2012-12-05 2012, Volume 6 Issue 4
  • Select all
  • REVIEW
    Shengping Hou, Aize Kijlstra, Peizeng Yang

    Behçet’s disease is defined as a multisystemic inflammatory disease. Although the precise pathogenesis and etiology is still a mystery, accumulating evidence shows that genetic variants of immune-related genes have a profound influence on the development of Behçet’s disease. To explore the genetic factors for Behçet’s disease, our group investigated the association of Behçet’s disease with multiple immune response genes and has identified multiple Behçet’s disease-related immunoregulatory pathways in the Chinese Han population. A large number of gene polymorphisms were studied including STAT4, IL23R, CD40, CCR1/CCR3, STAT3, OPN, IL17, JAK2, MCP-1, CTLA4, PD-1, PD-L1, PD-L2, TGRBR3, CCR6, PTPN22, FCRL3, IRF5, SUMO4 and UBAC2. Significant associations were found between Behçet’s disease and STAT4, IL23R, CD40, CCR1/CCR3, STAT3, MCP-1, TGFBR3, FCRL3, SUMO4, UBAC2. These genetic predisposition studies support an important role for both lymphocyte differentiation as well as ubiquitination pathways. These findings are helpful in elucidating the pathogenesis of Behçet’s disease and hopefully will allow the development of novel treatment regimes.

  • REVIEW
    Fangqin Ma, Qi Wang, Lihua Wang

    The greatest concern in children with cataracts is irreversible visual loss. The timing of congenital cataract surgery is critical for the visual rehabilitation. Cataract surgery in children remains complex and challenging. The incidence of complications during or after operation is higher in children than adults. Some complications could be avoided by meticulous attention to surgical technique and postoperative care, and others were caused by more exuberant inflammatory response associated with surgery on an immature eye or the intrinsic eyes abnormalities. Utilizing of advanced techniques and timely applying topical corticosteroids and cycloplegic agents can reduce the occurrence of visual axis opacification. Operation on children with strabismus or nystagmus, and applying occlusion therapy on amblyopic eyes can balance the visual inputs to the two eyes. Diagnosis of glaucoma following congenital cataract surgery requires lifelong surveillance and continuous assessment of the problem. So cataract surgeries in children are not the end of journey, but one step on the long road to visual rehabilitation. This paper describes recent evidence from the literature regarding the advance of management after congenital cataract surgery.

  • REVIEW
    Wei Li, Shan Lu, Zhigang Cui, Jinghua Cui, Haijian Zhou, Yiqing Wang, Zhujun Shao, Changyun Ye, Biao Kan, Jianguo Xu

    Surveillance is critical for the prevention and control of infectious disease. China’s real-time web-based infectious disease reporting system is a distinguished achievement. However, many aspects of the current China Infectious Disease Surveillance System do not yet meet the demand for timely outbreak detection and identification of emerging infectious disease. PulseNet, the national molecular typing network for foodborne disease surveillance was first established by the Centers for Disease Control and Prevention of the United States in 1995 and has proven valuable in the early detection of outbreaks and tracing the pathogen source. Since 2001, the China CDC laboratory for bacterial pathogen analysis has been a member of the PulseNet International family; and has been adapting the idea and methodology of PulseNet to develop a model for a future national laboratory-based surveillance system for all bacterial infectious disease. We summarized the development progress for the PulseNet China system and discussed it as a model for the future of China’s national laboratory-based surveillance system.

  • REVIEW
    Fung Zhao, Eric W.-F. Lam

    The forkhead transcription factors FOXO and FOXM1 have pivotal roles in tumorigenesis and in mediating chemotherapy sensitivity and resistance. Recent research shows that the forkhead transcription factor FOXM1 is a direct transcriptional target repressed by the forkhead protein FOXO3a, a vital downstream effector of the PI3K-AKT-FOXO signaling pathway. Intriguingly, FOXM1 and FOXO3a also compete for binding to the same gene targets, which have a role in chemotherapeutic drug action and sensitivity. An understanding of the role and regulation of the FOXO-FOXM1 axis will impact directly on our knowledge of chemotherapeutic drug action and resistance in patients, and provide new insights into the design of novel therapeutic strategy and reliable biomarkers for prediction of drug sensitivity.

  • REVIEW
    Cheng Zhou, Jin Liu

    Application of volatile anesthetics greatly alters modern medicine. There are obvious advantages of volatile anesthetics such as strong anesthetic potency, rapid onset and elimination through respiration system. Isoflurane is one of the most widely used volatile anesthetics in clinic. Emulsified isoflurane, the emulsion of isoflurane, is a novel intravenous general anesthetic. With the development of emulsified isoflurane in the past fifteen years, its utility has spread from intravenous general anesthesia to various fields including regional anesthesia, organ protection, as well as anesthetic pharmacological study. In this review, we will summarize literatures of emulsified isoflurane about its history, clinical application and future potential utility in the above mentioned fields.

  • RESEARCH ARTICLE
    Riffat Meraj, Kathryn A. Wikenheiser-Brokamp, Lisa R. Young, Sue Byrnes, Francis X. McCormack

    Pulmonary lymphangioleiomyomatosis (LAM) is a rare cystic lung disease that targets women during their reproductive years. A confident diagnosis can often be based on clinical grounds, but diagnostic certainty requires pathological analysis. Although surgical lung biopsy is considered the gold standard for obtaining tissue in patients with diffuse lung disease, it is also associated with higher morbidity and mortality than alternative, less invasive techniques. The objective of our study was to examine the utility of transbronchial biopsy in the diagnosis of LAM. We conducted two online surveys of over 1 000 LAM patients registered with the LAM Foundation who were accessible by email. Transbronchial biopsy specimens were subsequently collected and reviewed by an expert pathologist to validate the diagnosis. We found that transbronchial biopsy has a yield of approximately 60% in patients with LAM. We conclude that transbronchial biopsy may be a safe and effective method for establishing the diagnosis of LAM, obviating the need for surgical lung biopsy in more than half of LAM patients.

  • RESEARCH ARTICLE
    Guo Chen, Zhaoqiong Zhu*, Jin Liu, Wei Wei

    The esophagus is perfused directly by prominent arteries and may provide a more consistent tissue source for pulse oximetry. The goal of this study was to evaluate the sensitivity and accuracy of an esophageal pulse oximetry probe on patients during controlled hypoxemia in comparison to measurements obtained with conventional pulse oximetry (SpulseO2). Forty-five ASA I–II adult patients were included in this prospective observational study. Nellcor digital oximetric probes were placed on finger tips for SpulseO2 before anesthesia. After tracheal intubation, an esophageal probe was placed in the lower segment of the esophagus for esophageal oximetric monitoring (SoesO2). All patients were disconnected from the breathing circuit to establish a controlled hypoxemia, and were re-connected to the breathing circuit and ventilated with 100% oxygen immediately when SoesO2 dropped to 90%. Matched SoesO2 and SpulseO2 readings were recorded when SoesO2 measurements were at 100%, 95%, 90% and the lowest reading. The time for SoesO2 and SpulseO2 to drop from 100% to 95%, 90% and return to 100% was recorded. Oxygen saturation from arterial blood samples (SartO2) was also measured at each time point respectively. The linear correlation coefficient of the regression analysis between SartO2 and SoesO2 was 0.954. The mean±2SD of the difference was 0.3%±4.3% for SoesO2vs. SartO2 and 6.8%±5.6% for SpulseO2vs. SartO2 (P<0.001). The 95% confidence interval for the absolute difference between SoesO2 and SartO2 was 0.3% to 0.7% and 6.2% to 7.4% between SpulseO2 and SartO2. The time to reach 90% saturation measured with SoesO2 was approximately 94 seconds earlier than the SpulseO2 (P<0.001). In conclusion, SoesO2 is more accurate and enables earlier detection of hypoxemia when compared to conventional pulse oximetry during hypoxemia for patients undergoing general anesthesia.

  • RESEARCH ARTICLE
    Chun Yang, Xiaomin Li, Nan Wang, Shixia Xu, Jianjun Yang, Zhiqiang Zhou

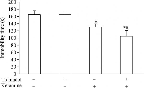
    Ketamine exerts rapid and robust antidepressant properties in both animal models and depressed patients and tramadol possesses potential antidepressant effects. Brain-derived neurotrophic factor (BDNF) is an important biomarker for mood disorders and tropomyosin-related kinase B (TrkB) is a high affinity catalytic receptor for BDNF. We hypothesized that tramadol pretreatment might reinforce ketamine-elicited antidepressant effects with significant changes in hippocampal BDNF and TrkB levels in rats. Immobility time of rats receiving different treatment in the forced swimming test (FST) was observed. Levels of BDNF and TrkB in hippocampus were measured by enzyme linked immunosorbent assay. Results showed that tramadol (5 mg/kg) administrated alone neither elicited antidepressant effects nor altered BDNF or TrkB level. However, pretreatment with tramadol (5 mg/kg) enhanced the ketamine (10 mg/kg) -elicited antidepressant effects and upregulated the BDNF and TrkB levels in hippocampus. In conclusion, tramadol pretreatment reinforces the ketamine-elicited antidepressant effects, which is associated with the increased levels of BDNF and TrkB in rat hippocampus.

  • RESEARCH ARTICLE
    Meilin Ma, Xiang Wang, Jingyan Tang, Huiliang Xue, Jing Chen, Ci Pan, Hua Jiang, Shuhong Shen

    Acute lymphoblastic leukemia includes T-cell acute lymphoblastic leukemia (T-ALL) and B-cell acute lymphoblastic leukemia (B-ALL). In children, T-ALL usually has a worse prognosis than B-ALL, although childhood T-ALL prognoses have improved remarkably. The varying outcomes among T-ALL cases suggest that an unrecognized biological heterogeneity may contribute to chemo-resistance. Deep exploration of T-lymphocyte development in recent years has found a subgroup of patients with a phenotype that resembles early T-cell precursor, which confers a much poorer prognosis than any other form of T-ALL. This novel subtype of T-ALL was called early T-cell precursor acute lymphoblastic leukemia (ETP-ALL). Flow cytometry data from T-ALL patients enrolled in Shanghai Children’s Medical Center between July 2002 and October 2010 were assessed according to Dr. Campana’s protocol. Among total 89 T-ALL cases, 74 cases had enough immunophenotype data available to differentiate between ETP (CD1a-, CD8-, CD5dim, at least one marker of stem cell or myeloid lineage) and non-ETP. From these 74 subjects, 12 ETP-ALL cases (16.2%) were identified. The event-free survival (EFS) rate at 66.8 months was 11.1%±10.1% for ETP-ALL and 57.6%±5.6% for non-ETP-ALL (P=0.003). The overall survival rates were 13.3%±11.0% for ETP-ALL and 64.7%±6.3% for non-ETP-ALL (P=0.002). Our findings demonstrate that early T-cell precursor leukemia is a very high-risk subtype of acute lymphoblastic leukemia with poor prognosis.

  • RESEARCH ARTICLE
    Cong Tong, Xinsen Xu, Chang Liu, Tianzheng Zhang, Kai Qu

    In order to assess the value of liver volumetry in cirrhosis and acute liver failure (ALF) patients, we explored the correlation between hepatic volume and severity of the hepatic diseases. The clinical data of 48 cirrhosis patients with 60 normal controls and 39 ALF patients were collected. Computed tomography-derived liver volume (CTLV) and body surface area (BSA) of normal controls were calculated to get a regression formula for standard liver volume (SLV) and BSA. Then CTLV and SLV of all patients were calculated and grouped by Child-Turcotte-Pugh classification for cirrhosis patients and assigned according to prognosis of ALF patients for further comparison. It turned out that the mean liver volume of the control group was 1 058±337 cm3. SLV was correlated with BSA according to the regression formula. The hepatic volume of cirrhosis patients in Child A, B level was not reduced, but in Child C level it was significantly reduced with the lowest liver volume index (CTLV/SLV). Likewise, in the death group of ALF patients, the volume index was significantly lower than that of the survival group. Based on volumetric study, we proposed an ROC (receiver operating characteristic) analysis to predict the prognosis of ALF patients that CTLV/SLV<83.9% indicates a poor prognosis. In conclusion, the CTLV/SLV ratio, which reflects liver volume variations, correlates well with the liver function and progression of cirrhosis and ALF. It is also a very useful marker for predicting the prognosis of ALF.

  • RESEARCH ARTICLE
    Clemens Drenowatz, Joseph J. Carlson, Karin A. Pfeiffer, Joey C. Eisenmann

    The increasing prevalence of childhood overweight and obesity has been associated with an increased risk for cardiovascular disease (CVD). While several studies examined the effect of single behaviors such as physical activity (PA), sedentary behavior or diet on CVD risk, there is a lack of research on combined associations, specifically in children. Therefore, the purpose of this study was to examine the joint association of PA or screen time (ST) and diet on CVD risk factors in children. PA, ST and diet were assessed via questionnaire in 210 fifth grade students (age: 10.6±0.4 years). The healthy eating index (HEI) was subsequently calculated as indicator for diet quality. Height, weight, % body fat, and resting blood pressure were measured according to standard procedures and blood samples obtained via fingerprick were assayed for blood lipids. Total cholesterol HDL ratio (TC:HDL), mean arterial pressure (MAP), and % body fat were used as indicators of CVD risk. 55% of children did not meet current PA recommendations on at least 5 days/week and 70% exceeded current recommendations for ST. Further, only 2.5% possessed a “good” diet (HEI>80). There was no significant association of PA or ST and diet on CVD risk score. Neither TC:HDL, MAP, and % body fat nor the total CVD risk score was significantly correlated with diet, PA, or ST. Children in the high PA group, however, had significantly better diet scores. Despite the fact that self-reported PA, ST, or dietary intake were not directly related to CVD risk in this sample, higher activity levels were associated with a healthier diet and lower ST indicating an overall healthier lifestyle of this subgroup.

  • CASE REPORT
    Xianghu Meng, Jihong Liu, Xiao Yu, Shaogang Wang, Cong Liu, Zhangqun Ye

    The authors present a case report of a giant Müllerian duct cyst in the perineum. A 37-year-old man presented with a mass with the size of 50 cm×40 cm×30 cm in the perineum. Computed tomography (CT) scan and magnetic resonance imaging (MRI) of the pelvis and perineum found a huge multilocular cystic mass. X-ray film of the pelvis showed a giant soft-tissue shadow of high density in the perineum. Voiding cystourethrogram did not show any cyst interlinked to posterior urethra. After related examinations, the patient underwent open surgical resection of the cyst. Pathologic examination confirmed the presence of a Müllerian duct cyst. Huge Müllerian duct cyst is uncommon in clinic. Treatments of Müllerian duct cysts depend on their sizes and symptoms.

  • COMMENTARY
    Yan Du, Jiaxin Xie, Wenjun Chang, Yifang Han, Guangwen Cao

    Genome-wide association studies (GWAS) have achieved great success in identifying genetic variants related to complex human diseases such as cancer and have provided valuable insights into their genetic architecture. Recently, GWAS is quite the fashion in China. However, there are issues related to its nature. Enormous work needs to be done in the post-GWAS era. Deep sequencing followed by functional studies will be needed to elucidate the underpinning biological mechanisms and further translate GWAS findings into medical practice. Along with pharmacogenomics, the success of GWAS in identifying genetic risk factors and genetic differences in drug response has been gradually enabling personalized medicine. In this article, we used hepatocellular carcinoma (HCC) as an example to demonstrate some of the inherent limitations and summarized future challenges of GWAS.