2024-07-01 2024, Volume 19 Issue 3
  • Select all
  • RESEARCH ARTICLE
    Yuehua BU , Qi JIA , Hongguo ZHU

    A proper edge k-coloring is a mapping ϕ:E(G){1,2,,k} such that any two adjacent edges receive different colors. A proper edge k-coloring ϕ of G is called acyclic if there are no bichromatic cycles in G. The acyclic chromatic index of G, denoted by χa(G), is the smallest integer k such that G is acyclically edge k-colorable. In this paper, we show that if G is a plane graph without 4-, 6-cycles and intersecting 3-cycles, Δ(G)9, then χa(G)Δ(G)+1.

  • RESEARCH ARTICLE
    Yongye ZHAO , Shujun BI

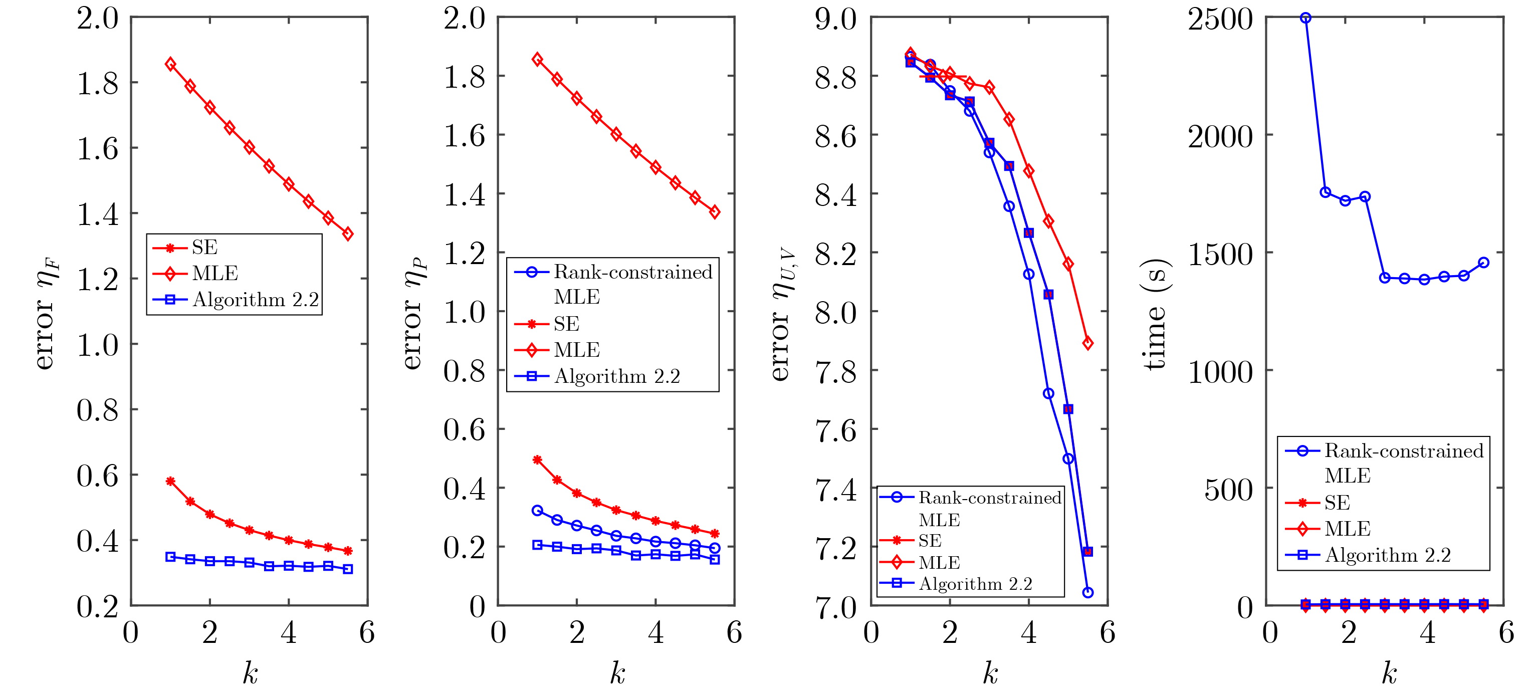
    This paper proposes a low-rank spectral estimation algorithm of learning Markov model. First, an approximate projection algorithm for the rank-constrained frequency matrix set is proposed, and thereafter its local Lipschitzian error bound established. Then, we propose a low-rank spectral estimation algorithm for estimating the state transition frequency matrix and the probability matrix of Markov model by applying the approximate projection algorithm to correct the maximum likelihood estimation of the frequency matrix, and prove that there is only a multiplying constant difference in estimation errors between the low-rank spectral estimation and the maximum likelihood estimation under appropriate conditions. Finally, numerical comparisons with the prevailing maximum likelihood estimation, spectral estimation, and rank-constrained maximum likelihood estimation show that the low-rank spectral estimation algorithm is effective.

  • SURVEY ARTICLE
    Qibin FAN , Yuling JIAO

    Image restoration is a complicated process in which the original information can be recovered from the degraded image model caused by lots of factors. Mathematically, image restoration problems are ill-posed inverse problems. In this paper image restoration models and algorithms based on variational regularization are surveyed. First, we review and analyze the typical models for denoising, deblurring and inpainting. Second, we construct a unified restoration model based on variational regularization and summarize the typical numerical methods for the model. At last, we point out eight diffcult problems which remain open in this field.