2014-06-25 2014, Volume 2 Issue 1
  • Cover illustration

    Transcriptional regulation plays an important role in regulating many biological processes. Based on genomic information, genome-wide transcriptional regulatory network can be reconstructed by a combined experimental and computational strategy. Biochemical approaches can be used to identify physical occupancies of transcription factors (TFs) on the promoters of genes. Genetic perturbations can provide information on the function of TFs. Transcriptome analysis identifies co-expressed (possibly co-regulated) genes under different conditions. TF-binding sites, which [Detail] ...


  • Select all
  • REVIEW
    Arwen Meister , Chao Du , Ye Henry Li , Wing Hung Wong

    The Master equation is considered the gold standard for modeling the stochastic mechanisms of gene regulation in molecular detail, but it is too complex to solve exactly in most cases, so approximation and simulation methods are essential. However, there is still a lack of consensus about the best way to carry these out. To help clarify the situation, we review Master equation models of gene regulation, theoretical approximations based on an expansion method due to N.G. van Kampen and R. Kubo, and simulation algorithms due to D.T. Gillespie and P. Langevin. Expansion of the Master equation shows that for systems with a single stable steady-state, the stochastic model reduces to a deterministic model in a first-order approximation. Additional theory, also due to van Kampen, describes the asymptotic behavior of multistable systems. To support and illustrate the theory and provide further insight into the complex behavior of multistable systems, we perform a detailed simulation study comparing the various approximation and simulation methods applied to synthetic gene regulatory systems with various qualitative characteristics. The simulation studies show that for large stochastic systems with a single steady-state, deterministic models are quite accurate, since the probability distribution of the solution has a single peak tracking the deterministic trajectory whose variance is inversely proportional to the system size. In multistable stochastic systems, large fluctuations can cause individual trajectories to escape from the domain of attraction of one steady-state and be attracted to another, so the system eventually reaches a multimodal probability distribution in which all stable steady-states are represented proportional to their relative stability. However, since the escape time scales exponentially with system size, this process can take a very long time in large systems.

  • REVIEW
    Guodong Liu , Antonio Marras , Jens Nielsen

    Metabolism is regulated at multiple levels in response to the changes of internal or external conditions. Transcriptional regulation plays an important role in regulating many metabolic reactions by altering the concentrations of metabolic enzymes. Thus, integration of the transcriptional regulatory information is necessary to improve the accuracy and predictive ability of metabolic models. Here we review the strategies for the reconstruction of a transcriptional regulatory network (TRN) for yeast and the integration of such a reconstruction into a flux balance analysis-based metabolic model. While many large-scale TRN reconstructions have been reported for yeast, these reconstructions still need to be improved regarding the functionality and dynamic property of the regulatory interactions. In addition, mathematical modeling approaches need to be further developed to efficiently integrate transcriptional regulatory interactions to genome-scale metabolic models in a quantitative manner.

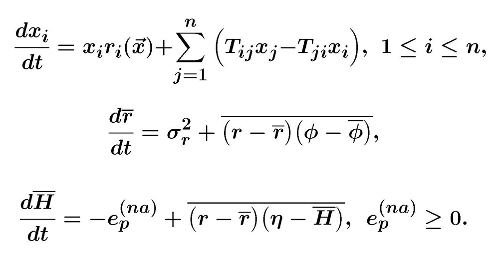
  • RESEARCH ARTICLE
    Hong Qian

    Motivated by recent understandings in the stochastic natures of gene expression, biochemical signaling, and spontaneous reversible epigenetic switchings, we study a simple deterministic cell population dynamics in which subpopulations grow with different rates and individual cells can bi-directionally switch between a small number of different epigenetic phenotypes. Two theories in the past, the population dynamics and thermodynamics of master equations, separately defined two important concepts in mathematical terms: the fitness in the former and the (non-adiabatic) entropy production in the latter. Both of them play important roles in the evolution of the cell population dynamics. The switching sustains the variations among the subpopulation growth, thus sustains continuous natural selection. As a form of Price’s equation, the fitness increases with (i) natural selection through variations and (ii) a positive covariance between the per capita growth and switching, which represents a Lamarchian-like behavior. A negative covariance balances the natural selection in a fitness steady state --- “the red queen” scenario. At the same time the growth keeps the proportions of subpopulations away from the “intrinsic” switching equilibrium of individual cells, thus leads to a continuous entropy production. A covariance, between the per capita growth rate and the “chemical potential” of subpopulation, counteracts the entropy production. Analytical results are obtained for the limiting cases of growth dominating switching and vice versa.

  • PERSPECTIVE
    Orna Resnekov , Brian Munsky , William S. Hlavacek