2025-04-15 2025, Volume 19 Issue 2
  • Cover illustration

    Ding WANG, Jiahua WU, Shizhen LIU, et al. Performance evaluation and optimization of a novel compressed CO2 energy storage system based on gas-liquid phase change and cold-electricity cogeneration. This article is a research paper that focuses on the performance analysis and optimization of the compressed CO2 energy storage system based on gas-liquid phase change and cold-electricity cogeneration. The cover features the energy transmission between different units [Detail] ...

    Download cover

  • Select all
  • EDITORIAL
    Yao Zhao, Mingjia Li, Kai Wang, Adriano Sciacovelli, Chris Qin, Steven Lecompte, André D. Thess
  • REVIEW ARTICLE
    Jiaxing Huang, Yao Zhao, Jian Song, Shengqi Huang, Kai Wang, Zhenghua Rao, Yongliang Zhao, Liang Wang, Xi Wan, Yue Fei, Christos N. Markides

    Thermo-mechanical energy storage (TMES) technologies have attracted significant attention due to their potential for grid-scale, long-duration electricity storage, offering advantages such as minimal geographical constraints, low environmental impact, and long operational lifespans. A key benefit of TMES systems is their ability to perform energy conversion steps that enable interaction with both thermal energy consumers and prosumers, effectively functioning as combined cooling, heating and power (CCHP) systems. This paper reviews recent progress in various TMES technologies, focusing on compressed-air energy storage (CAES), liquid-air energy storage (LAES), pumped-thermal electricity storage (PTES, also known as Carnot battery), and carbon dioxide energy storage (CES), while exploring their potential applications as extended CCHP systems for trigeneration. Techno-economic analysis indicate that TMES-based CCHP systems can achieve roundtrip (power-to-power) efficiencies ranging from 40% to 130%, overall (trigeneration) energy efficiencies from 70% to 190%, and a levelized cost of energy (with cooling and heating outputs converted into equivalent electricity) between 70 and 200 $/MWh. In general, the evolution of TMES-based CCHP systems into smart multi-energy management systems for cities or districts in the future is a highly promising avenue. However, current economic analyses remain incomplete, and further exploration is needed, especially in the area “AI for energy storage,” which is crucial for the widespread adoption of TMES-based CCHP systems.

  • RESEARCH ARTICLE
    Yanghai Li, Wanbing Xu, Ming Zhang, Chunlin Zhang, Tao Yang, Hongyu Ding, Lei Zhang

    In compressed air energy storage systems, throttle valves that are used to stabilize the air storage equipment pressure can cause significant exergy losses, which can be effectively improved by adopting inverter-driven technology. In this paper, a novel scheme for a compressed air energy storage system is proposed to realize pressure regulation by adopting an inverter-driven compressor. The system proposed and a reference system are evaluated through exergy analysis, dynamic characteristics analysis, and various other assessments. A comprehensive performance analysis is conducted based on key parameters such as thermal storage temperature, component isentropic efficiency, and designated discharge pressure. The results show that the novel system achieves a relative improvement of 3.64% in round-trip efficiency, demonstrating its capability to enhance efficiency without significantly increasing system complexity. Therefore, the system proposed offers a viable solution for optimizing compressed air energy storage systems.

  • RESEARCH ARTICLE
    Pengzhen Zhu, Baoming Chen, Liyan Sui, Hongchen Li, Kun Li, Yu Jian

    Phase change energy storage technology has great potential for enhancing the efficient conversion and storage of energy. While triply periodic minimal surface (TPMS) structures have shown promise in improving heat transfer, research on their application in phase change heat transfer remains limited. This paper presents numerical simulations of composite phase change materials (PCMs) featuring TPMS skeletons, specifically gyroid, diamond, primitive, and I-graph and wrapped package-graph (I-WP) utilizing the lattice Boltzmann method (LBM). A comparative analysis of the effects of four TPMS skeletons on enhancing the phase change process reveals that the PCM containing the gyroid skeleton melts the fastest, with a complete melting time of 24.1% shorter than that of the PCM containing the I-WP skeleton. The PCM containing the gyroid skeleton is further simulated to explore the effects of the Rayleigh (Ra) number, Prandtl (Pr) number, and Stefan (Ste) number on the melting characteristics. Notably, the complete melting time is reduced by 60.44% when Ra is increased to 106 compared to the case with Ra at 104. Increasing the Pr number accelerates the migration of the mushy zone, resulting in fast melting. Conversely, the convective heat transfer effect from the heating surface decreases as the Ste number increases. The temperature differences caused by the local thermal non-equilibrium (LTNE) effect over time are significant and complex, with peaks becoming more pronounced nearer the heating surface. This study intends to provide theoretical support for the further development of TPMS skeletons in enhancing the phase change process.

  • RESEARCH ARTICLE
    Ruifeng Cao, Weiqiang Li, Hexi Ni, Cuixiong Kuang, Yutong Liang, Ziheng Fu

    Compressed air energy storage (CAES) is an effective technology for mitigating the fluctuations associated with renewable energy sources. In this work, a hybrid cogeneration energy system that integrates CAES with high-temperature thermal energy storage and a supercritical CO2 Brayton cycle is proposed for enhancing the overall system performance. This proposal emphasizes system cost-effectiveness, eco-friendliness, and adaptability. Comprehensive analyses, including thermodynamic, exergoeconomic, economic, and sensitivity evaluations, are conducted to assess the viability of the system. The findings indicate that, under design conditions, the system achieves an energy storage density, a round-trip efficiency, an exergy efficiency, a unit product cost, and a dynamic payback period of 5.49 kWh/m3, 58.39%, 61.85%, 0.1421 $/kWh, and 4.81 years, respectively. The high-temperature thermal energy storage unit, intercoolers, and aftercooler show potential for optimization due to their suboptimal exergoeconomic performance. Sensitivity evaluation indicates that the operational effectiveness of the system is highly sensitive to the maximum and minimum air storage pressures, the outlet temperature of the high-temperature thermal energy storage unit, and the isentropic efficiencies of both compressors and turbines. Ultimately, the system is optimized for maximum exergy efficiency and minimum dynamic payback period. These findings demonstrate the significant potential of this system and provide valuable insights for its design and optimization.

  • RESEARCH ARTICLE
    Pingyang Zheng, Jiahao Hao, Zhentao Zhang, Junling Yang, Xiaoqiong Li, Yunkai Yue

    As the installed capacity of renewable energy such as wind and solar power continues to increase, energy storage technology is becoming increasingly crucial. It could effectively balance power demand and supply, enhance allocation flexibility, and improve power quality. Among various energy storage technologies, liquid CO2 energy storage (LCES) stands out as one of the most promising options due to its advantages such as high round-trip efficiency (RTE), high energy storage density (ESD), safety, stability, and longevity. Within the system, the cold and heat storage units play a critical role in determining the overall performance of the system and are particularly important among its various components. In this paper, a novel LCES system is proposed and the heat transfer characteristics are analyzed in detail. Then, the impact of key parameters on the liquefaction ratio and RTE is discussed. The results indicate that the RTE, ESD, and exergy efficiency of the system are 56.12%, 29.46 kWh/m3, and 93.73% under specified design conditions, respectively. During the gas–liquid phase change process of carbon dioxide or when it is in a supercritical state, the related heat transfer processes become more complex, leading to increased energy loss. The analysis of key parameters of the Linde-Hampson liquefaction unit reveals that as the liquefaction temperature decreases, both the liquefaction ratio and RTE increase. While the liquefaction pressure has a minimal impact on the liquefaction ratio, it significantly affects RTE, with an optimal liquefaction pressure identified.

  • RESEARCH ARTICLE
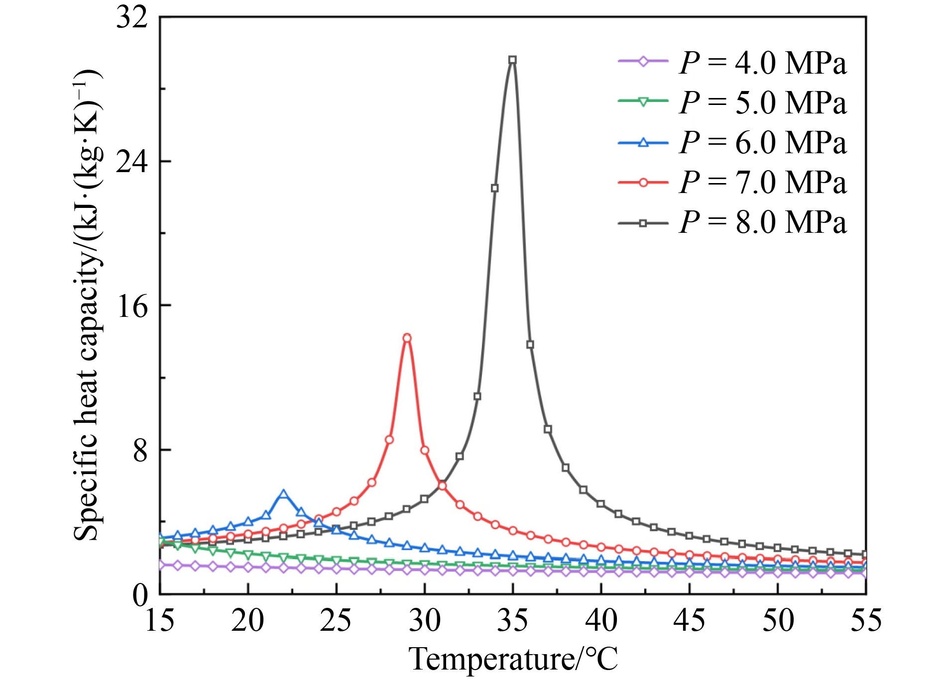
    Ding Wang, Jiahua Wu, Shizhen Liu, Dongbo Shi, Yonghui Xie

    Compressed CO2 energy storage (CCES) system has received widespread attention due to its superior performance. This paper proposes a novel CCES concept based on gas–liquid phase change and cold-electricity cogeneration. Thermodynamic and exergoeconomic analyses are performed under simulation conditions, followed by an investigation of the impacts of various decision parameters on the proposed system. Next, a multi-objective optimization is conducted with the total energy efficiency and total product unit cost as the objective functions. Finally, brief comparisons are made between the proposed system and existing systems. The results indicate that the total energy efficiency of the proposed system reaches 79.21% under the given simulation conditions, outperforming the electrical efficiency of 61.27%. Additionally, the total product unit cost of the system is 25.61 $/GJ. A key component, T1, plays an important role due to its large exergy destruction rate (1.0591 MW) and total investment cost rate (154.85 $/h). Despite this, the exergoeconomic factors of T1 is only 41.08%, indicating that investing in T1 to improve the efficiency is practicable. The analysis shows that a lower CO2 condensation temperature benefits the proposed system performance. While improving the isentropic efficiencies of the compressors and turbines enhances total energy efficiency, excessive isentropic efficiencies can lead to a significant increase in total product unit cost. Through multi-objective optimization, an optimal favorable operating condition is identified, yielding a compromise result with a total energy efficiency of 111.91% and a total product unit cost of 28.35 $/GJ. The proposed CCES system efficiently delivers both power and cooling energy, demonstrating clear superiorities over previous systems.

  • RESEARCH ARTICLE
    Zihao Zhao, Xurui Feng, Daili Feng, Chengming Li, Yanhui Feng, Junjun Wei

    The use of porous skeletons for encapsulating phase change materials (PCMs) is an effective approach to addressing issues such as leakage, low thermal conductivity, and poor photothermal conversion efficiency. Inspired by the hollow skeletal structure found in birds in nature, high-quality 3D interconnected hollow diamond foam (HDF) was fabricated using a series of processes, including microwave plasma chemical vapor deposition (CVD), laser perforation, and acid immersion. This HDF was then used as a scaffold to encapsulate PEG2000. The results demonstrate that HDF significantly reduces the supercooling degree and latent heat discrepancy of PEG2000. Compared to pure PEG2000, the thermal conductivity of the HDF/PEG increased by 378%, while its latent heat reached 111.48 J/g, accompanied by a photothermal conversion efficiency of up to 86.68%. The significant performance improvement is mainly attributed to the combination of the excellent properties of the diamond with the inherent advantages of the 3D interconnected structure in HDF, which creates a high-conductivity transport network inside. Moreover, the HDF/PEG composite extends the temperature cycling time of electronic components by 4 times for heating and 2.3 times for cooling, thereby prolonging the operational lifetime of electronic devices. HDF/PEG offers an integrated solution for solar energy collection, photothermal conversion, heat dissipation in electronic components, and thermal energy transfer/storage. This innovative approach provides innovative ideas for the design and fabrication of composite PCMs and has great application potential, such as solar energy utilization, thermal management, and thermal energy storage.

  • RESEARCH ARTICLE
    Jiahao Hao, Pingyang Zheng, Yanchang Song, Zhentao Zhang, Junling Yang, Yunkai Yue

    Carbon dioxide energy storage (CES) is an emerging compressed gas energy storage technology which offers high energy storage efficiency, flexibility in location, and low overall costs. This study focuses on a CES system that incorporates a high-temperature graded heat storage structure, utilizing multiple heat exchange working fluids. Unlike traditional CES systems that utilize a single thermal storage at low to medium temperatures, this system significantly optimizes the heat transfer performance of the system, thereby improving its cycle efficiency. Under typical design conditions, the round-trip efficiency of the system is found to be 76.4%, with an output power of 334 kW/(kg·s‒1) per unit mass flow rate, through mathematical modeling. Performance analysis shows that increasing the total pressure ratio, reducing the heat transfer temperature difference, improving the heat exchanger efficiency, and lowering the ambient temperature can enhance cycle efficiency. Additionally, this paper proposes a universal and theoretical CES thermodynamic intrinsic cycle construction method and performance prediction evaluation method for CES systems, providing a more standardized and accurate approach for optimizing CES system design.