya interaction (DMI), the magnetic anisotropy, and the exchange interaction. The micromagnetic simulations validate this model across a broad range of parameters. We also identify two mechanisms of annihilation of CBs: (i) a droplet-like instability that occurs under rapid changes in the magnetic field, which we describe using a proposed magnetic Weber number We and its critical field step scaling; and (ii) Bloch point depinning mechanism at interfaces, for which we determine the threshold magnetic field Bth for annihilation. Importantly, we uncover a novel fragmentation pathway in which CBs transform into skyrmion tubes, then into half-CBs, and finally into ferromagnetic states. These findings lay the groundwork for understanding and manipulating 3D CBs as next-generation devices.

  • RESEARCH ARTICLE
    Jingjing Ma, Wei Liu, Yang Yang, Jun Zhao, Yongliang Qin, Xuguang Liu, Min Ge, Zhe Qu, Lei Zhang

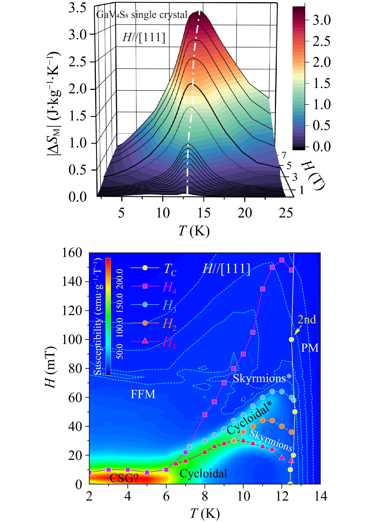
    Lacunar spinel GaV4S8 is a crucial material for spintronic applications due to its emergent rare Néel-type skyrmions and unique orbitally-driven ferroelectric polarization. Nevertheless, persistent debates surround its magnetic properties and ground state, espcially in single crystals. In this study, we systematically investigate the anisotropic magnetism and phase diagrams of single-crystal GaV4S8 by combining magnetic entropy analysis and universality scaling laws. The critical exponents for single-crystal GaV4S8 are determined to be β=0.434(5), γ=1.768(3), and δ=5.025(1) at critical temperature TC=12.9(1) K. These exponents cannot be classified into any conventional universality class, indicating the coexistence of multiple magnetic interactions within this material. Utilizing universality scaling, we construct phase diagrams of single-crystal GaV4S8 for three distinct field orientations: H//[111], H//[110], and H//[100]. For H//[111] corresponding to the easy magnetic axis, the spin dimensionality analysis indicates a short-range interaction that follows J(r)r5.21(4). Moreover, the phase diagrams reveal various magnetic phases, particularly a ground state of a possible cluster spin-glass in all directions. These findings elucidate the intricate magnetic interactions in single-crystal GaV4S8, which are crucial for understanding the formation of diverse non-collinear spin-ordered phases and potential applications in this system.

  • RESEARCH ARTICLE
    Yanyan Geng, Chang Li, Shuo Mi, Manyu Wang, Xinen Han, Huiji Hu, Yunzhen Wang, Haojie You, Shumin Meng, Hanxiang Wu, Jianfeng Guo, Shiyu Zhu, Yanjun Li, Yasuhiro Sugawara, Sabir Hussain, Fei Pang, Rui Xu, Zhihai Cheng

    The delicate interfacial conditions and behaviors play critical roles in determining the valuable physical properties of two-dimensional materials and their heterostructures on substrates. However, directly probing these complex interfacial conditions remains challenging. Here, we reveal the coupled in-plane strain and out-of-plane bonding conditions in strain-engineered WS2 flakes by combining dual-harmonic electrostatic force microscopy (DH-EFM) and scanning microwave impedance microscopy (sMIM). A striking contradiction is observed between the compressive-strain-induced larger bandgap (lower electrical conductivity) detected by DH-EFM, and the enhanced conductivity probed by sMIM. Comparative measurements under different sMIM modes demonstrate that this contradiction originates from a tip-loading-force-induced dynamic puckering effect, which is governed by the interfacial bonding strength. Furthermore, the progressive accumulation and subsequent release of conductivity during forward/backward sMIM-contact scans further confirm this dynamic puckering behavior, revealing pronounced differences in interfacial conditions between the open- and closed-ring regions of WS2. This work establishes the correlation between electrical properties and interfacial conditions, and provides fundamental insights for interface-engineered devices.

  • TOPICAL REVIEW
    Lili Zhou, Fudi Zhou, Can Zhang, Zhaoteng Dong, Mengya Ren, Ya-Xin Zhao, Yu Zhang, Yeliang Wang

    The kagome metals AV3Sb5 (A = K, Rb, Cs) exhibit a host of intriguing phenomena, including a Z2 nontrivial topological band structure, unconventional superconductivity, and charge density wave (CDW) states. These materials offer a unique platform to explore the interplay between lattice geometry, band topology, and electronic correlations. In this review, we focus on CDW, superconductivity, and the interactions between them in AV3Sb5. Additionally, we highlight several unresolved issues, such as the potential time-reversal symmetry breaking of 2×2 CDW, the nature of superconductivity (whether conventional or unconventional), and the underlying mechanism of CDW formation. We also summarize relevant experimental and theoretical evidence related to these topics. Our aim is to provide researchers with essential insights into CDW, superconductivity, and the outstanding questions surrounding AV3Sb5 for future investigations.

  • RESEARCH ARTICLE
    Linjie Fan, Xu Jing, Zhe Chen, Xiaodong Zheng, Cheng Qian, Lina Xia, Yichen Liu, Siran Zhao, Bin Niu, Liangliang Lu

    Entanglement distribution between spatially distant nodes is crucial for advancing the development of quantum networks. Achieving large-scale, practical quantum networks by leveraging existing fiber infrastructures and commercial technologies can greatly enhance cost efficiency in real-world applications. As such, the simultaneous transmission of quantum entanglement and classical signals within a single optical fiber is becoming increasingly desirable, yet it remains challenging due to the substantial intensity disparities between single-photon-level quantum light and classical traffic. In this study, we theoretically describe and experimentally implement polarization entanglement distribution using a continuous wave pumped integrated AlGaAs Bragg reflection waveguide quantum source, coexisting with classical light in optical fiber at the telecom C-band. The characteristics of noise photons are analyzed and evaluated under different levels of classical light power. Using the BBM92 protocol for quantum key distribution, we demonstrate that temporal and spectral filtering during coincidence detection, combined with optimized source brightness, effectively influences the secure key rate and achievable distance of the system. Polarization drift is measured across various fiber paths, with 35-hour stability tests on fibers ranging up to 55 km in length. Our results can guide the initial design of optimal entanglement distribution networks that are compatible with fiber-optic communication systems.

  • RESEARCH ARTICLE
    Yuehan Tian, Nengfei Gong, Yining Li, Tiejun Wang

    Quantum nonlocality is an important resource for ensuring the security of quantum communication, which plays an indispensable role in building quantum networks. From bipartite to multipartite quantum systems, various inequalities are constructed as tools to unearth the quantum nonlocality. Control power is a crucial indicator for evaluating supervision, control, and collaboration in quantum networks. However, there is currently no exploration of the relevance between the control power and the quantum nonlocality in continuous variable quantum networks. In this work, based on the Mermin−Klyshko (MK) inequality with rotated quantum-number parity operators, we reveal the quantum nonlocality of general Greenberger−Horne−Zeilinger-type (GHZ-type) entangled coherent states, which can be extended to arbitrary multi-mode states. And then, we evaluate the control power through quantum nonlocality in continuous variable controlled quantum teleportation via a 3-mode GHZ-type entangled coherent state as channel. The results show that the control power of continuous variable quantum networks is a monotonically increasing function of genuine tripartite nonlocality. This quantitative dependence of control power on quantum nonlocality remains robust even with decoherence. The advantages of the MK inequality are simplicity in computation and scalability into arbitrary multi-mode channels. In addition, maximal violation of the MK inequality can be achieved more easily in the experiment. Our work proves that, compared with the Bell−Mermin inequality, the MK inequality performs better in experimental measurements of complete control power; compared with the Svetlichny inequality, the MK inequality avoids negative and unreasonable control power when inequalities exceed the classical upper bound. Therefore, the MK inequality is found to be a more reliable tool to reveal the quantum nonlocality in multipartite systems. This work illuminates the important application of nonlocality in multipartite continuous variable quantum communications and is of significance for the construction of practical quantum protocols.

  • RESEARCH ARTICLE
    Ruitao Lin, Fangyin Zhu, Jun Peng, Shaofeng Zheng, Juntao Tan, Nan Zhao, Bin Wang, Xiangyou Li, Jiaming Li, Qingmao Zhang

    The combination of laser-induced breakdown spectroscopy based on fiber lasers (FL-LIBS) and non-gated detectors takes advantages of cost-effective, fast response, and stable long-term operation, has great potential for rapid detection and online diagnosis. However, conventional calibration-free (CF) method struggle to achieve satisfactory analytical accuracy in FL-LIBS measurements with such detectors. This is because the plasma properties certainly change during the acquisition time which is much longer than plasma lifetime. Therefore, this work develops a novel calibration-free method to address the limitations in FL-LIBS using non-gated detectors. The methodology comprises two principal components: spectra simulation via time-integration method and determination of unknown parameters utilizing particle swarm optimization (PSO); hence, the new calibration-free method is designated as PSO-SSCF. Overall, it exhibits superior accuracy on the quantitative analysis of standard TC4 titanium alloys. Compared to conventional CF method, reductions in average relative errors (AREs) range from 1.539% to 7.631% for aluminum, 22.631% to 29.173% for vanadium, and −1.071% to 0.714% for titanium. PSO-SSCF even outperforms the time-integrated calibration-free (TICF) method with an iCCD gated detector. Moreover, PSO-SSCF shows good repeatability with relative standard deviation (RSD) less than 5%, and achieves sub-second computation time via GPU acceleration. In a summary, this work provides a feasible calibration-free method for FL-LIBS, facilitating the application of LIBS in scientific and industrial fields.

  • RESEARCH ARTICLE
    Sheng-Tao Lyu, Rong-Zheng Liu, Hua-Lei Yin

    Twin-field quantum key distribution (TF-QKD) is recognized as a promising approach to surpass the repeaterless key rate bound, playing a pivotal role in long-distance quantum communication. However, conventional TF-QKD implementations rely on laser coherence, where coherent-state sources differ fundamentally from the non-classical light sources required for future quantum networks. Recent advances demonstrate that quantum dot (QD) sources can generate high-purity coherent single-photon states on demand, exhibiting both perfect antibunching and long coherence times akin to laser source. Here, we propose a six-state TF-QKD protocol utilizing coherent single-photon states, which can be directly achieved through current experimental techniques. Simulation results indicate that our protocol achieves significantly enhanced key rates and extended transmission distances. Moreover, a data size on the order of 108 is sufficient to surpass the repeaterless key rate bound, demonstrating particular robustness against finite-size effects. Our work paves the way for the direct implementation of long-distance quantum key distribution utilizing future quantum network infrastructure.

  • RESEARCH ARTICLE
    Mingming Chen, Cai Ju, Hui Wang, Fang-Zhou Shu, Huanyang Chen, Qingdong Ou

    Metasurfaces operating under oblique incidence conditions have attracted considerable interest in modern photonic engineering, owing to their capability to enhance angular coverage for next-generation devices including wide-field detectors, multi-angle communication arrays, and advanced radar architectures. However, conventional metasurfaces frequently suffer from limitations in preserving functional stability at high incidence angles, where performance deterioration typically stems from reduced coupling efficiency and phase mismatch. This work proposes flexible terahertz metasurfaces with an ultra-large incident angle, addressing the limitations of conventional metasurfaces that suffer from severe performance degradation under high angles and lack mechanical adaptability. The proposed metasurfaces are designed through the synergistic integration of spoof localized surface plasmons (S-LSPs) and electromagnetically induced transparency (EIT). Experimental results demonstrate that the metasurfaces exhibit polarization-insensitive behavior while maintaining stable transmission spectra under oblique incidence up to 80°. Furthermore, bending tests confirm that the transmission spectrum of the metasurfaces remains stable even under significant mechanical deformation (with a maximum central angle of 111.7°). The proposed flexible metasurfaces provide a novel design paradigm for oblique-incident metasurfaces, holding great potential for emerging applications in conformal terahertz systems and adaptive wearable photonics.

Publishing model
2

{"submissionFirstDecision":"30","jcrJfStr":"5.3 (2024)","editorEmail":"wangyy@hep.com.cn"}

Downloads

{"submissionFirstDecision":"30","jcrJfStr":"5.3 (2024)","editorEmail":"wangyy@hep.com.cn"}
1

ISSN 2095-0462 (Print)
ISSN 2095-0470 (Online)
CN 11-5994/O4