2026-06-15 2026, Volume 21 Issue 6

  • Select all
  • RESEARCH ARTICLE
    Yizhi Li, Yanyan Lu, Jianxin Zhong, Lijun Meng

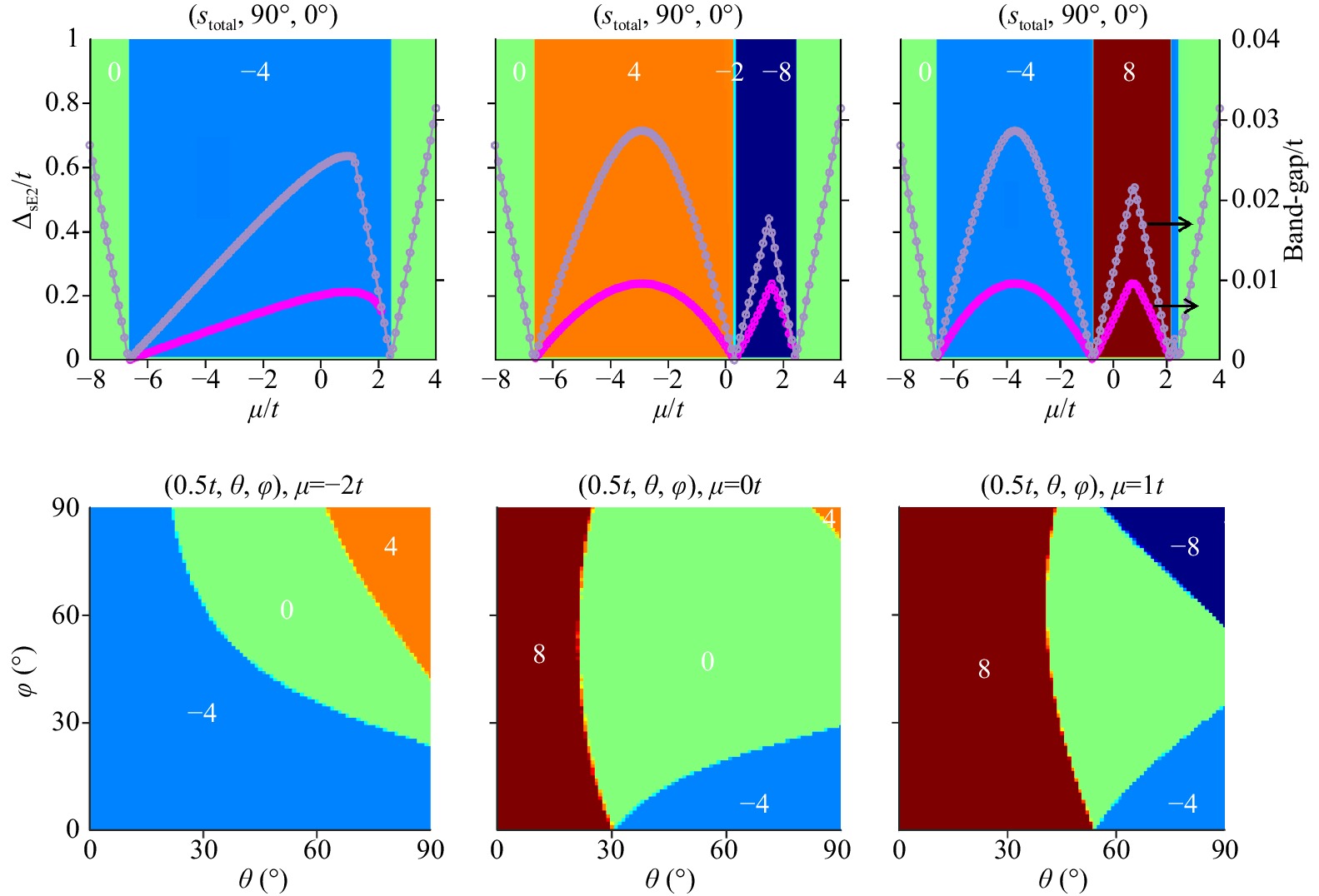
    This paper demonstrates a pathway to topological superconductivity in monolayer triangular lattices through long-range pairing without requiring spin−orbit coupling and magnetic field, contrasting conventional frameworks reliant on superconductivity and spin−orbit coupling and time-reversal symmetry (TRS) breaking. Berry curvature analysis reveals spontaneous TRS-breaking-induced peaks or valleys under long-range pairing, signaling nontrivial topology superconducting states. Notably, the increase in the long-range pairing strength only changes the size of the energy band-gap, without triggering a topological phase transition. This characteristic is verified by calculating Berry curvature and topological edge states. In zigzag and armchair-edge ribbons of finite width, the topological edge states are influenced by the ribbon boundary symmetry and the interaction range of long-range pairing. Under nearest-neighbor pairing, the topological edge states maintain particle−hole symmetry and match the corresponding Chern number. However, next-nearest-neighbor and third-nearest-neighbor pairings break the particle-hole symmetry of the topological edge states in armchair-edge ribbon. This work proposes a mechanism to realize topological superconductivity without relying on spin−orbit coupling and magnetic field, thereby offering a theoretical foundation for simplifying the design of topological quantum devices.

  • RESEARCH ARTICLE
    Ling-Jie Qian, Liang Duan, Xin-Wei Jin, Zhan-Ying Yang

    Magnetization switching plays a pivotal role in many spintronic devices. Distinct from conventional field-driven approaches, we propose a self-induced magnetization reversal mechanism that exploits the intrinsic periodic energy focusing and dispersing behavior of magnetic breathers. In this paper, we explore magnetic breather excitations and potential applications of Kuznetsov−Ma (KM) breather in an anisotropic ferromagnet. Under the long-wavelength approximation, the magnetization dynamics of a ferromagnetic nanowire are governed by a generalized derivative nonlinear Schrödinger equation. By employing a two-fold Darboux transformation, we derive the general breather solution and classify it into five distinct types through modulation instability analysis. Numerical simulations reveal a reversible transition between magnetic solitons and KM breathers, achieved by tuning the amplitude of the background plane wave. The KM breather exhibits periodic magnetization oscillations capable of inducing time-dependent magnetoresistance. When coupled with an appropriately defined critical current, this feature facilitates the realization of autonomous timing switches. These results provide theoretical foundations for the advancement of breather-enabled spintronic technologies.

  • RESEARCH ARTICLE
    Siqi Wang, Yue-Ran Shi, Wei Zhang

    We investigate a two-dimensional non-Hermitian Fermi system with spin imbalance and dissipative interaction. We employ the mean-field approximation to derive and minimize the thermodynamic potential, and determine the zero-temperature phase diagram upon variation of imbalance and dissipation. Notably, we identify a Fulde−Ferrell−Larkin−Ovchinnikov (FFLO) state characterized by a pairing order parameter with finite center-of-mass momentum, along with the normal, Bardeen−Cooper−Schrieffer (BCS), and metastable BCS states. The FFLO state is favored with increasing spin imbalance but diminishes and eventually disappears with elevated dissipation. Additionally, we present the quasiparticle energy spectrum and momentum distribution, highlighting the spatial asymmetry features that can be used to deterministically identify the FFLO state.

  • RESEARCH ARTICLE
    Mei Peng, Xu-Dan Xie, Dan-Bo Zhang

    Characterizing quantum critical states towards the thermodynamic limit is essential for understanding phases of matter. The power of quantum simulators for preparing the critical states relies crucially on the structure of quantum circuits and in return provides new insight into the critical states. Here, we explore the critical states of the quantum Rabi model (QRM) by preparing them variationally with Hamiltonian variational ansätze (HVA), in which the intricated interplay among different quantum fluctuations can be parameterized at different levels. We find that the required circuit depth scales linearly with the effective system size, suggesting that HVA can efficiently capture the behavior of critical states of QRM towards the thermodynamic limit. Moreover, we reveal that HVA gradually squeeze the initial state to the target critical state, with a number of blocks increasing only linearly with the effective system size. Our work suggests variational quantum algorithm as a new probe for the complicated critical states.

  • RESEARCH ARTICLE
    Qiming Hu, Baoyin Sun, Jiaqi Quan, Yadong Xu

    Subwavelength slit diffraction, as a fundamental diffraction phenomenon, is of great significance in various fields. However, governed by the symmetry of coupling modes and diverse diffraction orders, designing a device that can independently achieve excellent extraordinary transmission performance and a desirable collimation effect remains a challenging task. Here, we propose a new paradigm for manipulating acoustic slit diffraction by engineering a reversed phase gradient on one side of the structural surface. For instance, under forward incidence, the extraordinary transmission efficiency can be significantly enhanced, where the phase gradient plays a key role in exciting unidirectional evanescent waves along the surface; under backward incidence, the beam collimation effect can be well maintained, as the phase gradient functions to suppress unwanted diffraction orders. We further experimentally demonstrate this novel phenomenon. Our work enriches the methods for manipulating acoustic single-slit diffraction and shows potential applications in sensors and holography.

  • RESEARCH ARTICLE
    Qiqi Zhu, Yujia Fan, Shengzhi Xiao, Yanbo Lou, Shengshuai Liu, Jietai Jing

    The task of protecting quantum entanglement is crucial for quantum communication. Conventionally, correlated noise correction requires an electro-optic modulation process, which limits the application of such correction schemes in constructing broadband quantum communication. Here, we experimentally demonstrate a scheme of all-optical entanglement recovery in a correlated noisy channel without electro-optic modulation. In our scheme, the correlated noisy channel is enabled by an Einstein−Podolsky−Rosen entangled state, a low-noise parametric amplifier, and a beam splitter, thereby avoiding electro-optic conversion. Quantum entanglement is destroyed after one half of the quantum entangled state passes through the noisy channel. Such quantum entanglement can be recovered in the auxiliary noisy channel which shares correlated noise with the noisy channel. Our results pave the way for deterministically implementing all-optical quantum secure communication.

  • RESEARCH ARTICLE
    Yuxiang Liu, Fanxu Meng, Lu Wang, Yi Hu, Zaichen Zhang, Xutao Yu

    The output prediction of quantum circuits is a formidably challenging task imperative in developing quantum devices. Motivated by the natural graph representation of quantum circuits, this paper proposes a Graph Neural Networks (GNNs)-based framework to predict the output expectation values of quantum circuits under noisy and noiseless conditions and compare the performance of different parameterized quantum circuits (PQCs). We construct datasets under noisy and noiseless conditions using a non-parameterized quantum gate set to predict circuit expectation values. The node feature vectors for GNNs are specifically designed to include noise information. In our simulations, we compare the prediction performance of GNNs in both noisy and noiseless conditions against Convolutional Neural Networks (CNNs) on the same dataset and their qubit scalability. GNNs demonstrate superior prediction accuracy across diverse conditions. Subsequently, we utilize the parameterized quantum gate set to construct noisy PQCs and compute the ground state energy of hydrogen molecules using the Variational Quantum Eigensolver (VQE). We propose two schemes: the Indirect Comparison scheme, which involves directly predicting the ground state energy and subsequently comparing circuit performances, and the Direct Comparison scheme, which directly predicts the relative performance of the two circuits. Simulation results indicate that the Direct Comparison scheme significantly outperforms the Indirect Comparison scheme by an average of 36.2% on the same dataset, providing a new and effective perspective for using GNNs to predict the overall properties of PQCs, specifically by focusing on their performance differences.

  • RESEARCH ARTICLE
    Dongqiu Zhao, Xiao Tang, Yixin Zhang, Shuli Liu, Di Yuan, Chen Long, Lin Ju, Liangzhi Kou

    The development of efficient catalysts for the electrocatalytic CO reduction reaction toward high-value C2 products is critical for addressing pressing energy and environmental challenges. Dual-metal catalysts have emerged as promising candidates due to their potential to facilitate C−C coupling, a key step in C2 product formation. However, their activity and selectivity are highly dependent on the charge states of the active sites. Modulating asymmetric charge distribution between metal centers offers a viable strategy to enhance C−C coupling efficiency and product selectivity. In this study, we employ density functional theory to investigate heteronuclear dual-atom catalysts (DACs) anchored on ferroelectric In2Se3 and impact of polarization on charge states of metal sites. We find that Pd−Nb and Rh−Nb DACs form spatially separated charge centers with opposite signs, which significantly reduce the energy barrier for C−C coupling compared to homonuclear Nb−Nb DACs, enabling thermodynamically favorable C−C bond formation. The Coulomb interaction between oppositely charged centers is identified as a key descriptor governing C−C coupling efficiency. Furthermore, ferroelectric polarization switching of In2Se3 offers dynamic modulation of reaction pathways and product selectivity. Pd−Nb@In2Se3 under downward polarization (P↓) favors ethane formation with a limiting potential of −1.06 eV, whereas upward polarization (P↑) shifts the reaction toward an alternative C−C coupling pathway with a higher overpotential (−1.47 eV). Similarly, Rh−Nb@In2Se3 selectively produces ethanol under P↓, but methane under P↑. Importantly, both Pd−Nb and Rh−Nb DACs exhibit stronger CO adsorption than H adsorption, favoring CORR over the competing hydrogen evolution reaction. These findings underscore the potential of ferroelectric DACs as tunable and selective catalysts for CORR, offering a compelling strategy for the rational design of next-generation electrocatalysts for decarbonization.

  • RESEARCH ARTICLE
    Jing Wang, Xiang Lu, Yiming Zhao, Jiafu Chen, Yu Chen, Huapeng Ye, Xinxing Zhou, Shuqing Chen, Dianyuan Fan, Qingji Zeng

    The orbital angular momentum (OAM) of photons provides a pivotal resource for carrying out high-dimensional quantum Pauli-X operations due to its unique discrete infinite orthogonality, which opens enticing perspectives for high-capacity quantum communication and multi-parallel quantum computation. However, the state-of-the-art Pauli-X gates that require cyclic transformation of OAM modes are mostly limited to four modes, face scalability challenges owing to the system redundancy and fidelity degradation induced by increased processing modes. Here, we propose a general strategy to design scalable quantum Pauli-X gates in high-dimensional OAM space by taking full advantage of the order-correlated spatial divergence property of OAM modes. Leveraging the mechanism of balance mode filtering, partitioned phase is embedded between two structurally symmetric Q-plate elements that enable bidirectional mode shifting to filter out the highest-order OAM mode for spatially selective phase modulation. Derived from radial matching between modes and partitioned phase profiles, this design of parallel mode transformation underpins the extension to higher dimensions by merely adjusting filter parameters. We demonstrate the five-mode cyclic transformation with mode purity and diffraction efficiency higher than 92% and 92.7%, respectively. By incorporating polarization-entangled photon sources, we further realize five-dimensional quantum Pauli-X gates encoded on OAM space and experimentally verify the entanglement of output mode states. Low modulation loss and efficient quantum state tomography (QST) techniques endow the reconstructed density matrices with fidelities exceeding 92.3% ± 0.1%, indicating the well-performed entanglement preservation of output states. These results confirm that our approach achieves scalable quantum Pauli-X gate operations through a simple balanced architecture with high coherence, consolidating a theoretical and experimental foundation for large-scale quantum computation encoded on high-dimensional OAM space.

  • RESEARCH ARTICLE
    Wenling Ren, Jincheng Yue, Shuyao Lin, Chen Shen, Yanhui Liu, Tian Cui, Hongbin Zhang

    Antiperovskite (APV) materials have garnered significant attention due to their diverse physical properties. The self-consistent phonon (SCP) theory and the Boltzmann transport equation (BTE) were combined to calculate thermal and electronic transport properties of APV Sr3XN (X = P, As, Sb, Bi) based on density functional theory (DFT). Pronounced quartic anharmonicity was identified in Sr3PN and Sr3AsN, attributed to the vibrations of Sr atoms. This distinctive characteristic induces four-phonon (4ph) scattering, significantly reducing the lattice thermal conductivity (κL), particularly at elevated temperatures such as 900 K, with values as low as 0.58 W·m−1·K−1 for Sr3PN. Additionally, Sr3BiN exhibits remarkable electrical conductivity and a high Seebeck coefficient, leading to a promising figure of merit (ZT) of up to 1.03, underscoring its potential as a thermoelectric material. These findings demonstrate that the ultra-low lattice thermal conductivity driven by 4ph scattering, coupled with excellent thermoelectric properties, makes these materials promising candidates for high-efficiency thermoelectric applications.

  • TOPICAL REVIEW
    Ling-Hui Tong, Cheng-Cheng Xu, Long-Jing Yin

    In recent years, magic-angle twisted bilayer graphene has emerged as a focal point in condensed matter physics due to its novel quantum properties arising from ultra-flat electronic bands. Subsequent research has also revealed analogous flat-band physics in other twisted multilayer graphene systems, such as twisted monolayer-bilayer graphene, twisted trilayer graphene, and twisted double-bilayer graphene. These graphene-based twisted systems host a rich variety of strongly correlated and topological quantum states — including ferromagnetism, superconductivity, Chern insulators, and the quantum anomalous Hall effect — significantly advancing the investigation of strongly correlated and topological physics in real materials. Here, we conduct a systematic review of the recent advances in the exploration of flat-band and strong correlation physics using scanning tunneling microscopy/spectroscopy in magic-angle twisted multilayer graphene. First, we briefly introduce the theoretical background of the flat-band physics in magic-angle twisted multilayer graphene. Subsequently, we present in detail the strongly correlated electronic states and exotic quantum phenomena observed by scanning tunneling microscopy/spectroscopy in various twisted graphene platforms, including twisted bilayer graphene, twisted monolayer−bilayer graphene, twisted trilayer graphene, and twisted double-bilayer graphene. Lastly, we provide a summary and an outlook for future research in this field.

  • RESEARCH ARTICLE
    Wei-Jun Han, Peng-Yu Sun, Guo-Feng Zhang

    A quantum battery is a novel energy storage device that operates on the principles of quantum mechanics. To enhance the charging performance of quantum batteries and further provide theoretical support for their physical implementation, we constructed an optical-field-dependent nonlinear quantum battery model. Meanwhile, we solved for the unbiased form of nonlinear interactions in this model, where the charging power of the proposed model exhibits a superlinear quantum advantage, and the charging time saturates the quantum speed limit. Through theoretical analysis, we confirm that this quantum advantage arises from the quantum effect of multiphoton absorption. Subsequently, using the derived nonlinear function form, we further investigated other properties of this nonlinear quantum battery. Finally, an experimental design scheme for this nonlinear quantum battery in superconducting quantum circuits is presented.

  • RESEARCH ARTICLE
    Chunli Miao, Jiarui Qin, Chan Li, Xiaolei Hao, Weidong Li, Jing Chen

    We analytically derive the all-order strong-field S-matrix series incorporating intermediate-state Coulomb−Volkov corrections (ICSFA). Focusing on rescattering processes described by the second-order term, we systematically investigate the impact of intermediate-state Coulomb interactions on above-threshold ionization (ATI) spectra of atomic hydrogen in linearly polarized laser fields. Crucially, ICSFA spectra demonstrate superior agreement with the results obtained by numerically solving the time-dependent Schrödinger equation compared to the standard strong-field approximation (SFA) and final-state Coulomb-corrected SFA (FCSFA). Our analysis reveals that intermediate-state Coulomb corrections enhance the yield of the third- and fourth-return-recollision trajectories while modifying interference patterns in the energy spectrum. The observed enhancement of the multi-return-recollision trajectories can be attributed to modifications of the ionization yield and scattering cross-section, which are induced by intermediate-state Coulomb effects. These effects are equivalent to the so-called Coulomb focusing effect.

Publishing model
2

{"submissionFirstDecision":"30","jcrJfStr":"5.3 (2024)","editorEmail":"wangyy@hep.com.cn"}

Downloads

{"submissionFirstDecision":"30","jcrJfStr":"5.3 (2024)","editorEmail":"wangyy@hep.com.cn"}
1

ISSN 2095-0462 (Print)
ISSN 2095-0470 (Online)
CN 11-5994/O4