2018-12-03 2018, Volume 12 Issue 6
  • Select all
  • REVIEW
    Tiange Wang, Min Xu, Yufang Bi, Guang Ning

    The incidence of obesity has been rapidly increasing, and this condition has become a major public health threat. A substantial shift in environmental factors and lifestyle, such as unhealthy diet, is among the major driving forces of the global obesity pandemic. Longitudinal studies and randomized intervention trials have shown that genetic susceptibility to obesity may interact with dietary factors in relation to the body mass index and risk of obesity. This review summarized data from recent longitudinal studies and intervention studies on variations and diets and discussed the challenges and future prospects related to this area and public health implications.

  • REVIEW
    Cynthia Rajani, Wei Jia

    Diabetes is a widespread, rapidly increasing metabolic disease that is driven by hyperglycemia. Early glycemic control is of primary importance to avoid vascular complications including development of retinal disorders leading to blindness, end-stage renal disease, and accelerated atherosclerosis with a higher risk of myocardial infarction, stroke and limb amputations. Even after hyperglycemia has been brought under control, “metabolic memory,” a cluster of irreversible metabolic changes that allow diabetes to progress, may persist depending on the duration of hyperglycemia. Manipulation of bile acid (BA) receptors and the BA pool have been shown to be useful in establishing glycemic control in diabetes due to their ability to regulate energy metabolism by binding and activating nuclear transcription factors such as farnesoid X receptor (FXR) in liver and intestine as well as the G-protein coupled receptor, TGR5, in enteroendocrine cells and pancreatic β-cells. The downstream targets of BA activated FXR, FGF15/21, are also important for glucose/insulin homeostasis. In this review we will discuss the effect of BAs on glucose and lipid metabolism and explore recent research on establishing glycemic control in diabetes through the manipulation of BAs and their receptors in the liver, intestine and pancreas, alteration of the enterohepatic circulation, bariatric surgery and alignment of circadian rhythms.

  • REVIEW
    Jiemin Pan, Weiping Jia

    Although type 2 diabetes is a disease often associated with aging, the global prevalence of early-onset diabetes has been increasing due to man’s sedentary lifestyle, low-physical activity, obesity, and some non-modifiable risk factors. Many studies have found that individuals with early-onset type 2 diabetes were at higher risk of developing vascular complications than those with late-onset diabetes. Individuals with early-onset diabetes are usually unwilling to visit hospital and have more confidence in their health, which results in poor glycemic control and the delayed detection of diabetes-related complications. Few studies have focused on the treatment and prevention of complications in specific population of individuals with early-onset type 2 diabetes. Therefore, focusing on this particular population is critical for the government and academic societies. Screening for T2DM is imminent for young adults with a family history of diabetes, obesity, markers of insulin resistance, or alcohol consumption. More data are definitely required to establish a reasonable risk model to screen for early-onset diabetes.

  • REVIEW
    Xiaojiao Zheng, Shouli Wang, Wei Jia

    Calorie restriction (CR) is a dietary regimen that reduces calorie intake without incurring malnutrition or a reduction in essential nutrients. It has long been recognized as a natural strategy for promoting health, extending longevity, and prevents the development of metabolic and age-related diseases. In the present review, we focus on the general effect of CR on gut microbiota composition and global metabolism. We also propose mechanisms for its beneficial effect. Results showed that probiotic and butyrate-producing microbes increased their relative abundance, whereas proinflammatory strains exhibited suppressed relative abundance following CR. Analyses of the gut microbial and host metabolisms revealed that most host microbial co-metabolites were changed due to CR. Examples of dramatic CR-induced changes in host metabolism included a decrease in the rate of lipid biosynthesis and an increase in the rates of fatty acid catabolism, β-oxidation, glycogenolysis, and gluconeogenesis. The observed phenotypes and the further verification of the direct link between gut microbiota and metabolome may benefit patients that are at risk for developing metabolic disease. Thus, improved gut microbiota composition and metabolome are potential biomarkers for determining the effectiveness of dietary interventions for age-related and metabolic diseases.

  • REVIEW
    Ruiting Han, Junli Ma, Houkai Li

    Non-alcoholic fatty liver disease (NAFLD) is one of the most common metabolic diseases currently in the context of obesity worldwide, which contains a spectrum of chronic liver diseases, including hepatic steatosis, non-alcoholic steatohepatitis and hepatic carcinoma. In addition to the classical “Two-hit” theory, NAFLD has been recognized as a typical gut microbiota-related disease because of the intricate role of gut microbiota in maintaining human health and disease formation. Moreover, gut microbiota is even regarded as a “metabolic organ” that play complementary roles to that of liver in many aspects. The mechanisms underlying gut microbiota-mediated development of NAFLD include modulation of host energy metabolism, insulin sensitivity, and bile acid and choline metabolism. As a result, gut microbiota have been emerging as a novel therapeutic target for NAFLD by manipulating it in various ways, including probiotics, prebiotics, synbiotics, antibiotics, fecal microbiota transplantation, and herbal components. In this review, we summarized the most recent advances in gut microbiota-mediated mechanisms, as well as gut microbiota-targeted therapies on NAFLD.

  • REVIEW
    Eun Young Lee, Kun-Ho Yoon

    The prevalence of obesity among children and adolescents (aged 2–18 years) has increased rapidly, with more than 100 million affected in 2015. Moreover, the epidemic of obesity in this population has been an important public health problem in developed and developing countries for the following reasons. Childhood and adolescent obesity tracks adulthood obesity and has been implicated in many chronic diseases, including type 2 diabetes, hypertension, and cardiovascular disease. Furthermore, childhood and adolescent obesity is linked to adulthood mortality and premature death. Although an imbalance between caloric intake and physical activity is a principal cause of childhood and adolescent obesity, environmental factors are exclusively important for development of obesity among children and adolescents. In addition to genetic and biological factors, socioenvironmental factors, including family, school, community, and national policies, can play a crucial role. The complexity of risk factors for developing obesity among children and adolescents leads to difficulty in treatment for this population. Many interventional trials for childhood and adolescent obesity have been proven ineffective. Therefore, early identification and prevention is the key to control the global epidemic of obesity. Given that the proportion of overweight children and adolescents is far greater than that of obesity, an effective prevention strategy is to focus on overweight youth, who are at high risk for developing obesity. Multifaceted, comprehensive strategies involving behavioral, psychological, and environmental risk factors must also be developed to prevent obesity among children and adolescents.

  • REVIEW
    Yinlong Zhang, Guangna Liu, Jingyan Wei, Guangjun Nie

    Platelets have long been known to play critical roles in hemostasis by clumping and clotting blood vessel injuries. Recent experimental evidence strongly indicates that platelets can also interact with tumor cells by direct binding or secreting cytokines. For example, platelets have been shown to protect circulating cancer cells in blood circulation and to promote tumor metastasis. In-depth understanding of the role of platelets in cancer progression and metastasis provides promising approaches for platelet biomimetic drug delivery systems and functional platelet-targeting strategies for effective cancer treatment. This review highlights recent progresses in platelet membrane-based drug delivery and unique strategies that target tumor-associated platelets for cancer therapy. The paper also discusses future development opportunities and challenges encountered for clinical translation.

  • RESEARCH ARTICLE
    Liping Xuan, Zhiyun Zhao, Xu Jia, Yanan Hou, Tiange Wang, Mian Li, Jieli Lu, Yu Xu, Yuhong Chen, Lu Qi, Weiqing Wang, Yufang Bi, Min Xu

    Type 2 diabetes (T2D) has been associated with a high prevalence of depression. We aimed to determine the causal relation by performing a Mendelian randomization (MR) study using 34 T2D risk genetic variants validated in East Asians as the instrumental variable (IV). An MR analysis was performed involving 11 506 participants from a large longitudinal study. The T2D genetic risk score (GRS) was built using the 34 typical T2D common variants. We used T2D_GRS as the IV estimator and performed inverse-variance weighted (IVW) and Egger MR analysis. The T2D_GRS was found to be associated with depression with an OR of 1.21 (95% CI: 1.07–1.37) after adjustments for age, sex, body mass index, current smoking and drinking, physical activity, education, and marital status. Using T2D_GRS as the IV, we similarly found a causal relationship between genetically determined T2D and depression (OR: 1.84, 95% CI: 1.25–2.70). Though we found no association between the combined effect of the genetic IVs for T2D and depression with Egger MR (OR: 0.95, 95% CI: 0.42–2.14), we found an association for T2D and depression with IVW (OR: 1.75, 95% CI: 1.31–2.46) after excluding pleiotropic SNPs. Overall, the MR analyses provide evidence inferring a potential causal relationship between T2D and depression.

  • RESEARCH ARTICLE
    Xiaoqing Li, Xinxin Li, Genbei Wang, Yan Xu, Yuanyuan Wang, Ruijia Hao, Xiaohui Ma

    Xiao Ke Qing (XKQ) granule has been clinically used to treat type 2 diabetes mellitus (T2DM) for 10 years in Chinese traditional medication. However, its mechanisms against hyperglycemia remain poorly understood. This study aims to investigate XKQ mechanisms on diabetes and diabetic liver disease by using the KKAy mice model. Our results indicate that XKQ can significantly reduce food and water intake. XKQ treatment also remarkably decreases both the fasting blood glucose and blood glucose in the oral glucose tolerance test. Additionally, XKQ can significantly decrease the serum alanine aminotransferase level and liver index and can alleviate the fat degeneration in liver tissues. Moreover, XKQ can ameliorate insulin resistance and upregulate the expression of IRS-1, PI3K (p85), p-Akt, and GLUT4 in the skeletal muscle of KKAy mice. XKQ is an effective drug for T2DM by ameliorating insulin resistance and regulating the PI3K/Akt signaling pathway in the skeletal muscle.

  • RESEARCH ARTICLE
    Jun Song, Yeping Huang, Wenjian Zheng, Jing Yan, Min Cheng, Ruxing Zhao, Li Chen, Cheng Hu, Weiping Jia

    Oxidative stress induced by free fatty acid aggravates endothelial injury, which leads to diabetic cardiovascular complications. Reduction of intracellular oxidative stress may attenuate these pathogenic processes. The dietary polyphenol resveratrol reportedly exerts potential protective effects against endothelial injury. This study determined whether resveratrol can reduce the palmitic acid (PA)-induced generation of reactive oxygen species (ROS) and further explored the underlying molecular mechanisms. We found that resveratrol significantly reduced the PA-induced endothelial ROS levels in human aortic endothelial cells. Resveratrol also induced endothelial cell autophagy, which mediated the effect of resveratrol on ROS reduction. Resveratrol stimulated autophagy via the AMP-activated protein kinase (AMPK)-mTOR pathway. Taken together, these data suggest that resveratrol prevents PA-induced intracellular ROS by autophagy regulation via the AMPK-mTOR pathway. Thus, the induction of autophagy by resveratrol may provide a novel therapeutic candidate for cardioprotection in metabolic syndrome.

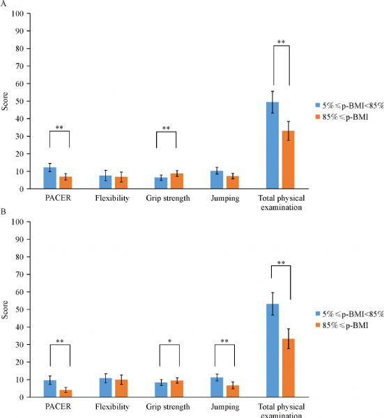
  • RESEARCH ARTICLE
    So Jung Yang, Hun-Sung Kim, Kun-Ho Yoon

    Understanding obesity in children is crucial because it can lead to adulthood obesity and result in fatal chronic diseases. Distinctive factors associated with obesity in adults have been described, but distinctive factors related to children remain unclear. We analyzed the correlation between the percentage of body mass index and lifestyle habits by conducting surveys on physical, nutritional, and psychological factors, and we used annual physical examination data to compare different traits among elementary school students (n = 197) and middle school students (n = 461). Our study revealed that the computing hours in elementary school students with overweight and obesity were significantly correlated with the percentage of body mass index (r = 0.29 on school days and r = 0.35 on days off, all P<0.05). No statistically significant difference was found (all P>0.05) in the computing hours of middle school students with overweight and obesity. Childhood obesity can cause depression and reduce children’s quality of life because of their distorted body perception. In conclusion, physical factors directly affecting childhood obesity and psychological and environmental factors surrounding a child should be considered.

  • RESEARCH ARTICLE
    Fusheng Zhou, Changbing Shen, Yi-Hsiang Hsu, Jing Gao, Jinfa Dou, Randy Ko, Xiaodong Zheng, Liangdan Sun, Yong Cui, Xuejun Zhang

    Psoriasis (Ps) is an inflammatory skin disease caused by genetic and environmental factors. Previous studies on DNA methylation (DNAm) found genetic markers that are closely associated with Ps, and evidence has shown that DNAm mediates genetic risk in Ps. In this study, Consensus Clustering was used to analyze DNAm data, and 114 Ps patients were divided into three subclassifications. Investigation of the clinical characteristics and copy number variations (CNVs) of DEFB4, IL22, and LCE3C in the three subclassifications revealed no significant differences in gender ratio and in Ps area and severity index (PASI) score. The proportion of late-onset (≥40 years) Ps patients was significantly higher in type I than in types II and III (P = 0.035). Type III contained the smallest proportion of smokers and the largest proportion of non-smoking Ps patients (P = 0.086). The CNVs of DEFB4 and LCE3C showed no significant differences but the CNV of IL22 significantly differed among the three subclassifications (P = 0.044). This study is the first to profile Ps subclassifications based on DNAm data in the Chinese Han population. These results are useful in the treatment and management of Ps from the molecular and genetic perspectives.

  • RESEARCH ARTICLE
    Qun Luo, Wanglong Deng, Haiwei Wang, Huiyong Fan, Ji Zhang

    Bromodomain-containing 4 (BRD4) has been considered as an important requirement for disease maintenance and an attractive therapeutic target for cancer therapy. This protein can be targeted by JQ1, a selective small-molecule inhibitor. However, few studies have investigated whether BRD4 influenced acute promyelocytic leukemia (APL), and whether BRD4 had interaction with promyelocytic leukemia-retinoic acid receptor α (PML/RARα) fusion protein to some extent. Results from cell viability assay, cell cycle analysis, and Annexin-V/PI analysis indicated that JQ1 inhibited the growth of NB4 cells, an APL-derived cell line, and induced NB4 cell cycle arrest at G1 and apoptosis. Then, we used co-immunoprecipitation (co-IP) assay and immunoblot to demonstrate the endogenous interaction of BRD4 and PML/RARα in NB4 cells. Moreover, downregulation of PML/RARα at the mRNA and protein levels was observed upon JQ1 treatment. Furthermore, results from the RT-qPCR, ChIP-qPCR, and re-ChIP-qPCR assays showed that BRD4 and PML/RARα co-existed on the same regulatory regions of their target genes. Hence, we showed a new discovery of the interaction of BRD4 and PML/RARα, as well as the decline of PML/RARα expression, under JQ1 treatment.